Номер 19.18, страница 102 - гдз по алгебре 10 класс сборник задач Арефьева, Пирютко

Алгебра, 10 класс Сборник задач, авторы: Арефьева Ирина Глебовна, Пирютко Ольга Николаевна, издательство Народная асвета, Минск, 2020, белого цвета

Авторы: Арефьева И. Г., Пирютко О. Н.

Тип: Сборник задач

Издательство: Народная асвета

Год издания: 2020 - 2025

Уровень обучения: базовый и повышенный

Цвет обложки: белый, голубой с графиком

Допущено Министерством образования Республики Беларусь

Популярные ГДЗ в 10 классе

Глава 4. Корень n-й степени из числа. Параграф 19. Свойства корней n-й степени (n≥2, n∈N) - номер 19.18, страница 102.

№19.18 (с. 102)
Условие. №19.18 (с. 102)
скриншот условия
Алгебра, 10 класс Сборник задач, авторы: Арефьева Ирина Глебовна, Пирютко Ольга Николаевна, издательство Народная асвета, Минск, 2020, белого цвета, страница 102, номер 19.18, Условие

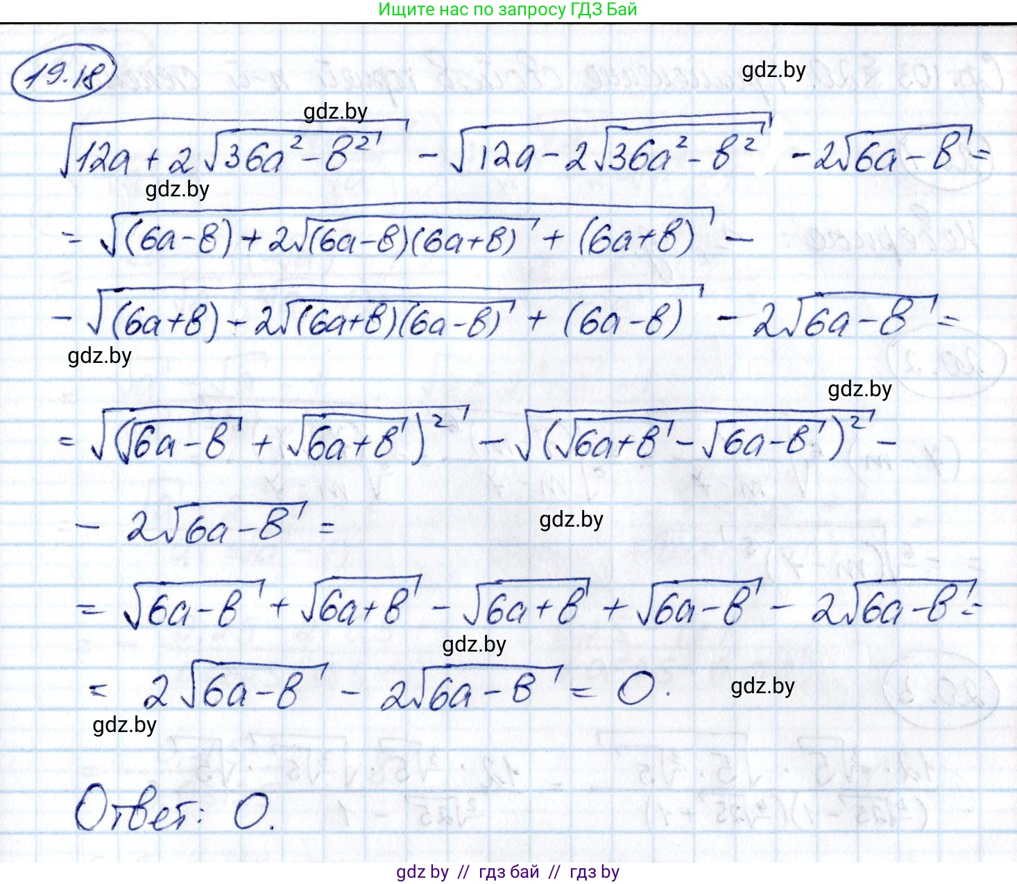
19.18. Найдите значение выражения

$\sqrt{12a + 2\sqrt{36a^2 - b^2}} - \sqrt{12a - 2\sqrt{36a^2 - b^2}} - 2\sqrt{6a - b}$ при $a = \sqrt{2}$, $b = \sqrt[3]{3}$.

