Номер 9.15, страница 47 - гдз по алгебре 10 класс сборник задач Арефьева, Пирютко

Алгебра, 10 класс Сборник задач, авторы: Арефьева Ирина Глебовна, Пирютко Ольга Николаевна, издательство Народная асвета, Минск, 2020, белого цвета

Авторы: Арефьева И. Г., Пирютко О. Н.

Тип: Сборник задач

Издательство: Народная асвета

Год издания: 2020 - 2025

Уровень обучения: базовый и повышенный

Цвет обложки: белый, голубой с графиком

Допущено Министерством образования Республики Беларусь

Популярные ГДЗ в 10 классе

Глава 3. Тригонометрия. Параграф 9. Соотношения между синусом, косинусом, тангенсом и котангенсом одного и того же угла (тригонометрические тождества) - номер 9.15, страница 47.

№9.15 (с. 47)
Условие. №9.15 (с. 47)
скриншот условия
Алгебра, 10 класс Сборник задач, авторы: Арефьева Ирина Глебовна, Пирютко Ольга Николаевна, издательство Народная асвета, Минск, 2020, белого цвета, страница 47, номер 9.15, Условие

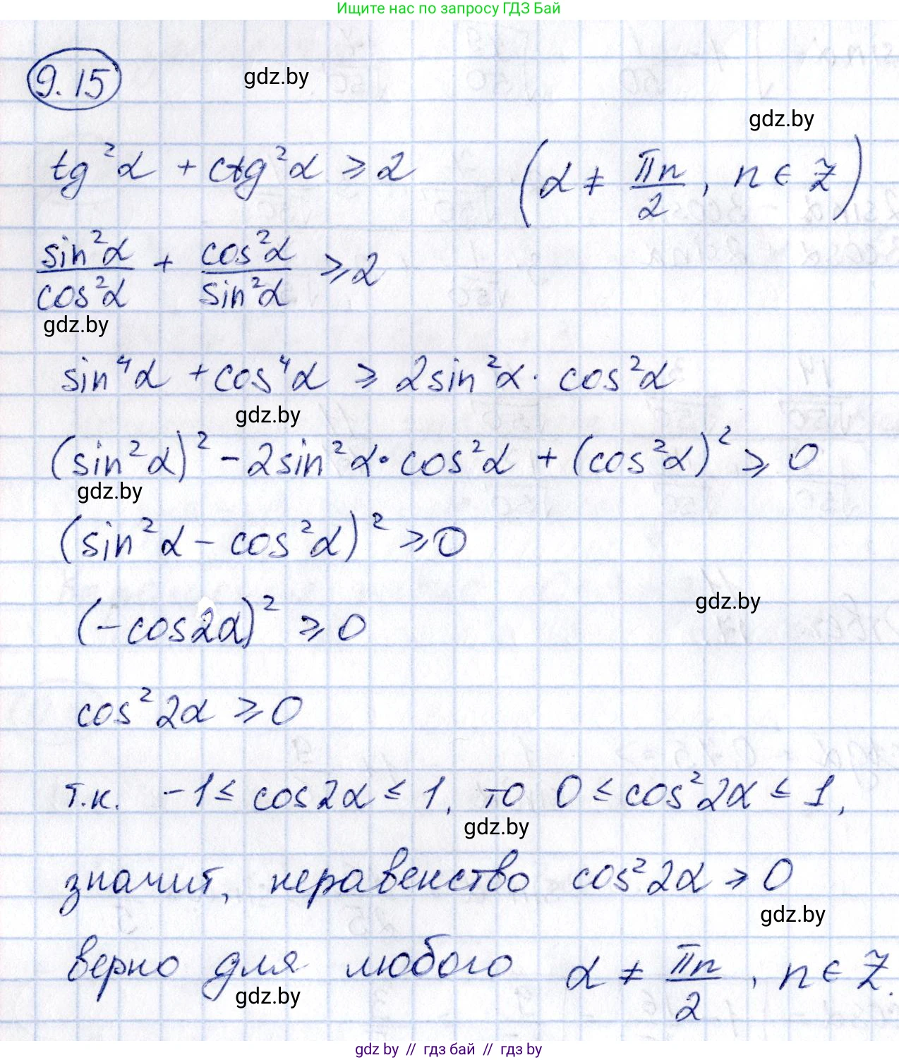
9.15. Докажите, что $tg^2\alpha + ctg^2\alpha \ge 2$.

