Номер 20.8, страница 104 - гдз по алгебре 10 класс сборник задач Арефьева, Пирютко

Алгебра, 10 класс Сборник задач, авторы: Арефьева Ирина Глебовна, Пирютко Ольга Николаевна, издательство Народная асвета, Минск, 2020, белого цвета

Авторы: Арефьева И. Г., Пирютко О. Н.

Тип: Сборник задач

Издательство: Народная асвета

Год издания: 2020 - 2025

Уровень обучения: базовый и повышенный

Цвет обложки: белый, голубой с графиком

Допущено Министерством образования Республики Беларусь

Популярные ГДЗ в 10 классе

Глава 4. Корень n-й степени из числа. Параграф 20. Применение свойств корней n-й степени для преобразования выражений - номер 20.8, страница 104.

№20.8 (с. 104)
Условие. №20.8 (с. 104)
скриншот условия
Алгебра, 10 класс Сборник задач, авторы: Арефьева Ирина Глебовна, Пирютко Ольга Николаевна, издательство Народная асвета, Минск, 2020, белого цвета, страница 104, номер 20.8, Условие

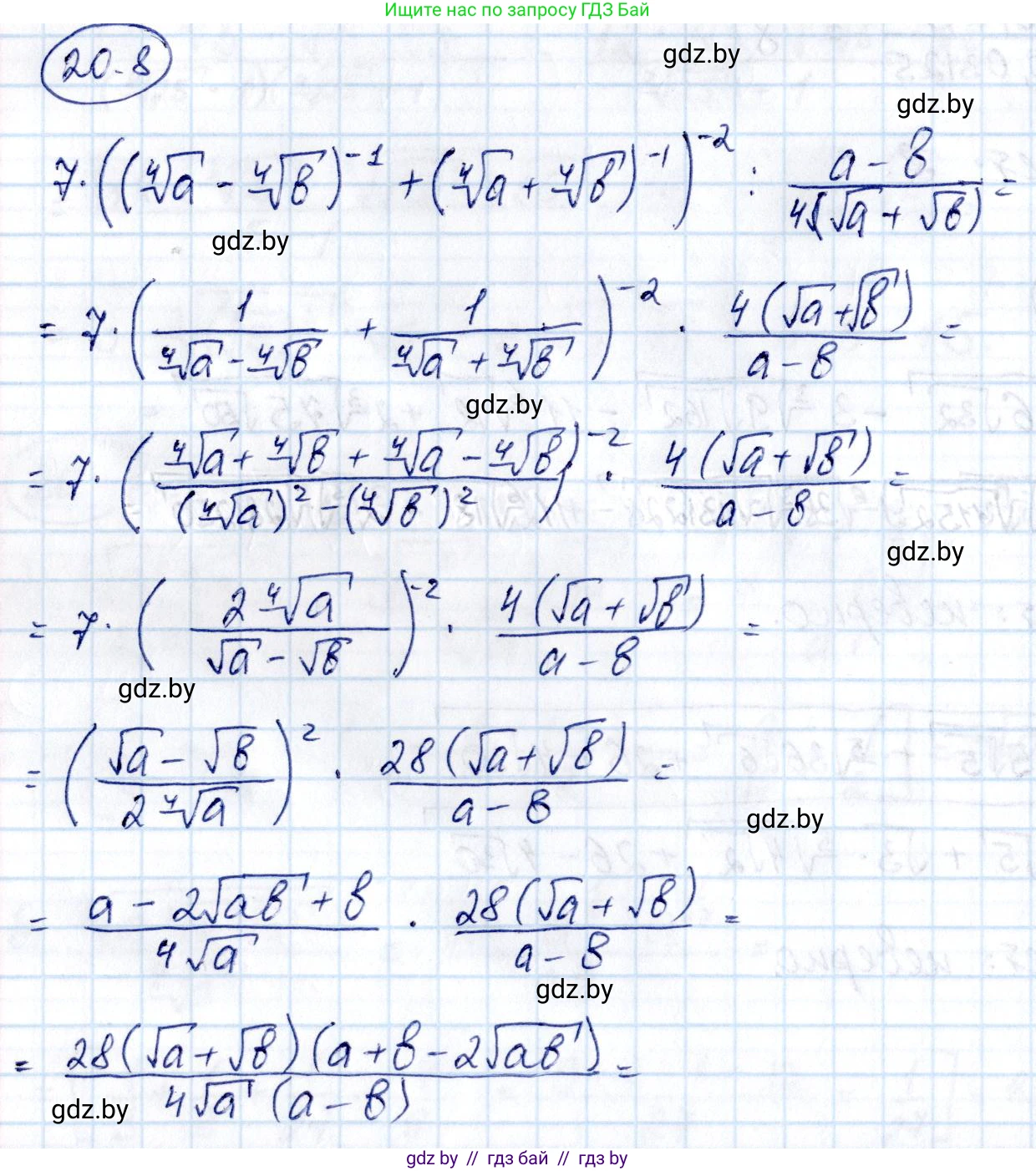
20.8. Упростите выражение $7 \cdot \left(\left(\left(\sqrt[4]{a} - \sqrt[4]{b}\right)^{-1} + \left(\sqrt[4]{a} + \sqrt[4]{b}\right)^{-1}\right)^{-2} : \frac{a-b}{4\left(\sqrt{a} + \sqrt{b}\right)}\right)$

и найдите его значение при $a = 196$, $b = 36$.

