Номер 1.418, страница 137 - гдз по алгебре 10 класс учебник Арефьева, Пирютко

Алгебра, 10 класс Учебник, авторы: Арефьева Ирина Глебовна, Пирютко Ольга Николаевна, издательство Народная асвета, Минск, 2019, голубого цвета

Авторы: Арефьева И. Г., Пирютко О. Н.

Тип: Учебник

Издательство: Народная асвета

Год издания: 2019 - 2025

Цвет обложки: голубой с графиком

Допущено Министерством образования Республики Беларусь

Популярные ГДЗ в 10 классе

Глава 1. Тригонометрия. Параграф 10. Синус, косинус, тангенс суммы и разности - номер 1.418, страница 137.

№1.418 (с. 137)
Условие. №1.418 (с. 137)
скриншот условия
Алгебра, 10 класс Учебник, авторы: Арефьева Ирина Глебовна, Пирютко Ольга Николаевна, издательство Народная асвета, Минск, 2019, голубого цвета, страница 137, номер 1.418, Условие

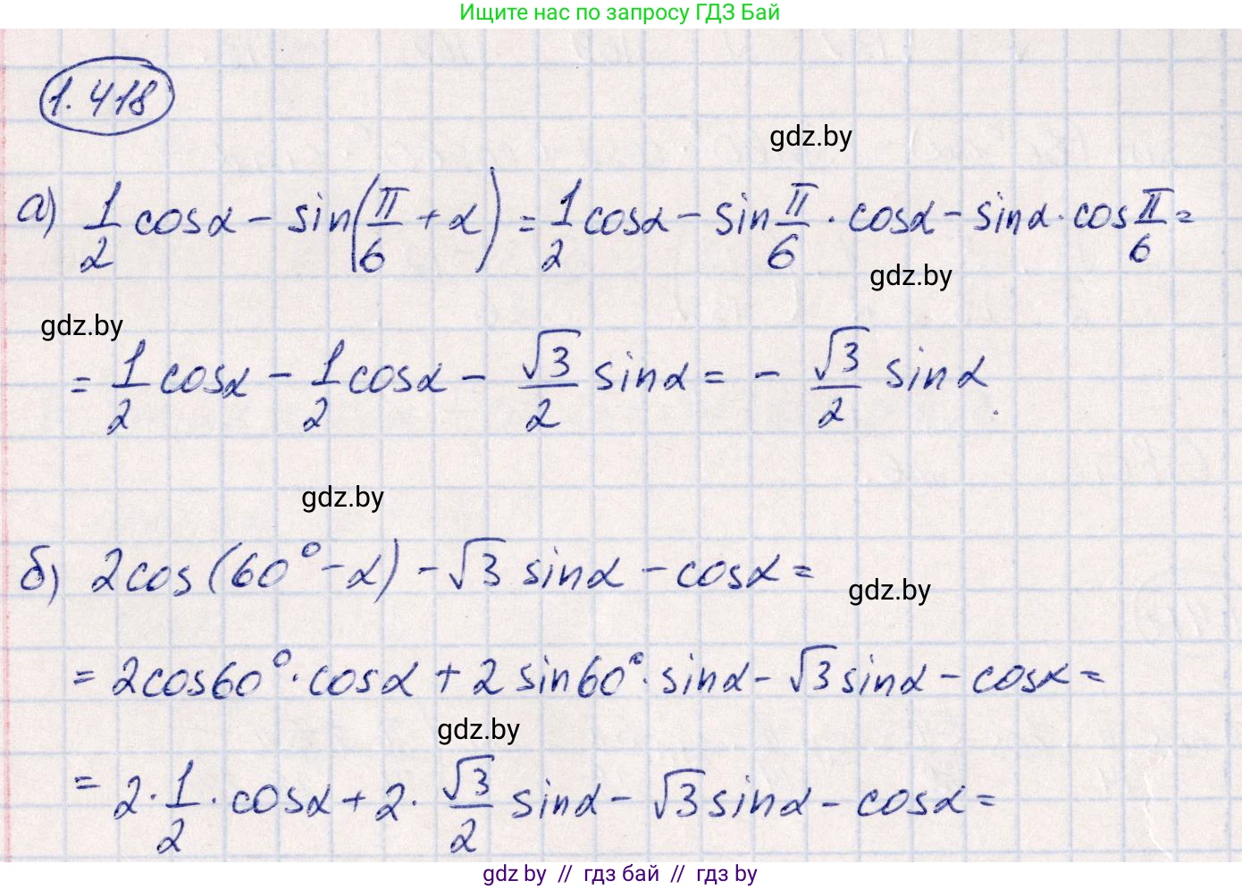
1.418. Упростите выражение, используя формулы сложения и значения тригонометрических функций:

a) $\frac{1}{2} \cos \alpha - \sin\left(\frac{\pi}{6} + \alpha\right)$;

б) $2\cos(60^\circ - \alpha) - \sqrt{3} \sin \alpha - \cos \alpha$.

