Номер 7.2, страница 39 - гдз по алгебре 10 класс сборник задач Арефьева, Пирютко

Алгебра, 10 класс Сборник задач, авторы: Арефьева Ирина Глебовна, Пирютко Ольга Николаевна, издательство Народная асвета, Минск, 2020, белого цвета

Авторы: Арефьева И. Г., Пирютко О. Н.

Тип: Сборник задач

Издательство: Народная асвета

Год издания: 2020 - 2025

Уровень обучения: базовый и повышенный

Цвет обложки: белый, голубой с графиком

Допущено Министерством образования Республики Беларусь

Популярные ГДЗ в 10 классе

Глава 3. Тригонометрия. Параграф 7. Определение синуса и косинуса произвольного угла - номер 7.2, страница 39.

№7.2 (с. 39)
Условие. №7.2 (с. 39)
скриншот условия
Алгебра, 10 класс Сборник задач, авторы: Арефьева Ирина Глебовна, Пирютко Ольга Николаевна, издательство Народная асвета, Минск, 2020, белого цвета, страница 39, номер 7.2, Условие

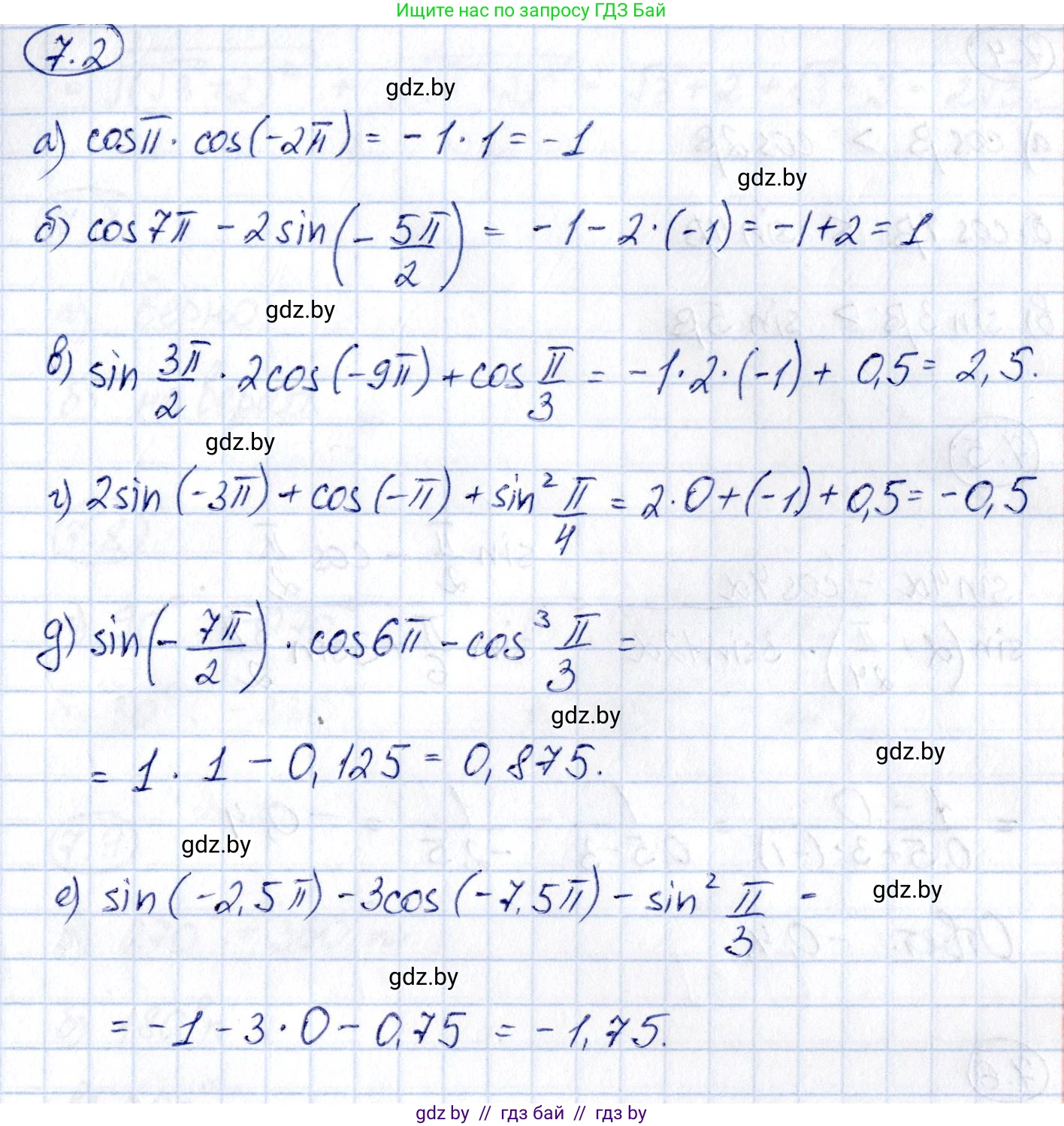
7.2. Найдите значение выражения:

