Номер 1.180, страница 69 - гдз по алгебре 10 класс учебник Арефьева, Пирютко

Алгебра, 10 класс Учебник, авторы: Арефьева Ирина Глебовна, Пирютко Ольга Николаевна, издательство Народная асвета, Минск, 2019, голубого цвета

Авторы: Арефьева И. Г., Пирютко О. Н.

Тип: Учебник

Издательство: Народная асвета

Год издания: 2019 - 2025

Цвет обложки: голубой с графиком

Допущено Министерством образования Республики Беларусь

Популярные ГДЗ в 10 классе

Глава 1. Тригонометрия. Параграф 5. Функции у=sin(x) и y=cos(x). Их свойства и графики - номер 1.180, страница 69.

№1.180 (с. 69)
Условие. №1.180 (с. 69)
скриншот условия
Алгебра, 10 класс Учебник, авторы: Арефьева Ирина Глебовна, Пирютко Ольга Николаевна, издательство Народная асвета, Минск, 2019, голубого цвета, страница 69, номер 1.180, Условие

1.180. Найдите наибольшее и наименьшее значения функции:

а) $y = 5\cos 2x;$

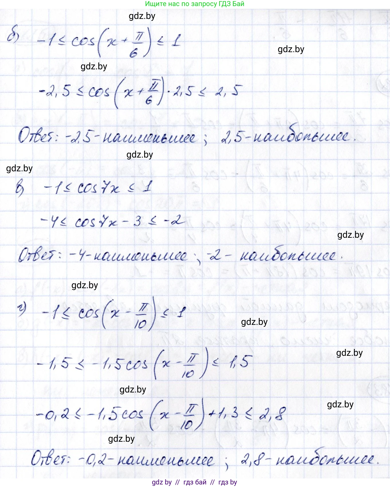
б) $y = 2,5\cos\left(x + \frac{\pi}{6}\right);$

в) $y = \cos 7x - 3;$

г) $y = -1,5\cos\left(x - \frac{\pi}{10}\right)+1,3.$

Решение. №1.180 (с. 69)
Алгебра, 10 класс Учебник, авторы: Арефьева Ирина Глебовна, Пирютко Ольга Николаевна, издательство Народная асвета, Минск, 2019, голубого цвета, страница 69, номер 1.180, Решение Алгебра, 10 класс Учебник, авторы: Арефьева Ирина Глебовна, Пирютко Ольга Николаевна, издательство Народная асвета, Минск, 2019, голубого цвета, страница 69, номер 1.180, Решение (продолжение 2)
Решение 2. №1.180 (с. 69)

а) Для нахождения наибольшего и наименьшего значений функции $y = 5\cos(2x)$ воспользуемся свойством ограниченности функции косинуса.

Область значений функции косинус находится в промежутке от -1 до 1, независимо от ее аргумента. Таким образом, для любого значения $x$ выполняется двойное неравенство:

$-1 \le \cos(2x) \le 1$

Чтобы найти область значений для функции $y$, умножим все части этого неравенства на 5. Так как 5 — положительное число, знаки неравенства сохраняются:

$5 \cdot (-1) \le 5\cos(2x) \le 5 \cdot 1$

$-5 \le y \le 5$

Следовательно, наибольшее значение функции равно 5, а наименьшее значение равно -5.

Ответ: наибольшее значение: 5; наименьшее значение: -5.

б) Рассмотрим функцию $y = 2,5\cos(x + \frac{\pi}{6})$.

Как и в предыдущем случае, значение косинуса находится в пределах от -1 до 1:

$-1 \le \cos(x + \frac{\pi}{6}) \le 1$

Умножим все части неравенства на 2,5. Это положительное число, поэтому знаки неравенства не меняются:

$2,5 \cdot (-1) \le 2,5\cos(x + \frac{\pi}{6}) \le 2,5 \cdot 1$

$-2,5 \le y \le 2,5$

Представим десятичные дроби в виде смешанных чисел. Наибольшее значение: $2,5 = \frac{5}{2} = 2\frac{1}{2}$. Наименьшее значение: $-2,5 = -\frac{5}{2} = -2\frac{1}{2}$.

Таким образом, наибольшее значение функции равно $2\frac{1}{2}$, а наименьшее значение равно $-2\frac{1}{2}$.

Ответ: наибольшее значение: $2\frac{1}{2}$; наименьшее значение: $-2\frac{1}{2}$.

в) Для функции $y = \cos(7x) - 3$.

Область значений для $\cos(7x)$ также от -1 до 1:

$-1 \le \cos(7x) \le 1$

Теперь вычтем 3 из каждой части этого двойного неравенства:

$-1 - 3 \le \cos(7x) - 3 \le 1 - 3$

$-4 \le y \le -2$

Следовательно, наибольшее значение функции равно -2, а наименьшее значение равно -4.

Ответ: наибольшее значение: -2; наименьшее значение: -4.

г) Рассмотрим функцию $y = -1,5\cos(x - \frac{\pi}{10}) + 1,3$.

Начнем с области значений косинуса:

$-1 \le \cos(x - \frac{\pi}{10}) \le 1$

Умножим неравенство на -1,5. Так как мы умножаем на отрицательное число, знаки неравенства меняются на противоположные:

$-1,5 \cdot (-1) \ge -1,5\cos(x - \frac{\pi}{10}) \ge -1,5 \cdot 1$

$1,5 \ge -1,5\cos(x - \frac{\pi}{10}) \ge -1,5$

Запишем это в более привычном виде, поменяв местами левую и правую части:

$-1,5 \le -1,5\cos(x - \frac{\pi}{10}) \le 1,5$

Теперь прибавим 1,3 ко всем частям неравенства:

$-1,5 + 1,3 \le -1,5\cos(x - \frac{\pi}{10}) + 1,3 \le 1,5 + 1,3$

$-0,2 \le y \le 2,8$

Преобразуем десятичные дроби. Наименьшее значение: $-0,2 = -\frac{2}{10} = -\frac{1}{5}$. Это правильная дробь.

Наибольшее значение: $2,8 = \frac{28}{10} = \frac{14}{5}$. Это неправильная дробь. Выделим целую часть: $\frac{14}{5} = 2\frac{4}{5}$.

Следовательно, наибольшее значение функции равно $2\frac{4}{5}$, а наименьшее значение равно $-\frac{1}{5}$.

Ответ: наибольшее значение: $2\frac{4}{5}$; наименьшее значение: $-\frac{1}{5}$.

Помогло решение? Оставьте отзыв в комментариях ниже.

Присоединяйтесь к Телеграм-группе @gdz_by_belarus

Присоединиться

Мы подготовили для вас ответ c подробным объяснением домашего задания по алгебре за 10 класс, для упражнения номер 1.180 расположенного на странице 69 к учебнику 2019 года издания для учащихся школ и гимназий.

Теперь на нашем сайте ГДЗ.ТОП вы всегда легко и бесплатно найдёте условие с правильным ответом на вопрос «Как решить ДЗ» и «Как сделать» задание по алгебре к упражнению №1.180 (с. 69), авторов: Арефьева (Ирина Глебовна), Пирютко (Ольга Николаевна), учебного пособия издательства Народная асвета.