Номер 27.15, страница 134 - гдз по алгебре 10 класс сборник задач Арефьева, Пирютко

Алгебра, 10 класс Сборник задач, авторы: Арефьева Ирина Глебовна, Пирютко Ольга Николаевна, издательство Народная асвета, Минск, 2020, белого цвета

Авторы: Арефьева И. Г., Пирютко О. Н.

Тип: Сборник задач

Издательство: Народная асвета

Год издания: 2020 - 2025

Уровень обучения: базовый и повышенный

Цвет обложки: белый, голубой с графиком

Допущено Министерством образования Республики Беларусь

Популярные ГДЗ в 10 классе

Глава 5. Производная. Параграф 27. Геометрический смысл производной. Связь между знаком производной функции и ее возрастанием или убыванием - номер 27.15, страница 134.

№27.15 (с. 134)
Условие. №27.15 (с. 134)
скриншот условия
Алгебра, 10 класс Сборник задач, авторы: Арефьева Ирина Глебовна, Пирютко Ольга Николаевна, издательство Народная асвета, Минск, 2020, белого цвета, страница 134, номер 27.15, Условие

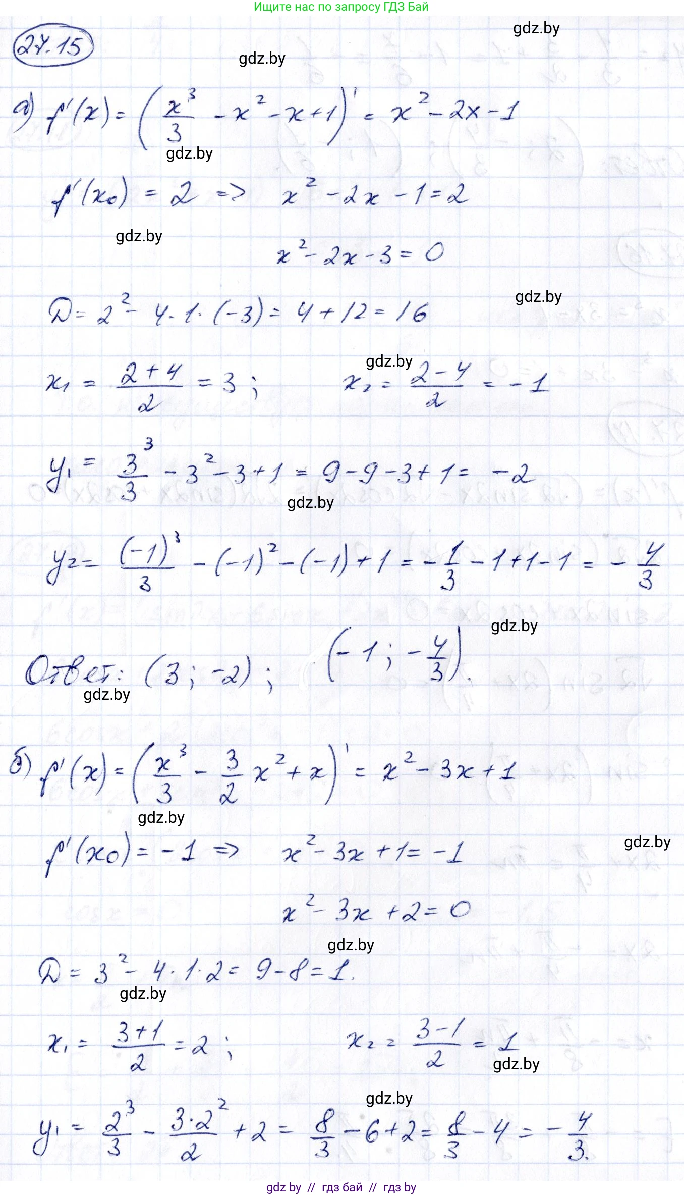
27.15. Найдите координаты точек, в которых касательные к графику функции:

a) $f(x) = \frac{x^3}{3} - x^2 - x + 1$ параллельны прямой $y = 2x - 1$;

б) $f(x) = \frac{x^3}{3} - \frac{3}{2}x^2 + x$ параллельны прямой $y = -x + 5$.