а) $\cos\pi \cdot \cos(-2\pi);$

б) $\cos7\pi - 2 \sin\left(-\frac{5\pi}{2}\right);$

в) $\sin\frac{3\pi}{2} \cdot 2\cos(-9\pi) + \cos\frac{\pi}{3};$

г) $2\sin(-3\pi) + \cos(-\pi) + \sin^2\frac{\pi}{4};$

д) $\sin\left(-\frac{7\pi}{2}\right) \cdot \cos6\pi - \cos^3\frac{\pi}{3};$

е) $\sin(-2,5\pi) - 3\cos(-7,5\pi) - \sin^2\frac{\pi}{3}.$

Решение. №7.2 (с. 39)
Алгебра, 10 класс Сборник задач, авторы: Арефьева Ирина Глебовна, Пирютко Ольга Николаевна, издательство Народная асвета, Минск, 2020, белого цвета, страница 39, номер 7.2, Решение
Решение 2. №7.2 (с. 39)

а) $\cos\pi \cdot \cos(-2\pi)$

Для решения данного выражения воспользуемся свойствами тригонометрических функций и их значениями в основных точках.

  1. Найдем значение $\cos\pi$:
    $\cos\pi = -1$.
  2. Найдем значение $\cos(-2\pi)$. Косинус — четная функция, поэтому $\cos(-x) = \cos(x)$. Также учтем периодичность косинуса с периодом $2\pi$.
    $\cos(-2\pi) = \cos(2\pi) = \cos(0 + 2\pi) = \cos(0) = 1$.
  3. Перемножим полученные значения:
    $\cos\pi \cdot \cos(-2\pi) = -1 \cdot 1 = -1$.

Ответ: -1.

б) $\cos7\pi - 2\sin(-\frac{5\pi}{2})$

Упростим выражение, используя свойства четности/нечетности и периодичности тригонометрических функций.

  1. Найдем значение $\cos7\pi$. Используя свойство $\cos(n\pi) = (-1)^n$ для целых $n$, получаем:
    $\cos(7\pi) = (-1)^7 = -1$.
  2. Найдем значение $\sin(-\frac{5\pi}{2})$. Синус — нечетная функция, поэтому $\sin(-x) = -\sin(x)$.
    $\sin(-\frac{5\pi}{2}) = -\sin(\frac{5\pi}{2})$.
  3. Упростим аргумент, выделив целое число оборотов $2\pi$: $\frac{5\pi}{2} = \frac{4\pi+\pi}{2} = 2\pi + \frac{\pi}{2}$.
    $\sin(\frac{5\pi}{2}) = \sin(2\pi + \frac{\pi}{2}) = \sin(\frac{\pi}{2}) = 1$.
  4. Следовательно, $\sin(-\frac{5\pi}{2}) = -1$.
  5. Подставим значения в исходное выражение:
    $\cos7\pi - 2\sin(-\frac{5\pi}{2}) = -1 - 2 \cdot (-1) = -1 + 2 = 1$.

Ответ: 1.

в) $\sin\frac{3\pi}{2} \cdot 2\cos(-9\pi) + \cos\frac{\pi}{3}$

Вычислим значение каждого члена выражения.

  1. Найдем значение $\sin\frac{3\pi}{2}$:
    $\sin\frac{3\pi}{2} = -1$.
  2. Найдем значение $\cos(-9\pi)$. Косинус — четная функция: $\cos(-9\pi) = \cos(9\pi)$.
    $\cos(9\pi) = \cos(\pi + 8\pi) = \cos(\pi) = -1$.
  3. Найдем значение $\cos\frac{\pi}{3}$:
    $\cos\frac{\pi}{3} = \frac{1}{2}$.
  4. Подставим все значения в выражение:
    $\sin\frac{3\pi}{2} \cdot 2\cos(-9\pi) + \cos\frac{\pi}{3} = (-1) \cdot 2 \cdot (-1) + \frac{1}{2} = 2 + \frac{1}{2} = \frac{5}{2}$.
  5. Представим неправильную дробь в виде смешанного числа: $\frac{5}{2} = 2\frac{1}{2}$.

Ответ: 2$\frac{1}{2}$.

г) $2\sin(-3\pi) + \cos(-\pi) + \sin^2\frac{\pi}{4}$

Найдем значения всех тригонометрических функций в выражении.

