Номер 16.7, страница 90 - гдз по алгебре 10 класс сборник задач Арефьева, Пирютко

Алгебра, 10 класс Сборник задач, авторы: Арефьева Ирина Глебовна, Пирютко Ольга Николаевна, издательство Народная асвета, Минск, 2020, белого цвета

Авторы: Арефьева И. Г., Пирютко О. Н.

Тип: Сборник задач

Издательство: Народная асвета

Год издания: 2020 - 2025

Уровень обучения: базовый и повышенный

Цвет обложки: белый, голубой с графиком

Допущено Министерством образования Республики Беларусь

Популярные ГДЗ в 10 классе

Глава 3. Тригонометрия. Параграф 16. Формулы двойного аргумента - номер 16.7, страница 90.

№16.7 (с. 90)
Условие. №16.7 (с. 90)
скриншот условия
Алгебра, 10 класс Сборник задач, авторы: Арефьева Ирина Глебовна, Пирютко Ольга Николаевна, издательство Народная асвета, Минск, 2020, белого цвета, страница 90, номер 16.7, Условие

16.7. Найдите $tg\alpha$, если $tg2\alpha = 2$ и $\frac{3\pi}{2} < \alpha < 2\pi$.

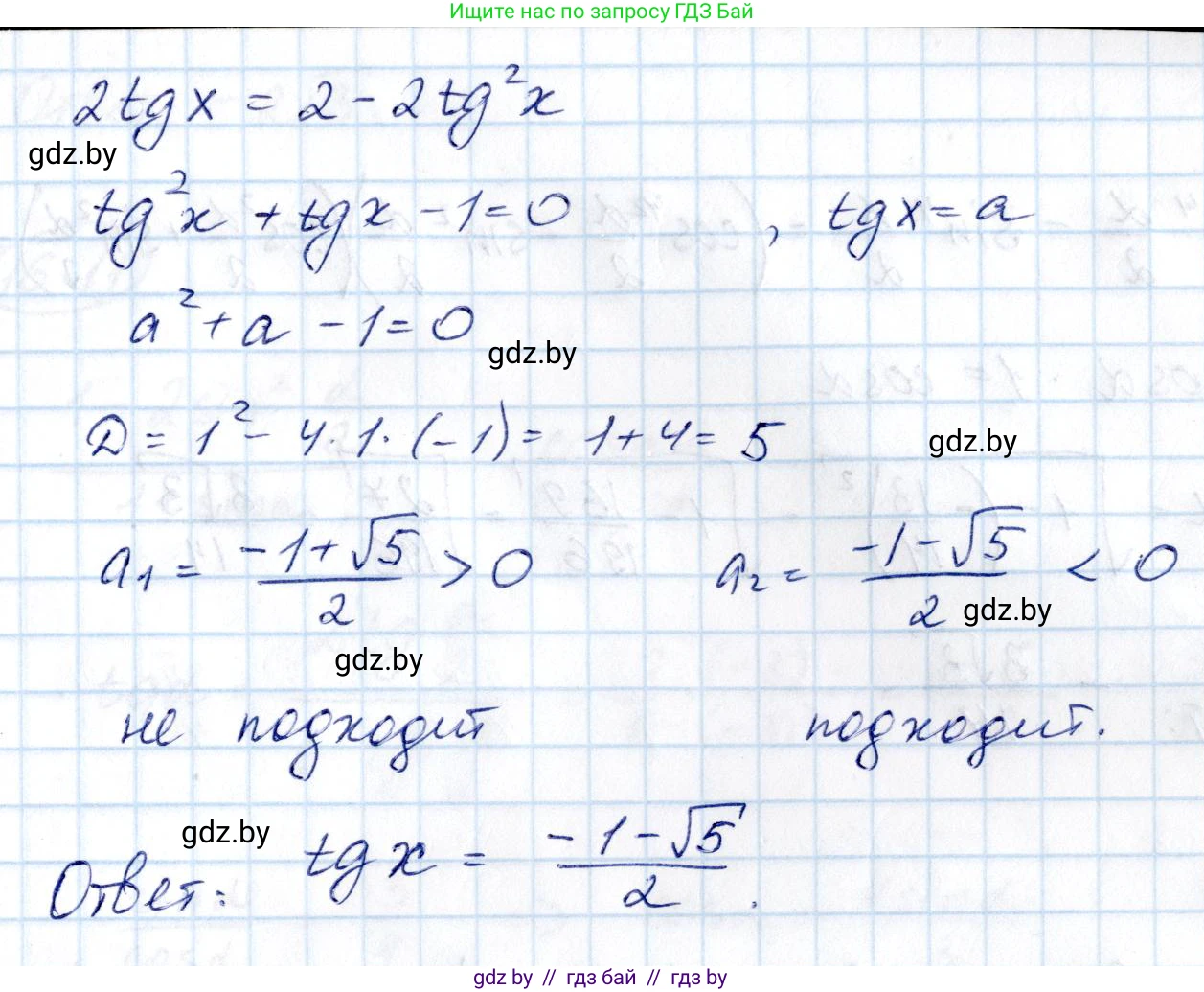
Решение. №16.7 (с. 90)
Алгебра, 10 класс Сборник задач, авторы: Арефьева Ирина Глебовна, Пирютко Ольга Николаевна, издательство Народная асвета, Минск, 2020, белого цвета, страница 90, номер 16.7, Решение Алгебра, 10 класс Сборник задач, авторы: Арефьева Ирина Глебовна, Пирютко Ольга Николаевна, издательство Народная асвета, Минск, 2020, белого цвета, страница 90, номер 16.7, Решение (продолжение 2)
Решение 2. №16.7 (с. 90)

