Номер 1.447, страница 140 - гдз по алгебре 10 класс учебник Арефьева, Пирютко

Алгебра, 10 класс Учебник, авторы: Арефьева Ирина Глебовна, Пирютко Ольга Николаевна, издательство Народная асвета, Минск, 2019, голубого цвета

Авторы: Арефьева И. Г., Пирютко О. Н.

Тип: Учебник

Издательство: Народная асвета

Год издания: 2019 - 2025

Цвет обложки: голубой с графиком

Допущено Министерством образования Республики Беларусь

Популярные ГДЗ в 10 классе

Глава 1. Тригонометрия. Параграф 10. Синус, косинус, тангенс суммы и разности - номер 1.447, страница 140.

№1.447 (с. 140)
Условие. №1.447 (с. 140)
скриншот условия
Алгебра, 10 класс Учебник, авторы: Арефьева Ирина Глебовна, Пирютко Ольга Николаевна, издательство Народная асвета, Минск, 2019, голубого цвета, страница 140, номер 1.447, Условие

1.447. Решите уравнение, приведя его с помощью формул сложения к простейшему:

a) $\cos 4x \cos 3x + \sin 4x \sin 3x = 1$;

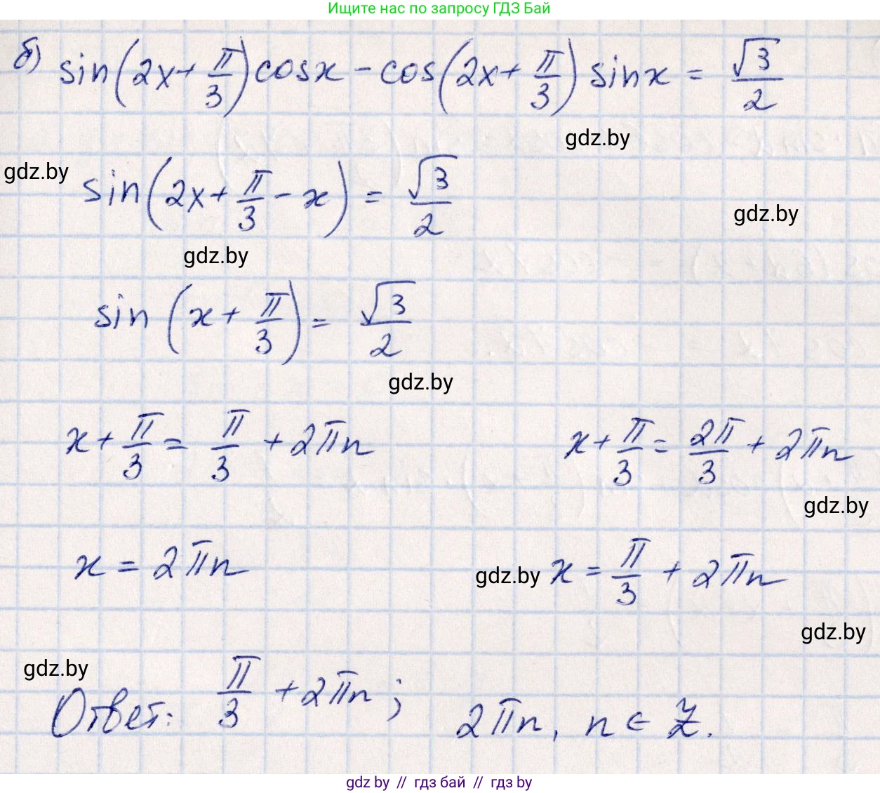
б) $\sin \left(2x + \frac{\pi}{3}\right) \cos x - \cos \left(2x + \frac{\pi}{3}\right) \sin x = \frac{\sqrt{3}}{2}$.

Решение. №1.447 (с. 140)
Алгебра, 10 класс Учебник, авторы: Арефьева Ирина Глебовна, Пирютко Ольга Николаевна, издательство Народная асвета, Минск, 2019, голубого цвета, страница 140, номер 1.447, Решение Алгебра, 10 класс Учебник, авторы: Арефьева Ирина Глебовна, Пирютко Ольга Николаевна, издательство Народная асвета, Минск, 2019, голубого цвета, страница 140, номер 1.447, Решение (продолжение 2)
Решение 2. №1.447 (с. 140)

а) Исходное уравнение: $cos4x \cdot cos3x + sin4x \cdot sin3x = 1$.