Решение. №27.15 (с. 134)
Алгебра, 10 класс Сборник задач, авторы: Арефьева Ирина Глебовна, Пирютко Ольга Николаевна, издательство Народная асвета, Минск, 2020, белого цвета, страница 134, номер 27.15, Решение Алгебра, 10 класс Сборник задач, авторы: Арефьева Ирина Глебовна, Пирютко Ольга Николаевна, издательство Народная асвета, Минск, 2020, белого цвета, страница 134, номер 27.15, Решение (продолжение 2)
Решение 2. №27.15 (с. 134)

а) Условие параллельности касательной к графику функции $f(x)$ и прямой $y=kx+b$ заключается в равенстве их угловых коэффициентов. Угловой коэффициент касательной в точке с абсциссой $x_0$ равен значению производной функции в этой точке, то есть $f'(x_0)$.
Угловой коэффициент для прямой $y = 2x - 1$ равен $k=2$.
Найдем производную функции $f(x) = \frac{x^3}{3} - x^2 - x + 1$:
$f'(x) = (\frac{x^3}{3} - x^2 - x + 1)' = \frac{1}{3} \cdot 3x^2 - 2x - 1 = x^2 - 2x - 1$.
Теперь приравняем производную к угловому коэффициенту прямой, чтобы найти абсциссы искомых точек:
$f'(x) = 2$
$x^2 - 2x - 1 = 2$
$x^2 - 2x - 3 = 0$
Решим полученное квадратное уравнение. По теореме Виета (или через дискриминант) находим корни: $x_1 = 3$ и $x_2 = -1$.
Далее найдем соответствующие ординаты точек, подставив значения $x$ в исходное уравнение функции $f(x)$:
Для $x_1 = 3$:
$y_1 = f(3) = \frac{3^3}{3} - 3^2 - 3 + 1 = 9 - 9 - 3 + 1 = -2$.
Таким образом, первая точка имеет координаты $(3, -2)$.
Для $x_2 = -1$:
$y_2 = f(-1) = \frac{(-1)^3}{3} - (-1)^2 - (-1) + 1 = -\frac{1}{3} - 1 + 1 + 1 = \frac{2}{3}$.
Таким образом, вторая точка имеет координаты $(-1, \frac{2}{3})$.
Ответ: $(3, -2)$ и $(-1, \frac{2}{3})$.

б) Действуем аналогично предыдущему пункту. Касательные к графику функции $f(x) = \frac{x^3}{3} - \frac{3}{2}x^2 + x$ должны быть параллельны прямой $y = -x + 5$.
Угловой коэффициент прямой $y = -x + 5$ равен $k=-1$.
Найдем производную функции $f(x)$:
$f'(x) = (\frac{x^3}{3} - \frac{3}{2}x^2 + x)' = \frac{1}{3} \cdot 3x^2 - \frac{3}{2} \cdot 2x + 1 = x^2 - 3x + 1$.
Приравняем производную к угловому коэффициенту $k=-1$:
$f'(x) = -1$
$x^2 - 3x + 1 = -1$
$x^2 - 3x + 2 = 0$
Корни данного квадратного уравнения: $x_1 = 1$ и $x_2 = 2$.
Теперь найдем ординаты этих точек, подставив значения $x$ в функцию $f(x)$:
Для $x_1 = 1$:
$y_1 = f(1) = \frac{1^3}{3} - \frac{3}{2}(1)^2 + 1 = \frac{1}{3} - \frac{3}{2} + 1 = \frac{2 - 9 + 6}{6} = -\frac{1}{6}$.
Первая точка: $(1, -\frac{1}{6})$.
Для $x_2 = 2$:
$y_2 = f(2) = \frac{2^3}{3} - \frac{3}{2}(2)^2 + 2 = \frac{8}{3} - \frac{3}{2} \cdot 4 + 2 = \frac{8}{3} - 6 + 2 = \frac{8}{3} - 4 = \frac{8 - 12}{3} = -\frac{4}{3}$.
Дробь $-\frac{4}{3}$ является неправильной. Представим ее в виде смешанного числа: $-\frac{4}{3} = -1\frac{1}{3}$.
Вторая точка: $(2, -1\frac{1}{3})$.
Ответ: $(1, -\frac{1}{6})$ и $(2, -1\frac{1}{3})$.

Помогло решение? Оставьте отзыв в комментариях ниже.

Присоединяйтесь к Телеграм-группе @gdz_by_belarus

Присоединиться

Мы подготовили для вас ответ c подробным объяснением домашего задания по алгебре за 10 класс, для упражнения номер 27.15 расположенного на странице 134 к сборнику задач 2020 года издания для учащихся школ и гимназий.

Теперь на нашем сайте ГДЗ.ТОП вы всегда легко и бесплатно найдёте условие с правильным ответом на вопрос «Как решить ДЗ» и «Как сделать» задание по алгебре к упражнению №27.15 (с. 134), авторов: Арефьева (Ирина Глебовна), Пирютко (Ольга Николаевна), базовый и повышенный уровень обучения учебного пособия издательства Народная асвета.