Номер 1.126, страница 50 - гдз по алгебре 10 класс учебник Арефьева, Пирютко

Алгебра, 10 класс Учебник, авторы: Арефьева Ирина Глебовна, Пирютко Ольга Николаевна, издательство Народная асвета, Минск, 2019, голубого цвета

Авторы: Арефьева И. Г., Пирютко О. Н.

Тип: Учебник

Издательство: Народная асвета

Год издания: 2019 - 2025

Цвет обложки: голубой с графиком

Допущено Министерством образования Республики Беларусь

Популярные ГДЗ в 10 классе

Глава 1. Тригонометрия. Параграф 4. Соотношения между синусом, косинусом, тангенсом и котангенсом одного и того же угла (тригонометрические тождества) - номер 1.126, страница 50.

№1.126 (с. 50)
Условие. №1.126 (с. 50)
скриншот условия
Алгебра, 10 класс Учебник, авторы: Арефьева Ирина Глебовна, Пирютко Ольга Николаевна, издательство Народная асвета, Минск, 2019, голубого цвета, страница 50, номер 1.126, Условие

1.126. Упростите выражение:

а) $1 - \sin^2 \alpha;$

б) $\cos^2 \alpha - 1;$

в) $2\sin^2 \alpha + 2\cos^2 \alpha - 7;$

г) $\frac{2\sin^2 \alpha - 2}{1 - \cos^2 \alpha};$

д) $\cos \alpha \operatorname{tg} \alpha;$

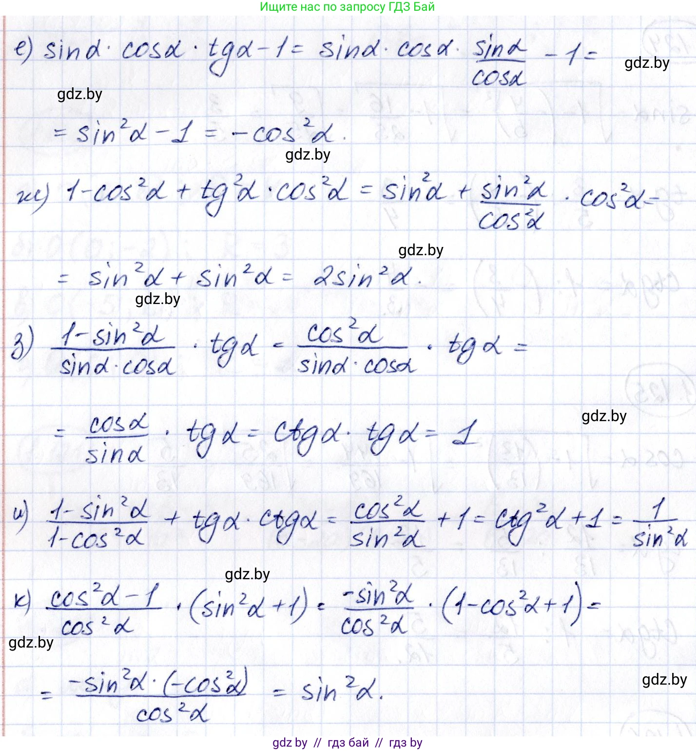
е) $\sin \alpha \cos \alpha \operatorname{tg} \alpha - 1;$

ж) $1 - \cos^2 \alpha + \operatorname{tg}^2 \alpha \cos^2 \alpha;$

з) $\frac{1 - \sin^2 \alpha}{\sin \alpha \cos \alpha} \cdot \operatorname{tg} \alpha;$

и) $\frac{1 - \sin^2 \alpha}{1 - \cos^2 \alpha} + \operatorname{tg} \alpha \operatorname{ctg} \alpha;$