Левая часть этого уравнения соответствует формуле косинуса разности двух углов: $cos(\alpha - \beta) = cos\alpha \cdot cos\beta + sin\alpha \cdot sin\beta$.

Применим эту формулу к нашему уравнению, где $\alpha = 4x$ и $\beta = 3x$:

$cos(4x - 3x) = 1$

Упростим выражение в скобках:

$cosx = 1$

Это простейшее тригонометрическое уравнение. Решение для данного частного случая, когда косинус равен 1, имеет вид:

$x = 2\pi n$, где $n \in Z$ (Z - множество целых чисел).

Ответ: $x = 2\pi n, n \in Z$.

б) Исходное уравнение: $sin(2x + \frac{\pi}{3})cosx - cos(2x + \frac{\pi}{3})sinx = \frac{\sqrt{3}}{2}$.

Левая часть этого уравнения соответствует формуле синуса разности двух углов: $sin(\alpha - \beta) = sin\alpha \cdot cos\beta - cos\alpha \cdot sin\beta$.

Применим эту формулу, где $\alpha = 2x + \frac{\pi}{3}$ и $\beta = x$:

$sin((2x + \frac{\pi}{3}) - x) = \frac{\sqrt{3}}{2}$

Упростим выражение в скобках:

$sin(x + \frac{\pi}{3}) = \frac{\sqrt{3}}{2}$

Для решения этого уравнения воспользуемся общей формулой для $sin(t) = a$: $t = (-1)^k \cdot arcsin(a) + \pi k$, где $k \in Z$.

В нашем случае $t = x + \frac{\pi}{3}$ и $a = \frac{\sqrt{3}}{2}$. Значение арксинуса: $arcsin(\frac{\sqrt{3}}{2}) = \frac{\pi}{3}$.

Подставляем значения в общую формулу:

$x + \frac{\pi}{3} = (-1)^k \frac{\pi}{3} + \pi k, k \in Z$

Теперь выразим $x$, перенеся $\frac{\pi}{3}$ в правую часть:

$x = (-1)^k \frac{\pi}{3} - \frac{\pi}{3} + \pi k, k \in Z$

Чтобы получить более наглядные серии решений, рассмотрим два случая для $k$:

1. Если $k$ — четное число ($k = 2n$, где $n \in Z$):

$x = (-1)^{2n} \frac{\pi}{3} - \frac{\pi}{3} + \pi(2n) = \frac{\pi}{3} - \frac{\pi}{3} + 2\pi n = 2\pi n$

2. Если $k$ — нечетное число ($k = 2n + 1$, где $n \in Z$):

$x = (-1)^{2n+1} \frac{\pi}{3} - \frac{\pi}{3} + \pi(2n+1) = -\frac{\pi}{3} - \frac{\pi}{3} + 2\pi n + \pi = -\frac{2\pi}{3} + \pi + 2\pi n = \frac{\pi}{3} + 2\pi n$

Таким образом, мы имеем две серии решений.

Ответ: $x = 2\pi n, n \in Z$; $x = \frac{\pi}{3} + 2\pi n, n \in Z$.

Помогло решение? Оставьте отзыв в комментариях ниже.

Присоединяйтесь к Телеграм-группе @gdz_by_belarus

Присоединиться

Мы подготовили для вас ответ c подробным объяснением домашего задания по алгебре за 10 класс, для упражнения номер 1.447 расположенного на странице 140 к учебнику 2019 года издания для учащихся школ и гимназий.

Теперь на нашем сайте ГДЗ.ТОП вы всегда легко и бесплатно найдёте условие с правильным ответом на вопрос «Как решить ДЗ» и «Как сделать» задание по алгебре к упражнению №1.447 (с. 140), авторов: Арефьева (Ирина Глебовна), Пирютко (Ольга Николаевна), учебного пособия издательства Народная асвета.