Решение. №1.418 (с. 137)
Алгебра, 10 класс Учебник, авторы: Арефьева Ирина Глебовна, Пирютко Ольга Николаевна, издательство Народная асвета, Минск, 2019, голубого цвета, страница 137, номер 1.418, Решение Алгебра, 10 класс Учебник, авторы: Арефьева Ирина Глебовна, Пирютко Ольга Николаевна, издательство Народная асвета, Минск, 2019, голубого цвета, страница 137, номер 1.418, Решение (продолжение 2)
Решение 2. №1.418 (с. 137)

а) Для упрощения выражения $\frac{1}{2}\cos\alpha - \sin(\frac{\pi}{6} + \alpha)$ воспользуемся формулой синуса суммы:
$\sin(x+y) = \sin x \cos y + \cos x \sin y$.
Применим эту формулу к члену $\sin(\frac{\pi}{6} + \alpha)$:
$\sin(\frac{\pi}{6} + \alpha) = \sin(\frac{\pi}{6})\cos\alpha + \cos(\frac{\pi}{6})\sin\alpha$.
Подставим известные значения тригонометрических функций для угла $\frac{\pi}{6}$ ($30^\circ$):
$\sin(\frac{\pi}{6}) = \frac{1}{2}$
$\cos(\frac{\pi}{6}) = \frac{\sqrt{3}}{2}$
Таким образом, получаем:
$\sin(\frac{\pi}{6} + \alpha) = \frac{1}{2}\cos\alpha + \frac{\sqrt{3}}{2}\sin\alpha$.
Теперь подставим это выражение в исходное:
$\frac{1}{2}\cos\alpha - \sin(\frac{\pi}{6} + \alpha) = \frac{1}{2}\cos\alpha - \left(\frac{1}{2}\cos\alpha + \frac{\sqrt{3}}{2}\sin\alpha\right)$.
Раскроем скобки и приведем подобные слагаемые:
$\frac{1}{2}\cos\alpha - \frac{1}{2}\cos\alpha - \frac{\sqrt{3}}{2}\sin\alpha = -\frac{\sqrt{3}}{2}\sin\alpha$.
Ответ: $-\frac{\sqrt{3}}{2}\sin\alpha$.

б) Для упрощения выражения $2\cos(60^\circ - \alpha) - \sqrt{3}\sin\alpha - \cos\alpha$ воспользуемся формулой косинуса разности:
$\cos(x-y) = \cos x \cos y + \sin x \sin y$.
Применим эту формулу к члену $\cos(60^\circ - \alpha)$:
$\cos(60^\circ - \alpha) = \cos(60^\circ)\cos\alpha + \sin(60^\circ)\sin\alpha$.
Подставим известные значения тригонометрических функций для угла $60^\circ$:
$\cos(60^\circ) = \frac{1}{2}$
$\sin(60^\circ) = \frac{\sqrt{3}}{2}$
Таким образом, получаем:
$\cos(60^\circ - \alpha) = \frac{1}{2}\cos\alpha + \frac{\sqrt{3}}{2}\sin\alpha$.
Теперь подставим это выражение в исходное:
$2\cos(60^\circ - \alpha) - \sqrt{3}\sin\alpha - \cos\alpha = 2\left(\frac{1}{2}\cos\alpha + \frac{\sqrt{3}}{2}\sin\alpha\right) - \sqrt{3}\sin\alpha - \cos\alpha$.
Раскроем скобки:
$2 \cdot \frac{1}{2}\cos\alpha + 2 \cdot \frac{\sqrt{3}}{2}\sin\alpha - \sqrt{3}\sin\alpha - \cos\alpha = \cos\alpha + \sqrt{3}\sin\alpha - \sqrt{3}\sin\alpha - \cos\alpha$.
Приведем подобные слагаемые:
$(\cos\alpha - \cos\alpha) + (\sqrt{3}\sin\alpha - \sqrt{3}\sin\alpha) = 0 + 0 = 0$.
Ответ: 0.

Помогло решение? Оставьте отзыв в комментариях ниже.

Присоединяйтесь к Телеграм-группе @gdz_by_belarus

Присоединиться

Мы подготовили для вас ответ c подробным объяснением домашего задания по алгебре за 10 класс, для упражнения номер 1.418 расположенного на странице 137 к учебнику 2019 года издания для учащихся школ и гимназий.

Теперь на нашем сайте ГДЗ.ТОП вы всегда легко и бесплатно найдёте условие с правильным ответом на вопрос «Как решить ДЗ» и «Как сделать» задание по алгебре к упражнению №1.418 (с. 137), авторов: Арефьева (Ирина Глебовна), Пирютко (Ольга Николаевна), учебного пособия издательства Народная асвета.