Решение. №20.8 (с. 104)
Алгебра, 10 класс Сборник задач, авторы: Арефьева Ирина Глебовна, Пирютко Ольга Николаевна, издательство Народная асвета, Минск, 2020, белого цвета, страница 104, номер 20.8, Решение Алгебра, 10 класс Сборник задач, авторы: Арефьева Ирина Глебовна, Пирютко Ольга Николаевна, издательство Народная асвета, Минск, 2020, белого цвета, страница 104, номер 20.8, Решение (продолжение 2)
Решение 2. №20.8 (с. 104)

Упрощение выражения: Сначала преобразуем выражение в больших скобках. Используя свойство $x^{-1} = \frac{1}{x}$, перепишем сумму: $(\sqrt[4]{a} - \sqrt[4]{b})^{-1} + (\sqrt[4]{a} + \sqrt[4]{b})^{-1} = \frac{1}{\sqrt[4]{a} - \sqrt[4]{b}} + \frac{1}{\sqrt[4]{a} + \sqrt[4]{b}}$. Приведем дроби к общему знаменателю, используя формулу разности квадратов $(x-y)(x+y) = x^2 - y^2$: $\frac{(\sqrt[4]{a} + \sqrt[4]{b}) + (\sqrt[4]{a} - \sqrt[4]{b})}{(\sqrt[4]{a} - \sqrt[4]{b})(\sqrt[4]{a} + \sqrt[4]{b})} = \frac{2\sqrt[4]{a}}{(\sqrt[4]{a})^2 - (\sqrt[4]{b})^2} = \frac{2\sqrt[4]{a}}{\sqrt{a} - \sqrt{b}}$. Теперь возведем полученное выражение в степень $-2$: $\left(\frac{2\sqrt[4]{a}}{\sqrt{a} - \sqrt{b}}\right)^{-2} = \left(\frac{\sqrt{a} - \sqrt{b}}{2\sqrt[4]{a}}\right)^{2} = \frac{(\sqrt{a} - \sqrt{b})^2}{(2\sqrt[4]{a})^2} = \frac{(\sqrt{a} - \sqrt{b})^2}{4\sqrt{a}}$. Далее упростим делитель, разложив числитель по формуле разности квадратов: $\frac{a-b}{4(\sqrt{a} + \sqrt{b})} = \frac{(\sqrt{a}-\sqrt{b})(\sqrt{a}+\sqrt{b})}{4(\sqrt{a} + \sqrt{b})} = \frac{\sqrt{a}-\sqrt{b}}{4}$. Наконец, выполним деление, заменив его умножением на обратную дробь: $7 \cdot \frac{(\sqrt{a} - \sqrt{b})^2}{4\sqrt{a}} : \frac{\sqrt{a}-\sqrt{b}}{4} = \frac{7(\sqrt{a} - \sqrt{b})^2}{4\sqrt{a}} \cdot \frac{4}{\sqrt{a}-\sqrt{b}}$. Сократив одинаковые множители, получим итоговое упрощенное выражение. Ответ: $\frac{7(\sqrt{a} - \sqrt{b})}{\sqrt{a}}$.

Нахождение значения выражения: Подставим заданные значения $a=196$ и $b=36$ в упрощенное выражение $\frac{7(\sqrt{a} - \sqrt{b})}{\sqrt{a}}$. Сначала вычислим значения корней: $\sqrt{a} = \sqrt{196} = 14$ и $\sqrt{b} = \sqrt{36} = 6$. Подставим числа в выражение и вычислим результат: $\frac{7(14 - 6)}{14} = \frac{7 \cdot 8}{14} = \frac{56}{14} = 4$. Ответ: 4.

Помогло решение? Оставьте отзыв в комментариях ниже.

Присоединяйтесь к Телеграм-группе @gdz_by_belarus

Присоединиться

Мы подготовили для вас ответ c подробным объяснением домашего задания по алгебре за 10 класс, для упражнения номер 20.8 расположенного на странице 104 к сборнику задач 2020 года издания для учащихся школ и гимназий.

Теперь на нашем сайте ГДЗ.ТОП вы всегда легко и бесплатно найдёте условие с правильным ответом на вопрос «Как решить ДЗ» и «Как сделать» задание по алгебре к упражнению №20.8 (с. 104), авторов: Арефьева (Ирина Глебовна), Пирютко (Ольга Николаевна), базовый и повышенный уровень обучения учебного пособия издательства Народная асвета.