Номер 5, страница 4 - гдз по алгебре 10 класс учебник Арефьева, Пирютко

Алгебра, 10 класс Учебник, авторы: Арефьева Ирина Глебовна, Пирютко Ольга Николаевна, издательство Народная асвета, Минск, 2019, голубого цвета

Авторы: Арефьева И. Г., Пирютко О. Н.

Тип: Учебник

Издательство: Народная асвета

Год издания: 2019 - 2025

Цвет обложки: голубой с графиком

Допущено Министерством образования Республики Беларусь

Популярные ГДЗ в 10 классе

Повторение курса алгебры 7—9-х классов - номер 5, страница 4.

№5 (с. 4)
Условие. №5 (с. 4)
скриншот условия
Алгебра, 10 класс Учебник, авторы: Арефьева Ирина Глебовна, Пирютко Ольга Николаевна, издательство Народная асвета, Минск, 2019, голубого цвета, страница 4, номер 5, Условие

5. Решите уравнение:

а) $\frac{x-4}{3} - \frac{x+1}{2} = 3;$

б) $(x-4)^2 - 2x = 7;$

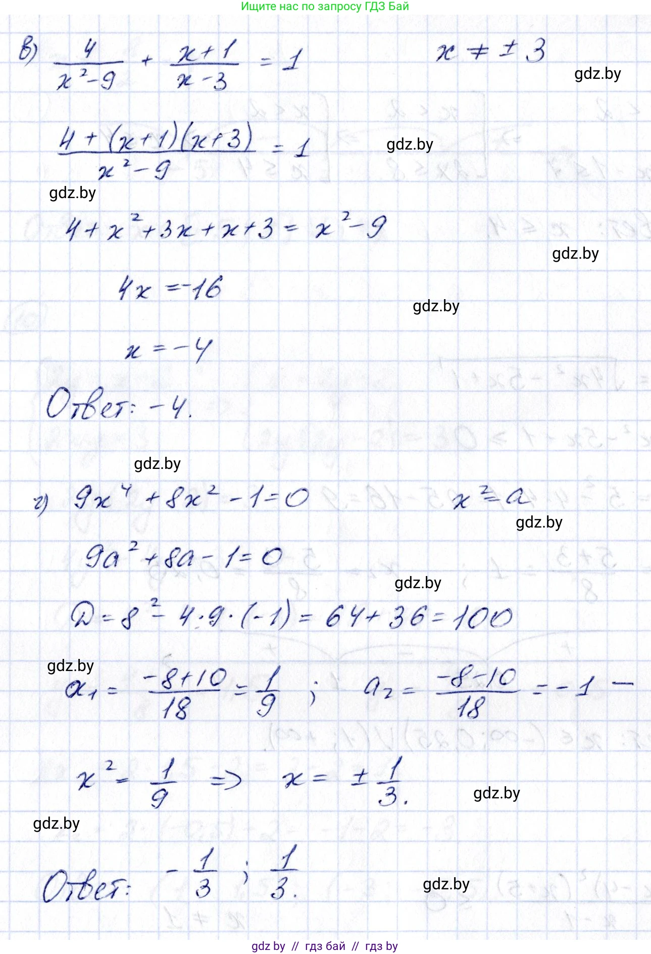
В) $\frac{4}{x^2-9} + \frac{x+1}{x-3} = 1;$

Г) $9x^4 + 8x^2 - 1 = 0.$

Решение. №5 (с. 4)
Алгебра, 10 класс Учебник, авторы: Арефьева Ирина Глебовна, Пирютко Ольга Николаевна, издательство Народная асвета, Минск, 2019, голубого цвета, страница 4, номер 5, Решение Алгебра, 10 класс Учебник, авторы: Арефьева Ирина Глебовна, Пирютко Ольга Николаевна, издательство Народная асвета, Минск, 2019, голубого цвета, страница 4, номер 5, Решение (продолжение 2)
Решение 2. №5 (с. 4)

а) $\frac{x-4}{3} - \frac{x+1}{2} = 3$
Приведем дроби к общему знаменателю 6. Для этого умножим обе части уравнения на 6:
$6 \cdot \frac{x-4}{3} - 6 \cdot \frac{x+1}{2} = 3 \cdot 6$
$2(x-4) - 3(x+1) = 18$
Раскроем скобки:
$2x - 8 - 3x - 3 = 18$
Приведем подобные слагаемые:
$-x - 11 = 18$
Перенесем -11 в правую часть уравнения с противоположным знаком:
$-x = 18 + 11$
$-x = 29$
$x = -29$
Ответ: -29

