Номер 1.239, страница 74 - гдз по алгебре 10 класс учебник Арефьева, Пирютко

Алгебра, 10 класс Учебник, авторы: Арефьева Ирина Глебовна, Пирютко Ольга Николаевна, издательство Народная асвета, Минск, 2019, голубого цвета

Авторы: Арефьева И. Г., Пирютко О. Н.

Тип: Учебник

Издательство: Народная асвета

Год издания: 2019 - 2025

Цвет обложки: голубой с графиком

Допущено Министерством образования Республики Беларусь

Популярные ГДЗ в 10 классе

Глава 1. Тригонометрия. Параграф 5. Функции у=sin(x) и y=cos(x). Их свойства и графики - номер 1.239, страница 74.

№1.239 (с. 74)
Условие. №1.239 (с. 74)
скриншот условия
Алгебра, 10 класс Учебник, авторы: Арефьева Ирина Глебовна, Пирютко Ольга Николаевна, издательство Народная асвета, Минск, 2019, голубого цвета, страница 74, номер 1.239, Условие

1.239. Не выполняя построений, найдите область определения и множество значений функции:

a) $y = 4\cos\left(x + \frac{\pi}{6}\right) - 3;$

б) $y = \frac{1}{2}\sin\left(x - \frac{\pi}{4}\right) + 1,5.$

Решение. №1.239 (с. 74)
Алгебра, 10 класс Учебник, авторы: Арефьева Ирина Глебовна, Пирютко Ольга Николаевна, издательство Народная асвета, Минск, 2019, голубого цвета, страница 74, номер 1.239, Решение Алгебра, 10 класс Учебник, авторы: Арефьева Ирина Глебовна, Пирютко Ольга Николаевна, издательство Народная асвета, Минск, 2019, голубого цвета, страница 74, номер 1.239, Решение (продолжение 2)
Решение 2. №1.239 (с. 74)

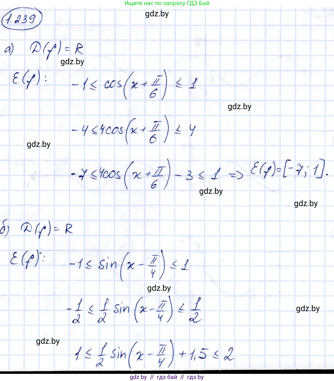
а) Для функции $y = 4\cos(x + \frac{\pi}{6}) - 3$ найдем область определения и множество значений.

Область определения $D(y)$:
Функция косинус, $\cos(t)$, определена для всех действительных значений своего аргумента $t$. В данном случае аргументом является выражение $x + \frac{\pi}{6}$. Это выражение имеет смысл при любых действительных значениях $x$. Следовательно, никаких ограничений на переменную $x$ не накладывается. Таким образом, область определения функции — это множество всех действительных чисел. $D(y) = (-\infty; +\infty)$ или $D(y) = \mathbb{R}$.

Множество значений $E(y)$:
Множество значений стандартной функции косинуса — это отрезок $[-1; 1]$. Это означает, что для любого аргумента $t$ выполняется неравенство: $$-1 \le \cos(t) \le 1$$ Для нашей функции это неравенство принимает вид: $$-1 \le \cos(x + \frac{\pi}{6}) \le 1$$ Чтобы найти множество значений для $y$, применим к этому неравенству все преобразования, указанные в формуле функции, сохраняя порядок действий:

  1. Умножим все части двойного неравенства на 4: $$4 \cdot (-1) \le 4\cos(x + \frac{\pi}{6}) \le 4 \cdot 1$$ $$-4 \le 4\cos(x + \frac{\pi}{6}) \le 4$$
  2. Вычтем 3 из всех частей неравенства: $$-4 - 3 \le 4\cos(x + \frac{\pi}{6}) - 3 \le 4 - 3$$ $$-7 \le y \le 1$$

Следовательно, множество значений функции $y$ — это все числа из отрезка $[-7; 1]$.
$E(y) = [-7; 1]$.
Ответ: а) Область определения $D(y) = (-\infty; +\infty)$, множество значений $E(y) = [-7; 1]$.


б) Для функции $y = \frac{1}{2}\sin(x - \frac{\pi}{4}) + 1,5$ найдем область определения и множество значений.

Область определения $D(y)$:
Функция синус, $\sin(t)$, определена для всех действительных значений своего аргумента $t$. Аргумент нашей функции, $x - \frac{\pi}{4}$, определен для любых действительных $x$. Следовательно, область определения данной функции — это множество всех действительных чисел. $D(y) = (-\infty; +\infty)$ или $D(y) = \mathbb{R}$.

Множество значений $E(y)$:
Множество значений стандартной функции синуса — это отрезок $[-1; 1]$. Таким образом, справедливо неравенство: $$-1 \le \sin(x - \frac{\pi}{4}) \le 1$$ Выполним последовательные преобразования этого неравенства:

  1. Умножим все части неравенства на $\frac{1}{2}$: $$\frac{1}{2} \cdot (-1) \le \frac{1}{2}\sin(x - \frac{\pi}{4}) \le \frac{1}{2} \cdot 1$$ $$-\frac{1}{2} \le \frac{1}{2}\sin(x - \frac{\pi}{4}) \le \frac{1}{2}$$
  2. Прибавим ко всем частям число $1,5$. Представим $1,5$ в виде неправильной дроби $\frac{3}{2}$ и выделим целую часть: $1,5 = \frac{3}{2} = 1\frac{1}{2}$. $$-\frac{1}{2} + 1\frac{1}{2} \le \frac{1}{2}\sin(x - \frac{\pi}{4}) + 1\frac{1}{2} \le \frac{1}{2} + 1\frac{1}{2}$$ Выполним вычисления:
    • Левая часть: $-\frac{1}{2} + 1\frac{1}{2} = -\frac{1}{2} + \frac{3}{2} = \frac{-1+3}{2} = \frac{2}{2} = 1$
    • Правая часть: $\frac{1}{2} + 1\frac{1}{2} = \frac{1}{2} + \frac{3}{2} = \frac{1+3}{2} = \frac{4}{2} = 2$
    В результате получаем: $$1 \le y \le 2$$

Следовательно, множество значений функции $y$ — это все числа из отрезка $[1; 2]$.
$E(y) = [1; 2]$.
Ответ: б) Область определения $D(y) = (-\infty; +\infty)$, множество значений $E(y) = [1; 2]$.

Помогло решение? Оставьте отзыв в комментариях ниже.

Присоединяйтесь к Телеграм-группе @gdz_by_belarus

Присоединиться

Мы подготовили для вас ответ c подробным объяснением домашего задания по алгебре за 10 класс, для упражнения номер 1.239 расположенного на странице 74 к учебнику 2019 года издания для учащихся школ и гимназий.

Теперь на нашем сайте ГДЗ.ТОП вы всегда легко и бесплатно найдёте условие с правильным ответом на вопрос «Как решить ДЗ» и «Как сделать» задание по алгебре к упражнению №1.239 (с. 74), авторов: Арефьева (Ирина Глебовна), Пирютко (Ольга Николаевна), учебного пособия издательства Народная асвета.