  1. Найдем значение $\sin(-3\pi)$. Синус — нечетная функция, и $\sin(n\pi) = 0$ для любого целого $n$.
    $\sin(-3\pi) = -\sin(3\pi) = 0$.
  2. Найдем значение $\cos(-\pi)$. Косинус — четная функция.
    $\cos(-\pi) = \cos(\pi) = -1$.
  3. Найдем значение $\sin^2\frac{\pi}{4}$:
    $\sin\frac{\pi}{4} = \frac{\sqrt{2}}{2}$, следовательно $\sin^2\frac{\pi}{4} = (\frac{\sqrt{2}}{2})^2 = \frac{2}{4} = \frac{1}{2}$.
  4. Подставим значения в выражение:
    $2\sin(-3\pi) + \cos(-\pi) + \sin^2\frac{\pi}{4} = 2 \cdot 0 + (-1) + \frac{1}{2} = -1 + \frac{1}{2} = -\frac{1}{2}$.

Ответ: $-\frac{1}{2}$.

д) $\sin(-\frac{7\pi}{2}) \cdot \cos6\pi - \cos^3\frac{\pi}{3}$

Вычислим значение выражения по частям.

  1. Найдем значение $\sin(-\frac{7\pi}{2})$. Синус — нечетная функция.
    $\sin(-\frac{7\pi}{2}) = -\sin(\frac{7\pi}{2})$.
    Так как $\frac{7\pi}{2} = \frac{8\pi - \pi}{2} = 4\pi - \frac{\pi}{2}$, то $\sin(\frac{7\pi}{2}) = \sin(4\pi - \frac{\pi}{2}) = \sin(-\frac{\pi}{2}) = -1$.
    Следовательно, $\sin(-\frac{7\pi}{2}) = -(-1) = 1$.
  2. Найдем значение $\cos6\pi$:
    $\cos(6\pi) = \cos(0 + 3 \cdot 2\pi) = \cos(0) = 1$.
  3. Найдем значение $\cos^3\frac{\pi}{3}$:
    $\cos\frac{\pi}{3} = \frac{1}{2}$, тогда $\cos^3\frac{\pi}{3} = (\frac{1}{2})^3 = \frac{1}{8}$.
  4. Подставим значения в выражение:
    $\sin(-\frac{7\pi}{2}) \cdot \cos6\pi - \cos^3\frac{\pi}{3} = 1 \cdot 1 - \frac{1}{8} = 1 - \frac{1}{8} = \frac{7}{8}$.

Ответ: $\frac{7}{8}$.

е) $\sin(-2,5\pi) - 3\cos(-7,5\pi) - \sin^2\frac{\pi}{3}$

Преобразуем десятичные дроби в обыкновенные и вычислим значение выражения.

  1. $-2,5\pi = -\frac{5\pi}{2}$. Найдем значение $\sin(-\frac{5\pi}{2})$.
    $\sin(-\frac{5\pi}{2}) = -\sin(\frac{5\pi}{2}) = -\sin(2\pi + \frac{\pi}{2}) = -\sin(\frac{\pi}{2}) = -1$.
  2. $-7,5\pi = -\frac{15\pi}{2}$. Найдем значение $\cos(-\frac{15\pi}{2})$.
    $\cos(-\frac{15\pi}{2}) = \cos(\frac{15\pi}{2}) = \cos(\frac{16\pi - \pi}{2}) = \cos(8\pi - \frac{\pi}{2}) = \cos(-\frac{\pi}{2}) = \cos(\frac{\pi}{2}) = 0$.
  3. Найдем значение $\sin^2\frac{\pi}{3}$:
    $\sin\frac{\pi}{3} = \frac{\sqrt{3}}{2}$, тогда $\sin^2\frac{\pi}{3} = (\frac{\sqrt{3}}{2})^2 = \frac{3}{4}$.
  4. Подставим все значения в выражение:
    $\sin(-2,5\pi) - 3\cos(-7,5\pi) - \sin^2\frac{\pi}{3} = -1 - 3 \cdot 0 - \frac{3}{4} = -1 - \frac{3}{4} = -\frac{4}{4} - \frac{3}{4} = -\frac{7}{4}$.
  5. Представим неправильную дробь в виде смешанного числа: $-\frac{7}{4} = -1\frac{3}{4}$.

Ответ: -1$\frac{3}{4}$.

Помогло решение? Оставьте отзыв в комментариях ниже.

Присоединяйтесь к Телеграм-группе @gdz_by_belarus

Присоединиться

Мы подготовили для вас ответ c подробным объяснением домашего задания по алгебре за 10 класс, для упражнения номер 7.2 расположенного на странице 39 к сборнику задач 2020 года издания для учащихся школ и гимназий.

Теперь на нашем сайте ГДЗ.ТОП вы всегда легко и бесплатно найдёте условие с правильным ответом на вопрос «Как решить ДЗ» и «Как сделать» задание по алгебре к упражнению №7.2 (с. 39), авторов: Арефьева (Ирина Глебовна), Пирютко (Ольга Николаевна), базовый и повышенный уровень обучения учебного пособия издательства Народная асвета.