Для решения этой задачи мы воспользуемся формулой тангенса двойного угла:

$$ \text{tg}(2\alpha) = \frac{2\text{tg}(\alpha)}{1 - \text{tg}^2(\alpha)} $$

Согласно условию, $\text{tg}(2\alpha) = 2$. Подставим это значение в формулу:

$$ 2 = \frac{2\text{tg}(\alpha)}{1 - \text{tg}^2(\alpha)} $$

Для упрощения введем замену переменной. Пусть $x = \text{tg}(\alpha)$. Тогда уравнение примет вид:

$$ 2 = \frac{2x}{1 - x^2} $$

Разделим обе части уравнения на 2:

$$ 1 = \frac{x}{1 - x^2} $$

Умножим обе части на знаменатель $(1 - x^2)$, предполагая, что он не равен нулю (это условие выполняется, поскольку $\text{tg}(2\alpha)$ определен и равен 2):

$$ 1 - x^2 = x $$

Перенесем все члены в левую часть, чтобы получить стандартное квадратное уравнение:

$$ x^2 + x - 1 = 0 $$

Решим это уравнение, используя формулу для нахождения корней квадратного уравнения $x = \frac{-b \pm \sqrt{b^2 - 4ac}}{2a}$:

$$ x = \frac{-1 \pm \sqrt{1^2 - 4(1)(-1)}}{2(1)} = \frac{-1 \pm \sqrt{1 + 4}}{2} = \frac{-1 \pm \sqrt{5}}{2} $$

Таким образом, мы получили два возможных значения для $\text{tg}(\alpha)$:

$x_1 = \frac{-1 + \sqrt{5}}{2}$ и $x_2 = \frac{-1 - \sqrt{5}}{2}$.

Теперь необходимо выбрать правильный корень, исходя из второго условия задачи: $\frac{3\pi}{2} < \alpha < 2\pi$. Этот интервал соответствует IV (четвертой) координатной четверти на тригонометрической окружности.

В IV четверти значения синуса отрицательны ($\sin(\alpha) < 0$), а значения косинуса положительны ($\cos(\alpha) > 0$). Следовательно, тангенс, как отношение синуса к косинусу, в этой четверти будет отрицательным ($\text{tg}(\alpha) < 0$).

Сравним два полученных корня:
Первый корень $\frac{-1 + \sqrt{5}}{2}$ является положительным числом, так как $\sqrt{5} \approx 2.236$, и, следовательно, $-1 + \sqrt{5} > 0$.
Второй корень $\frac{-1 - \sqrt{5}}{2}$ является отрицательным числом, так как это сумма двух отрицательных слагаемых в числителе.

Поскольку тангенс угла $\alpha$ должен быть отрицательным, мы выбираем второй корень.

16.7. Ответ: $\frac{-1 - \sqrt{5}}{2}$

Помогло решение? Оставьте отзыв в комментариях ниже.

Присоединяйтесь к Телеграм-группе @gdz_by_belarus

Присоединиться

Мы подготовили для вас ответ c подробным объяснением домашего задания по алгебре за 10 класс, для упражнения номер 16.7 расположенного на странице 90 к сборнику задач 2020 года издания для учащихся школ и гимназий.

Теперь на нашем сайте ГДЗ.ТОП вы всегда легко и бесплатно найдёте условие с правильным ответом на вопрос «Как решить ДЗ» и «Как сделать» задание по алгебре к упражнению №16.7 (с. 90), авторов: Арефьева (Ирина Глебовна), Пирютко (Ольга Николаевна), базовый и повышенный уровень обучения учебного пособия издательства Народная асвета.