Решение. №9.15 (с. 47)
Алгебра, 10 класс Сборник задач, авторы: Арефьева Ирина Глебовна, Пирютко Ольга Николаевна, издательство Народная асвета, Минск, 2020, белого цвета, страница 47, номер 9.15, Решение
Решение 2. №9.15 (с. 47)

Для доказательства данного неравенства можно использовать несколько подходов. Рассмотрим один из них, основанный на свойстве квадрата действительного числа.

Во-первых, определим область допустимых значений. Выражения $\text{tg}\alpha$ и $\text{ctg}\alpha$ определены, когда $\alpha \ne \frac{\pi k}{2}$, где $k$ - любое целое число. В этой области $\text{tg}\alpha \ne 0$ и $\text{ctg}\alpha \ne 0$.

Рассмотрим квадрат разности $\text{tg}\alpha$ и $\text{ctg}\alpha$. Квадрат любого действительного числа всегда неотрицателен (больше или равен нулю).

$(\text{tg}\alpha - \text{ctg}\alpha)^2 \ge 0$

Теперь раскроем скобки, используя формулу сокращенного умножения для квадрата разности: $(a-b)^2 = a^2 - 2ab + b^2$.

$\text{tg}^2\alpha - 2 \cdot \text{tg}\alpha \cdot \text{ctg}\alpha + \text{ctg}^2\alpha \ge 0$

Известно, что тангенс и котангенс одного и того же угла являются взаимно обратными величинами, поэтому их произведение равно 1:

$\text{tg}\alpha \cdot \text{ctg}\alpha = 1$

Подставим это значение в наше неравенство:

$\text{tg}^2\alpha - 2 \cdot 1 + \text{ctg}^2\alpha \ge 0$

$\text{tg}^2\alpha - 2 + \text{ctg}^2\alpha \ge 0$

Перенесем -2 из левой части неравенства в правую, изменив знак на противоположный:

$\text{tg}^2\alpha + \text{ctg}^2\alpha \ge 2$

Таким образом, мы доказали исходное неравенство.

Равенство достигается тогда, когда выражение в скобках равно нулю:

$\text{tg}\alpha - \text{ctg}\alpha = 0$

$\text{tg}\alpha = \text{ctg}\alpha$

$\text{tg}\alpha = \frac{1}{\text{tg}\alpha}$

$\text{tg}^2\alpha = 1$

Это означает, что $|\text{tg}\alpha| = 1$, что справедливо для углов $\alpha = \frac{\pi}{4} + \frac{\pi n}{2}$, где $n$ - любое целое число. В этих точках значение выражения $\text{tg}^2\alpha + \text{ctg}^2\alpha$ будет равно $1+1=2$. Во всех остальных точках из области определения оно будет строго больше 2.

Помогло решение? Оставьте отзыв в комментариях ниже.

Присоединяйтесь к Телеграм-группе @gdz_by_belarus

Присоединиться

Мы подготовили для вас ответ c подробным объяснением домашего задания по алгебре за 10 класс, для упражнения номер 9.15 расположенного на странице 47 к сборнику задач 2020 года издания для учащихся школ и гимназий.

Теперь на нашем сайте ГДЗ.ТОП вы всегда легко и бесплатно найдёте условие с правильным ответом на вопрос «Как решить ДЗ» и «Как сделать» задание по алгебре к упражнению №9.15 (с. 47), авторов: Арефьева (Ирина Глебовна), Пирютко (Ольга Николаевна), базовый и повышенный уровень обучения учебного пособия издательства Народная асвета.