Номер 21, страница 5 - гдз по алгебре 10 класс учебник Арефьева, Пирютко

Алгебра, 10 класс Учебник, авторы: Арефьева Ирина Глебовна, Пирютко Ольга Николаевна, издательство Народная асвета, Минск, 2019, голубого цвета

Авторы: Арефьева И. Г., Пирютко О. Н.

Тип: Учебник

Издательство: Народная асвета

Год издания: 2019 - 2025

Цвет обложки: голубой с графиком

Допущено Министерством образования Республики Беларусь

Популярные ГДЗ в 10 классе

Повторение курса алгебры 7—9-х классов - номер 21, страница 5.

№21 (с. 5)
Условие. №21 (с. 5)
скриншот условия
Алгебра, 10 класс Учебник, авторы: Арефьева Ирина Глебовна, Пирютко Ольга Николаевна, издательство Народная асвета, Минск, 2019, голубого цвета, страница 5, номер 21, Условие

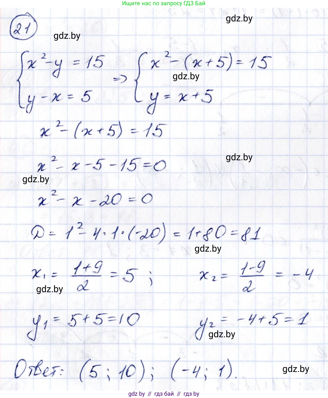
21. Решите систему уравнений $\begin{cases} x^2 - y = 15, \\ y - x = 5. \end{cases}$

Решение. №21 (с. 5)
Алгебра, 10 класс Учебник, авторы: Арефьева Ирина Глебовна, Пирютко Ольга Николаевна, издательство Народная асвета, Минск, 2019, голубого цвета, страница 5, номер 21, Решение
Решение 2. №21 (с. 5)

Дана система уравнений:

$ \begin{cases} x^2 - y = 15, \\ y - x = 5. \end{cases} $

Для решения этой системы удобно использовать метод подстановки. Сначала выразим переменную $y$ из второго уравнения:

$y - x = 5$

$y = x + 5$

Теперь подставим это выражение для $y$ в первое уравнение системы:

$x^2 - (x + 5) = 15$

Раскроем скобки и приведём уравнение к стандартному квадратному виду $ax^2 + bx + c = 0$:

$x^2 - x - 5 = 15$

$x^2 - x - 5 - 15 = 0$

$x^2 - x - 20 = 0$

Мы получили квадратное уравнение. Решим его с помощью дискриминанта. Формула дискриминанта: $D = b^2 - 4ac$.

В нашем случае коэффициенты: $a=1$, $b=-1$, $c=-20$.

$D = (-1)^2 - 4 \cdot 1 \cdot (-20) = 1 + 80 = 81$

Поскольку дискриминант $D > 0$, уравнение имеет два различных действительных корня. Найдем их по формуле $x = \frac{-b \pm \sqrt{D}}{2a}$:

$x_1 = \frac{-(-1) + \sqrt{81}}{2 \cdot 1} = \frac{1 + 9}{2} = \frac{10}{2} = 5$

$x_2 = \frac{-(-1) - \sqrt{81}}{2 \cdot 1} = \frac{1 - 9}{2} = \frac{-8}{2} = -4$

Теперь для каждого найденного значения $x$ найдем соответствующее значение $y$, используя ранее выведенную формулу $y = x + 5$.

1. Для $x_1 = 5$:

$y_1 = 5 + 5 = 10$

Таким образом, первая пара решений: $(5, 10)$.

2. Для $x_2 = -4$:

$y_2 = -4 + 5 = 1$

Таким образом, вторая пара решений: $(-4, 1)$.

Проведем проверку, подставив найденные пары чисел в исходную систему.

Для пары $(5, 10)$:

$ \begin{cases} 5^2 - 10 = 25 - 10 = 15 & \text{(верно)} \\ 10 - 5 = 5 & \text{(верно)} \end{cases} $

Для пары $(-4, 1)$:

$ \begin{cases} (-4)^2 - 1 = 16 - 1 = 15 & \text{(верно)} \\ 1 - (-4) = 1 + 4 = 5 & \text{(верно)} \end{cases} $

Обе пары чисел являются решениями системы.

Ответ: $(5, 10)$, $(-4, 1)$.

Помогло решение? Оставьте отзыв в комментариях ниже.

Присоединяйтесь к Телеграм-группе @gdz_by_belarus

Присоединиться

Мы подготовили для вас ответ c подробным объяснением домашего задания по алгебре за 10 класс, для упражнения номер 21 расположенного на странице 5 к учебнику 2019 года издания для учащихся школ и гимназий.

Теперь на нашем сайте ГДЗ.ТОП вы всегда легко и бесплатно найдёте условие с правильным ответом на вопрос «Как решить ДЗ» и «Как сделать» задание по алгебре к упражнению №21 (с. 5), авторов: Арефьева (Ирина Глебовна), Пирютко (Ольга Николаевна), учебного пособия издательства Народная асвета.