Решение. №19.18 (с. 102)
Алгебра, 10 класс Сборник задач, авторы: Арефьева Ирина Глебовна, Пирютко Ольга Николаевна, издательство Народная асвета, Минск, 2020, белого цвета, страница 102, номер 19.18, Решение
Решение 2. №19.18 (с. 102)

Для нахождения значения выражения воспользуемся формулой для упрощения вложенных корней (сложных радикалов): $ \sqrt{X \pm 2\sqrt{Y}} = \sqrt{u} \pm \sqrt{v} $, где $ u+v=X $ и $ uv=Y $ (при условии $ u \ge v $). Эта формула является следствием тождества $ (\sqrt{u} \pm \sqrt{v})^2 = u+v \pm 2\sqrt{uv} $.

В нашем выражении первые два слагаемых имеют вид $ \sqrt{12a \pm 2\sqrt{36a^2 - b^2}} $. Здесь $ X=12a $ и $ Y=36a^2 - b^2 $. Нам необходимо найти два числа, $ u $ и $ v $, такие что их сумма равна $ 12a $, а произведение равно $ 36a^2 - b^2 $. Решая систему уравнений $ u+v=12a $ и $ uv=36a^2-b^2 $, легко найти, что $ u = 6a+b $ и $ v = 6a-b $.

Прежде чем применить формулу, убедимся, что подкоренные выражения неотрицательны при заданных значениях $ a=\sqrt{2} $ и $ b=\sqrt[3]{3} $. Поскольку $ b = \sqrt[3]{3} > 0 $, то очевидно, что $ 6a+b > 6a-b $, таким образом, условие $ u \ge v $ выполняется. Проверим знак выражения $ v = 6a-b $. Для этого сравним $ 6a $ и $ b $, то есть $ 6\sqrt{2} $ и $ \sqrt[3]{3} $. Возведем оба числа в 6-ю степень для удобства сравнения: $ (6\sqrt{2})^6 = 6^6 \cdot (\sqrt{2})^6 = 46656 \cdot 8 = 373248 $ и $ (\sqrt[3]{3})^6 = 3^2=9 $. Так как $ 373248 > 9 $, то $ 6\sqrt{2} > \sqrt[3]{3} $, и, следовательно, $ v = 6a-b > 0 $. Это означает, что все выражения под корнями вещественны и положительны.

Теперь мы можем преобразовать первые два слагаемых исходного выражения:

$ \sqrt{12a + 2\sqrt{36a^2 - b^2}} = \sqrt{(\sqrt{6a+b} + \sqrt{6a-b})^2} = |\sqrt{6a+b} + \sqrt{6a-b}| = \sqrt{6a+b} + \sqrt{6a-b} $

$ \sqrt{12a - 2\sqrt{36a^2 - b^2}} = \sqrt{(\sqrt{6a+b} - \sqrt{6a-b})^2} = |\sqrt{6a+b} - \sqrt{6a-b}| = \sqrt{6a+b} - \sqrt{6a-b} $ (поскольку $ u>v>0 $).

Подставим полученные результаты обратно в исходное выражение и выполним упрощение:

$ (\sqrt{6a+b} + \sqrt{6a-b}) - (\sqrt{6a+b} - \sqrt{6a-b}) - 2\sqrt{6a-b} = $

$ = \sqrt{6a+b} + \sqrt{6a-b} - \sqrt{6a+b} + \sqrt{6a-b} - 2\sqrt{6a-b} = $

$ = (\sqrt{6a+b} - \sqrt{6a+b}) + (\sqrt{6a-b} + \sqrt{6a-b}) - 2\sqrt{6a-b} = $

$ = 0 + 2\sqrt{6a-b} - 2\sqrt{6a-b} = 0 $.

19.18. Ответ: 0

Помогло решение? Оставьте отзыв в комментариях ниже.

Присоединяйтесь к Телеграм-группе @gdz_by_belarus

Присоединиться

Мы подготовили для вас ответ c подробным объяснением домашего задания по алгебре за 10 класс, для упражнения номер 19.18 расположенного на странице 102 к сборнику задач 2020 года издания для учащихся школ и гимназий.

Теперь на нашем сайте ГДЗ.ТОП вы всегда легко и бесплатно найдёте условие с правильным ответом на вопрос «Как решить ДЗ» и «Как сделать» задание по алгебре к упражнению №19.18 (с. 102), авторов: Арефьева (Ирина Глебовна), Пирютко (Ольга Николаевна), базовый и повышенный уровень обучения учебного пособия издательства Народная асвета.