Номер 1.318, страница 97 - гдз по алгебре 10 класс учебник Арефьева, Пирютко

Алгебра, 10 класс Учебник, авторы: Арефьева Ирина Глебовна, Пирютко Ольга Николаевна, издательство Народная асвета, Минск, 2019, голубого цвета

Авторы: Арефьева И. Г., Пирютко О. Н.

Тип: Учебник

Издательство: Народная асвета

Год издания: 2019 - 2025

Цвет обложки: голубой с графиком

Допущено Министерством образования Республики Беларусь

Популярные ГДЗ в 10 классе

Глава 1. Тригонометрия. Параграф 7. Арксинус, арккосинус, арктангенс и арккотангенс числа - номер 1.318, страница 97.

№1.318 (с. 97)
Условие. №1.318 (с. 97)
скриншот условия
Алгебра, 10 класс Учебник, авторы: Арефьева Ирина Глебовна, Пирютко Ольга Николаевна, издательство Народная асвета, Минск, 2019, голубого цвета, страница 97, номер 1.318, Условие

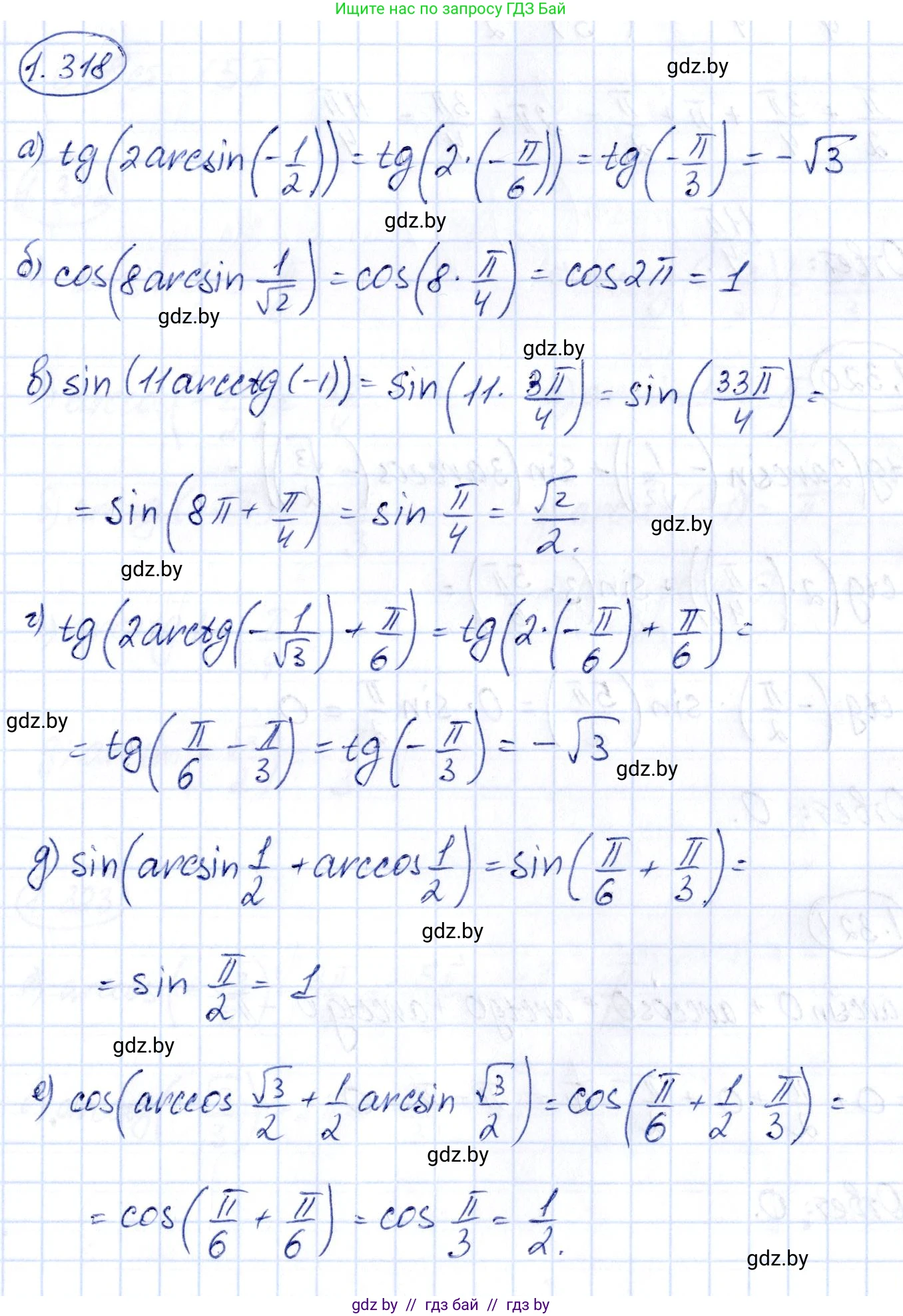
1.318. Установите порядок действий и найдите значение выражения:

