Номер 12.19, страница 64 - гдз по алгебре 10 класс сборник задач Арефьева, Пирютко

Алгебра, 10 класс Сборник задач, авторы: Арефьева Ирина Глебовна, Пирютко Ольга Николаевна, издательство Народная асвета, Минск, 2020, белого цвета

Авторы: Арефьева И. Г., Пирютко О. Н.

Тип: Сборник задач

Издательство: Народная асвета

Год издания: 2020 - 2025

Уровень обучения: базовый и повышенный

Цвет обложки: белый, голубой с графиком

Допущено Министерством образования Республики Беларусь

Популярные ГДЗ в 10 классе

Глава 3. Тригонометрия. Параграф 12. Обратные тригонометрические функции - номер 12.19, страница 64.

№12.19 (с. 64)
Условие. №12.19 (с. 64)
скриншот условия
Алгебра, 10 класс Сборник задач, авторы: Арефьева Ирина Глебовна, Пирютко Ольга Николаевна, издательство Народная асвета, Минск, 2020, белого цвета, страница 64, номер 12.19, Условие

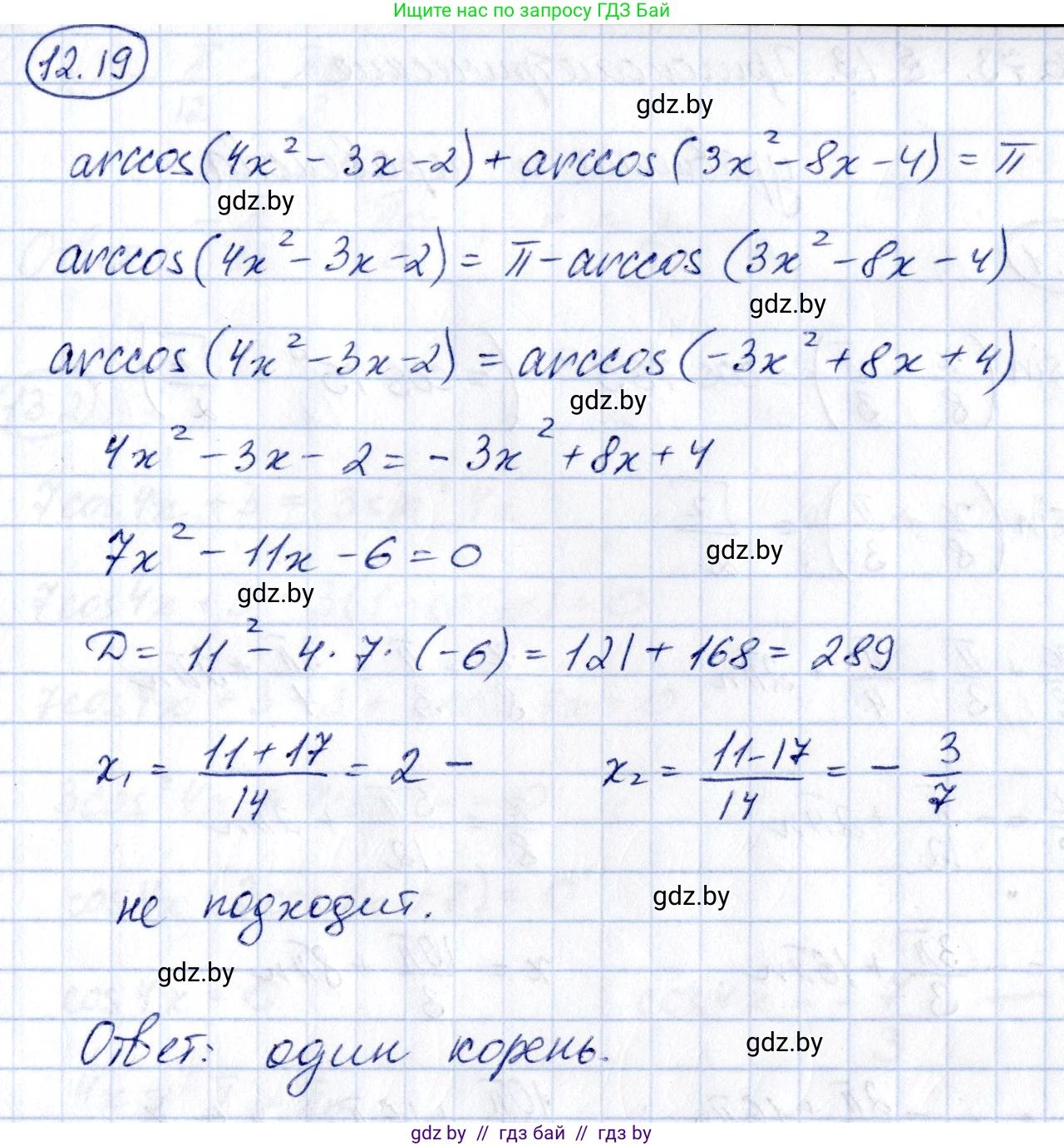
12.19. Найдите количество корней уравнения