к) $\frac{\cos^2 \alpha - 1}{\cos^2 \alpha} \cdot (\sin^2 \alpha + 1).$

Решение. №1.126 (с. 50)
Алгебра, 10 класс Учебник, авторы: Арефьева Ирина Глебовна, Пирютко Ольга Николаевна, издательство Народная асвета, Минск, 2019, голубого цвета, страница 50, номер 1.126, Решение Алгебра, 10 класс Учебник, авторы: Арефьева Ирина Глебовна, Пирютко Ольга Николаевна, издательство Народная асвета, Минск, 2019, голубого цвета, страница 50, номер 1.126, Решение (продолжение 2)
Решение 2. №1.126 (с. 50)

а) $1 - \sin^2 \alpha$

Для упрощения данного выражения воспользуемся основным тригонометрическим тождеством: $\sin^2 \alpha + \cos^2 \alpha = 1$.
Из этого тождества следует, что $1 - \sin^2 \alpha = \cos^2 \alpha$.
Таким образом, исходное выражение равно $\cos^2 \alpha$.

Ответ: $\cos^2 \alpha$.

б) $\cos^2 \alpha - 1$

Снова используем основное тригонометрическое тождество $\sin^2 \alpha + \cos^2 \alpha = 1$.
Перенесем 1 влево, а $\sin^2 \alpha$ вправо, изменив их знаки: $\cos^2 \alpha - 1 = -\sin^2 \alpha$.
Таким образом, выражение упрощается до $-\sin^2 \alpha$.

Ответ: $-\sin^2 \alpha$.

в) $2\sin^2 \alpha + 2\cos^2 \alpha - 7$

В первых двух слагаемых вынесем общий множитель 2 за скобки: $2(\sin^2 \alpha + \cos^2 \alpha) - 7$.
Применим основное тригонометрическое тождество $\sin^2 \alpha + \cos^2 \alpha = 1$: $2 \cdot 1 - 7 = 2 - 7 = -5$.

Ответ: $-5$.

г) $\frac{2\sin^2 \alpha - 2}{1 - \cos^2 \alpha}$

Упростим числитель и знаменатель дроби по отдельности.
Числитель: $2\sin^2 \alpha - 2 = 2(\sin^2 \alpha - 1)$. Из тождества $\sin^2 \alpha + \cos^2 \alpha = 1$ следует, что $\sin^2 \alpha - 1 = -\cos^2 \alpha$. Значит, числитель равен $2(-\cos^2 \alpha) = -2\cos^2 \alpha$.
Знаменатель: $1 - \cos^2 \alpha = \sin^2 \alpha$.
Подставим упрощенные выражения обратно в дробь: $\frac{-2\cos^2 \alpha}{\sin^2 \alpha}$.
Используя определение котангенса $\cot \alpha = \frac{\cos \alpha}{\sin \alpha}$, получаем: $-2\left(\frac{\cos \alpha}{\sin \alpha}\right)^2 = -2\cot^2 \alpha$.

Ответ: $-2\cot^2 \alpha$.

д) $\cos \alpha \operatorname{tg} \alpha$

Воспользуемся определением тангенса: $\operatorname{tg} \alpha = \frac{\sin \alpha}{\cos \alpha}$.
Подставим это в исходное выражение: $\cos \alpha \cdot \frac{\sin \alpha}{\cos \alpha}$.
При условии, что $\cos \alpha \neq 0$ (что является областью определения тангенса), мы можем сократить $\cos \alpha$ в числителе и знаменателе. В результате получаем $\sin \alpha$.

Ответ: $\sin \alpha$.

е) $\sin \alpha \cos \alpha \operatorname{tg} \alpha - 1$

Заменим тангенс по его определению $\operatorname{tg} \alpha = \frac{\sin \alpha}{\cos \alpha}$:
$\sin \alpha \cos \alpha \cdot \frac{\sin \alpha}{\cos \alpha} - 1$.
Сокращаем $\cos \alpha$: $\sin \alpha \cdot \sin \alpha - 1 = \sin^2 \alpha - 1$.
Из основного тригонометрического тождества $\sin^2 \alpha - 1 = -\cos^2 \alpha$.

Ответ: $-\cos^2 \alpha$.