а) $\operatorname{tg}\left(2\arcsin\left(-\frac{1}{2}\right)\right);$

б) $\cos\left(8\arcsin\frac{1}{\sqrt{2}}\right);$

в) $\sin\left(11\operatorname{arcctg}\left(-1\right)\right);$

г) $\operatorname{tg}\left(2\operatorname{arctg}\left(-\frac{1}{\sqrt{3}}\right)+\frac{\pi}{6}\right);$

д) $\sin\left(\arcsin\frac{1}{2}+\arccos\frac{1}{2}\right);$

е) $\cos\left(\arccos\frac{\sqrt{3}}{2}+\frac{1}{2}\arcsin\frac{\sqrt{3}}{2}\right).$

Решение. №1.318 (с. 97)
Алгебра, 10 класс Учебник, авторы: Арефьева Ирина Глебовна, Пирютко Ольга Николаевна, издательство Народная асвета, Минск, 2019, голубого цвета, страница 97, номер 1.318, Решение
Решение 2. №1.318 (с. 97)

а) Для нахождения значения выражения $tg(2\arcsin(-\frac{1}{2}))$ установим следующий порядок действий:

  1. Сначала вычислим значение выражения в скобках, а именно аркфункцию. Значение $\arcsin(x)$ по определению находится в промежутке $[-\frac{\pi}{2}, \frac{\pi}{2}]$. Угол из этого промежутка, синус которого равен $-\frac{1}{2}$, это $-\frac{\pi}{6}$. $$ \arcsin\left(-\frac{1}{2}\right) = -\frac{\pi}{6} $$
  2. Теперь подставим это значение в исходное выражение и умножим на 2: $$ 2 \cdot \left(-\frac{\pi}{6}\right) = -\frac{2\pi}{6} = -\frac{\pi}{3} $$
  3. Наконец, вычислим тангенс полученного угла. Используя свойство нечетности функции тангенса ($tg(-x) = -tg(x)$): $$ tg\left(-\frac{\pi}{3}\right) = -tg\left(\frac{\pi}{3}\right) = -\sqrt{3} $$

Ответ: $-\sqrt{3}$.

б) Для нахождения значения выражения $cos(8\arcsin\frac{1}{\sqrt{2}})$ установим следующий порядок действий:

  1. Вычислим значение арксинуса. Предварительно можно рационализировать дробь: $\frac{1}{\sqrt{2}} = \frac{\sqrt{2}}{2}$. Значение $\arcsin(x)$ находится в промежутке $[-\frac{\pi}{2}, \frac{\pi}{2}]$. Угол из этого промежутка, синус которого равен $\frac{\sqrt{2}}{2}$, это $\frac{\pi}{4}$. $$ \arcsin\left(\frac{1}{\sqrt{2}}\right) = \frac{\pi}{4} $$
  2. Подставим это значение в выражение и умножим на 8: $$ 8 \cdot \frac{\pi}{4} = \frac{8\pi}{4} = 2\pi $$
  3. Вычислим косинус полученного угла. Учитывая, что период косинуса равен $2\pi$: $$ cos(2\pi) = 1 $$

Ответ: 1.

в) Для нахождения значения выражения $sin(11\arcctg(-1))$ установим следующий порядок действий:

  1. Вычислим значение арккотангенса. Значение $\arcctg(x)$ по определению находится в промежутке $(0, \pi)$. Угол из этого промежутка, котангенс которого равен $-1$, это $\frac{3\pi}{4}$. $$ \arcctg(-1) = \frac{3\pi}{4} $$
  2. Подставим это значение в выражение и умножим на 11: $$ 11 \cdot \frac{3\pi}{4} = \frac{33\pi}{4} $$
  3. Вычислим синус полученного угла. Для этого упростим аргумент, выделив целое число периодов ($2\pi$). Дробь $\frac{33}{4}$ является неправильной, выделим из нее целую часть: $\frac{33}{4} = 8\frac{1}{4}$. $$ \frac{33\pi}{4} = \left(8 + \frac{1}{4}\right)\pi = 8\pi + \frac{\pi}{4} $$ Тогда, используя периодичность синуса: $$ sin\left(\frac{33\pi}{4}\right) = sin\left(8\pi + \frac{\pi}{4}\right) = sin\left(\frac{\pi}{4}\right) $$
  4. Найдем значение синуса: $$ sin\left(\frac{\pi}{4}\right) = \frac{\sqrt{2}}{2} $$

Ответ: $\frac{\sqrt{2}}{2}$.