б) $(x-4)^2 - 2x = 7$
Раскроем квадрат разности по формуле $(a-b)^2 = a^2-2ab+b^2$:
$(x^2 - 2 \cdot x \cdot 4 + 4^2) - 2x = 7$
$x^2 - 8x + 16 - 2x = 7$
Приведем подобные слагаемые и перенесем все члены в левую часть, чтобы получить квадратное уравнение:
$x^2 - 10x + 16 - 7 = 0$
$x^2 - 10x + 9 = 0$
Решим полученное квадратное уравнение через дискриминант:
$D = b^2 - 4ac = (-10)^2 - 4 \cdot 1 \cdot 9 = 100 - 36 = 64$
$x_{1,2} = \frac{-b \pm \sqrt{D}}{2a} = \frac{10 \pm \sqrt{64}}{2 \cdot 1} = \frac{10 \pm 8}{2}$
$x_1 = \frac{10 + 8}{2} = \frac{18}{2} = 9$
$x_2 = \frac{10 - 8}{2} = \frac{2}{2} = 1$
Ответ: 1; 9

в) $\frac{4}{x^2 - 9} + \frac{x+1}{x-3} = 1$
Определим область допустимых значений (ОДЗ). Знаменатели не могут равняться нулю, поэтому $x^2 - 9 \neq 0$ и $x - 3 \neq 0$.
$x^2 - 9 = (x-3)(x+3) \neq 0 \implies x \neq 3$ и $x \neq -3$.
Приведем дроби к общему знаменателю $(x-3)(x+3)$:
$\frac{4}{(x-3)(x+3)} + \frac{(x+1)(x+3)}{(x-3)(x+3)} = 1$
$\frac{4 + (x+1)(x+3)}{(x-3)(x+3)} = 1$
Умножим обе части уравнения на знаменатель $(x-3)(x+3)$, так как мы учли ОДЗ:
$4 + (x+1)(x+3) = (x-3)(x+3)$
$4 + x^2 + 3x + x + 3 = x^2 - 9$
$x^2 + 4x + 7 = x^2 - 9$
$4x = -9 - 7$
$4x = -16$
$x = -4$
Корень $x = -4$ входит в ОДЗ.
Ответ: -4

г) $9x^4 + 8x^2 - 1 = 0$
Это биквадратное уравнение. Сделаем замену переменной: пусть $t = x^2$. Учитывая, что $x^2$ не может быть отрицательным, $t \ge 0$.
Уравнение принимает вид:
$9t^2 + 8t - 1 = 0$
Решим это квадратное уравнение относительно $t$ с помощью дискриминанта:
$D = b^2 - 4ac = 8^2 - 4 \cdot 9 \cdot (-1) = 64 + 36 = 100$
$t_{1,2} = \frac{-b \pm \sqrt{D}}{2a} = \frac{-8 \pm \sqrt{100}}{2 \cdot 9} = \frac{-8 \pm 10}{18}$
$t_1 = \frac{-8 + 10}{18} = \frac{2}{18} = \frac{1}{9}$
$t_2 = \frac{-8 - 10}{18} = \frac{-18}{18} = -1$
Корень $t_2 = -1$ не удовлетворяет условию $t \ge 0$, поэтому он является посторонним.
Выполним обратную замену для $t_1 = \frac{1}{9}$:
$x^2 = \frac{1}{9}$
$x = \pm\sqrt{\frac{1}{9}}$
$x_1 = \frac{1}{3}$, $x_2 = -\frac{1}{3}$
Ответ: $-\frac{1}{3}; \frac{1}{3}$

Помогло решение? Оставьте отзыв в комментариях ниже.

Присоединяйтесь к Телеграм-группе @gdz_by_belarus

Присоединиться

Мы подготовили для вас ответ c подробным объяснением домашего задания по алгебре за 10 класс, для упражнения номер 5 расположенного на странице 4 к учебнику 2019 года издания для учащихся школ и гимназий.

Теперь на нашем сайте ГДЗ.ТОП вы всегда легко и бесплатно найдёте условие с правильным ответом на вопрос «Как решить ДЗ» и «Как сделать» задание по алгебре к упражнению №5 (с. 4), авторов: Арефьева (Ирина Глебовна), Пирютко (Ольга Николаевна), учебного пособия издательства Народная асвета.