ж) $1 - \cos^2 \alpha + \operatorname{tg}^2 \alpha \cos^2 \alpha$

Упростим выражение по частям.
Первая часть: $1 - \cos^2 \alpha = \sin^2 \alpha$ (из основного тождества).
Вторая часть: $\operatorname{tg}^2 \alpha \cos^2 \alpha$. Заменяем $\operatorname{tg}^2 \alpha$ на $\frac{\sin^2 \alpha}{\cos^2 \alpha}$: $\frac{\sin^2 \alpha}{\cos^2 \alpha} \cdot \cos^2 \alpha = \sin^2 \alpha$ (при $\cos \alpha \neq 0$).
Теперь сложим полученные результаты: $\sin^2 \alpha + \sin^2 \alpha = 2\sin^2 \alpha$.

Ответ: $2\sin^2 \alpha$.

з) $\frac{1 - \sin^2 \alpha}{\sin \alpha \cos \alpha} \cdot \operatorname{tg} \alpha$

Упростим числитель первой дроби: $1 - \sin^2 \alpha = \cos^2 \alpha$.
Выражение примет вид: $\frac{\cos^2 \alpha}{\sin \alpha \cos \alpha} \cdot \operatorname{tg} \alpha$.
Сократим $\cos \alpha$ в первой дроби, получив $\frac{\cos \alpha}{\sin \alpha}$.
Теперь заменим $\operatorname{tg} \alpha$ на $\frac{\sin \alpha}{\cos \alpha}$:
$\frac{\cos \alpha}{\sin \alpha} \cdot \frac{\sin \alpha}{\cos \alpha}$.
При условии, что $\sin \alpha \neq 0$ и $\cos \alpha \neq 0$, все множители сокращаются, и результат равен 1.

Ответ: $1$.

и) $\frac{1 - \sin^2 \alpha}{1 - \cos^2 \alpha} + \operatorname{tg} \alpha \operatorname{ctg} \alpha$

Рассмотрим каждое слагаемое отдельно.
Первое слагаемое: $\frac{1 - \sin^2 \alpha}{1 - \cos^2 \alpha} = \frac{\cos^2 \alpha}{\sin^2 \alpha} = \cot^2 \alpha$.
Второе слагаемое: $\operatorname{tg} \alpha \operatorname{ctg} \alpha = 1$.
Сложим результаты: $\cot^2 \alpha + 1$.
Используя тождество $1 + \cot^2 \alpha = \frac{1}{\sin^2 \alpha}$, получаем окончательный упрощенный вид.

Ответ: $\frac{1}{\sin^2 \alpha}$.

к) $\frac{\cos^2 \alpha - 1}{\cos^2 \alpha} \cdot (\sin^2 \alpha + 1)$

Упростим первый множитель.
Числитель дроби: $\cos^2 \alpha - 1 = -\sin^2 \alpha$.
Таким образом, дробь равна $\frac{-\sin^2 \alpha}{\cos^2 \alpha} = -\operatorname{tg}^2 \alpha$.
Теперь подставим это обратно в исходное выражение: $-\operatorname{tg}^2 \alpha \cdot (\sin^2 \alpha + 1)$.
Выражение $(\sin^2 \alpha + 1)$ дальнейшему упрощению стандартными тождествами не подлежит.

Ответ: $-\operatorname{tg}^2 \alpha (\sin^2 \alpha + 1)$.

Помогло решение? Оставьте отзыв в комментариях ниже.

Присоединяйтесь к Телеграм-группе @gdz_by_belarus

Присоединиться

Мы подготовили для вас ответ c подробным объяснением домашего задания по алгебре за 10 класс, для упражнения номер 1.126 расположенного на странице 50 к учебнику 2019 года издания для учащихся школ и гимназий.

Теперь на нашем сайте ГДЗ.ТОП вы всегда легко и бесплатно найдёте условие с правильным ответом на вопрос «Как решить ДЗ» и «Как сделать» задание по алгебре к упражнению №1.126 (с. 50), авторов: Арефьева (Ирина Глебовна), Пирютко (Ольга Николаевна), учебного пособия издательства Народная асвета.