г) Для нахождения значения выражения $tg(2\arctg(-\frac{1}{\sqrt{3}}) + \frac{\pi}{6})$ установим следующий порядок действий:

  1. Вычислим значение арктангенса. Значение $\arctg(x)$ находится в промежутке $(-\frac{\pi}{2}, \frac{\pi}{2})$. Угол из этого промежутка, тангенс которого равен $-\frac{1}{\sqrt{3}}$, это $-\frac{\pi}{6}$. $$ \arctg\left(-\frac{1}{\sqrt{3}}\right) = -\frac{\pi}{6} $$
  2. Подставим полученное значение в аргумент внешнего тангенса и выполним вычисления: $$ 2 \cdot \left(-\frac{\pi}{6}\right) + \frac{\pi}{6} = -\frac{2\pi}{6} + \frac{\pi}{6} = -\frac{\pi}{6} $$
  3. Вычислим тангенс полученного угла: $$ tg\left(-\frac{\pi}{6}\right) = -tg\left(\frac{\pi}{6}\right) = -\frac{1}{\sqrt{3}} = -\frac{\sqrt{3}}{3} $$

Ответ: $-\frac{\sqrt{3}}{3}$.

д) Для нахождения значения выражения $sin(\arcsin\frac{1}{2} + \arccos\frac{1}{2})$ установим следующий порядок действий:

  1. Воспользуемся основным тождеством для обратных тригонометрических функций: $$ \arcsin(x) + \arccos(x) = \frac{\pi}{2} $$ Это тождество справедливо для всех $x \in [-1, 1]$.
  2. В данном случае $x = \frac{1}{2}$, что входит в область определения тождества. Следовательно: $$ \arcsin\left(\frac{1}{2}\right) + \arccos\left(\frac{1}{2}\right) = \frac{\pi}{2} $$
  3. Подставим полученное значение в исходное выражение: $$ sin\left(\frac{\pi}{2}\right) $$
  4. Вычислим значение синуса: $$ sin\left(\frac{\pi}{2}\right) = 1 $$

Ответ: 1.

е) Для нахождения значения выражения $cos(\arccos\frac{\sqrt{3}}{2} + \frac{1}{2}\arcsin\frac{\sqrt{3}}{2})$ установим следующий порядок действий:

  1. Вычислим значение арккосинуса. Значение $\arccos(x)$ находится в промежутке $[0, \pi]$. Угол из этого промежутка, косинус которого равен $\frac{\sqrt{3}}{2}$, это $\frac{\pi}{6}$. $$ \arccos\left(\frac{\sqrt{3}}{2}\right) = \frac{\pi}{6} $$
  2. Вычислим значение арксинуса. Значение $\arcsin(x)$ находится в промежутке $[-\frac{\pi}{2}, \frac{\pi}{2}]$. Угол из этого промежутка, синус которого равен $\frac{\sqrt{3}}{2}$, это $\frac{\pi}{3}$. $$ \arcsin\left(\frac{\sqrt{3}}{2}\right) = \frac{\pi}{3} $$
  3. Подставим найденные значения в аргумент косинуса и выполним вычисления: $$ \frac{\pi}{6} + \frac{1}{2} \cdot \frac{\pi}{3} = \frac{\pi}{6} + \frac{\pi}{6} = \frac{2\pi}{6} = \frac{\pi}{3} $$
  4. Вычислим косинус полученного угла: $$ cos\left(\frac{\pi}{3}\right) = \frac{1}{2} $$

Ответ: $\frac{1}{2}$.

Помогло решение? Оставьте отзыв в комментариях ниже.

Присоединяйтесь к Телеграм-группе @gdz_by_belarus

Присоединиться

Мы подготовили для вас ответ c подробным объяснением домашего задания по алгебре за 10 класс, для упражнения номер 1.318 расположенного на странице 97 к учебнику 2019 года издания для учащихся школ и гимназий.

Теперь на нашем сайте ГДЗ.ТОП вы всегда легко и бесплатно найдёте условие с правильным ответом на вопрос «Как решить ДЗ» и «Как сделать» задание по алгебре к упражнению №1.318 (с. 97), авторов: Арефьева (Ирина Глебовна), Пирютко (Ольга Николаевна), учебного пособия издательства Народная асвета.