$\arccos(4x^2 - 3x - 2) + \arccos(3x^2 - 8x - 4) = \pi.$

Решение. №12.19 (с. 64)
Алгебра, 10 класс Сборник задач, авторы: Арефьева Ирина Глебовна, Пирютко Ольга Николаевна, издательство Народная асвета, Минск, 2020, белого цвета, страница 64, номер 12.19, Решение
Решение 2. №12.19 (с. 64)

Данное уравнение имеет вид $arccos(A) + arccos(B) = \pi$, где $A = 4x^2 - 3x - 2$ и $B = 3x^2 - 8x - 4$. Область значений функции $y = arccos(x)$ — это отрезок $[0, \pi]$. Сумма двух чисел из этого отрезка может быть равна $\pi$ только если выполняется условие $arccos(A) = \pi - arccos(B)$.

Воспользуемся свойством обратных тригонометрических функций: $arccos(y) + arccos(-y) = \pi$, которое справедливо для всех $y \in [-1, 1]$. Из этого свойства следует, что исходное уравнение равносильно системе:
$ \begin{cases} 4x^2 - 3x - 2 = -(3x^2 - 8x - 4) \\ -1 \le 4x^2 - 3x - 2 \le 1 \end{cases} $

Сначала решим первое уравнение системы:
$4x^2 - 3x - 2 = -3x^2 + 8x + 4$
$7x^2 - 11x - 6 = 0$

Найдем корни этого квадратного уравнения с помощью дискриминанта $D = b^2 - 4ac$:
$D = (-11)^2 - 4 \cdot 7 \cdot (-6) = 121 + 168 = 289 = 17^2$
Корни уравнения:
$x_1 = \frac{11 + 17}{2 \cdot 7} = \frac{28}{14} = 2$
$x_2 = \frac{11 - 17}{2 \cdot 7} = \frac{-6}{14} = -\frac{3}{7}$

Теперь необходимо выполнить проверку найденных корней, подставив их во второе условие системы, которое является областью определения функции $arccos$.

Проверка корня $x_1 = 2$:
Подставим значение в выражение $4x^2 - 3x - 2$:
$4(2)^2 - 3(2) - 2 = 4 \cdot 4 - 6 - 2 = 16 - 8 = 8$.
Так как $8$ не принадлежит отрезку $[-1, 1]$, корень $x_1 = 2$ является посторонним и не является решением исходного уравнения.

Проверка корня $x_2 = -\frac{3}{7}$:
Подставим значение в выражение $4x^2 - 3x - 2$:
$4\left(-\frac{3}{7}\right)^2 - 3\left(-\frac{3}{7}\right) - 2 = 4\left(\frac{9}{49}\right) + \frac{9}{7} - 2 = \frac{36}{49} + \frac{63}{49} - \frac{98}{49} = \frac{36+63-98}{49} = \frac{1}{49}$.
Значение $\frac{1}{49}$ принадлежит отрезку $[-1, 1]$, следовательно, это условие выполняется.
Для полноты можно проверить и второй аргумент: $3x^2 - 8x - 4 = -\frac{1}{49}$, что также принадлежит отрезку $[-1, 1]$.
Таким образом, $x_2 = -\frac{3}{7}$ является единственным корнем уравнения.

Найдите количество корней уравнения Ответ: 1.

Помогло решение? Оставьте отзыв в комментариях ниже.

Присоединяйтесь к Телеграм-группе @gdz_by_belarus

Присоединиться

Мы подготовили для вас ответ c подробным объяснением домашего задания по алгебре за 10 класс, для упражнения номер 12.19 расположенного на странице 64 к сборнику задач 2020 года издания для учащихся школ и гимназий.

Теперь на нашем сайте ГДЗ.ТОП вы всегда легко и бесплатно найдёте условие с правильным ответом на вопрос «Как решить ДЗ» и «Как сделать» задание по алгебре к упражнению №12.19 (с. 64), авторов: Арефьева (Ирина Глебовна), Пирютко (Ольга Николаевна), базовый и повышенный уровень обучения учебного пособия издательства Народная асвета.