Номер 1.489, страница 149 - гдз по алгебре 10 класс учебник Арефьева, Пирютко

Алгебра, 10 класс Учебник, авторы: Арефьева Ирина Глебовна, Пирютко Ольга Николаевна, издательство Народная асвета, Минск, 2019, голубого цвета

Авторы: Арефьева И. Г., Пирютко О. Н.

Тип: Учебник

Издательство: Народная асвета

Год издания: 2019 - 2025

Цвет обложки: голубой с графиком

Допущено Министерством образования Республики Беларусь

Популярные ГДЗ в 10 классе

Глава 1. Тригонометрия. Параграф 11. Формулы двойного аргумента - номер 1.489, страница 149.

№1.489 (с. 149)
Условие. №1.489 (с. 149)
скриншот условия
Алгебра, 10 класс Учебник, авторы: Арефьева Ирина Глебовна, Пирютко Ольга Николаевна, издательство Народная асвета, Минск, 2019, голубого цвета, страница 149, номер 1.489, Условие

1.489. Решите уравнение:

а) $\cos x \sin (-x) = \frac{1}{2\sqrt{2}}$;

б) $\cos 2x = 2 \sin x - 1,5$;

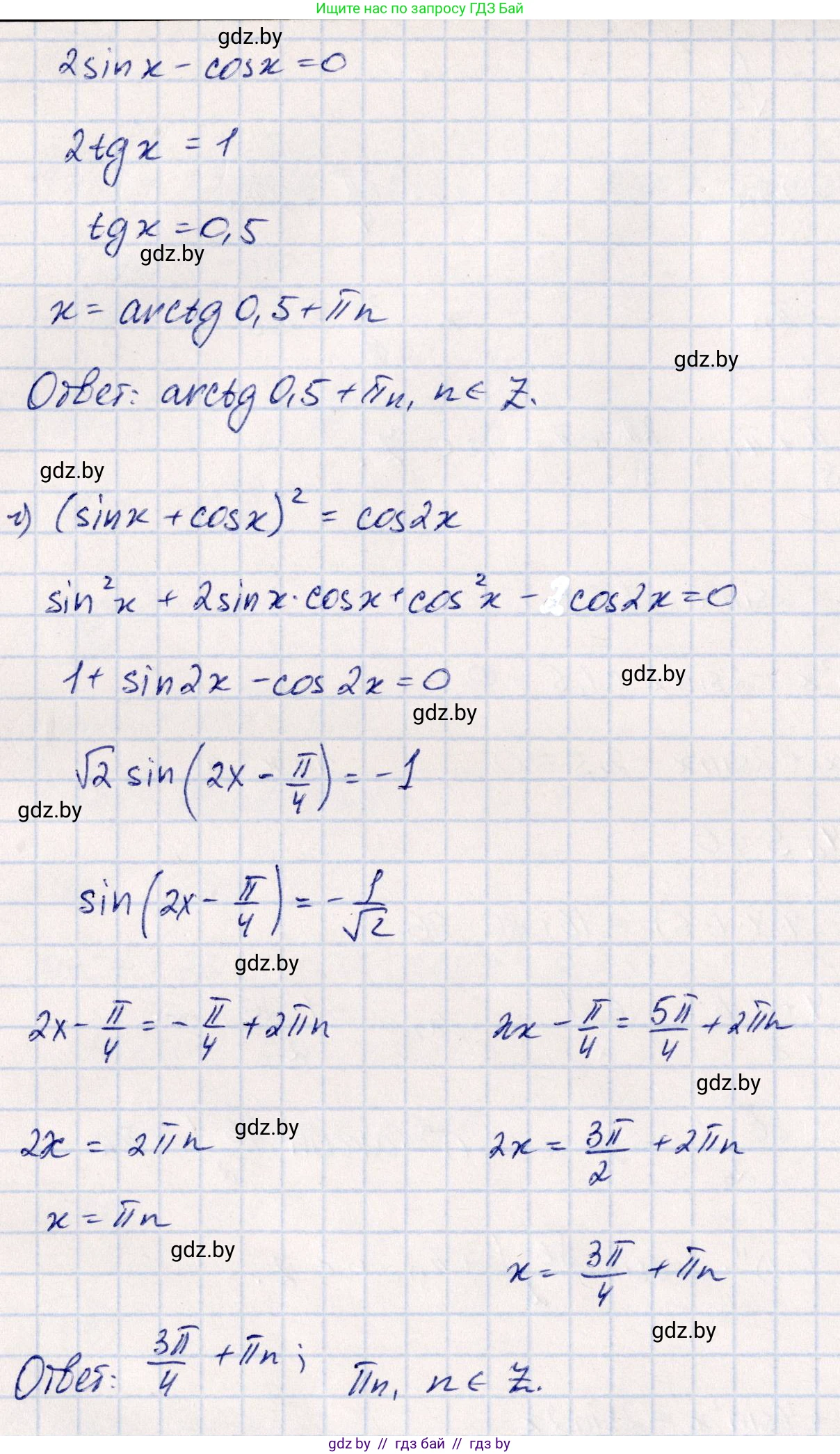
в) $\cos^2 x + 4\sin^2 x = 2\sin 2x$;

г) $(\sin x + \cos x)^2 = \cos 2x$.

Решение. №1.489 (с. 149)
Алгебра, 10 класс Учебник, авторы: Арефьева Ирина Глебовна, Пирютко Ольга Николаевна, издательство Народная асвета, Минск, 2019, голубого цвета, страница 149, номер 1.489, Решение Алгебра, 10 класс Учебник, авторы: Арефьева Ирина Глебовна, Пирютко Ольга Николаевна, издательство Народная асвета, Минск, 2019, голубого цвета, страница 149, номер 1.489, Решение (продолжение 2)
Решение 2. №1.489 (с. 149)

а) $ \cos x \sin(-x) = \frac{1}{2\sqrt{2}} $

Используем свойство нечетности функции синус: $ \sin(-x) = -\sin x $.

$ -\cos x \sin x = \frac{1}{2\sqrt{2}} $

Применим формулу синуса двойного угла $ \sin(2x) = 2\sin x \cos x $, откуда $ \sin x \cos x = \frac{\sin(2x)}{2} $.

$ -\frac{\sin(2x)}{2} = \frac{1}{2\sqrt{2}} $

Домножим обе части на -2:

$ \sin(2x) = -\frac{1}{\sqrt{2}} = -\frac{\sqrt{2}}{2} $

Находим общее решение для $ 2x $:

$ 2x = (-1)^n \arcsin(-\frac{\sqrt{2}}{2}) + \pi n, \quad n \in Z $

$ 2x = (-1)^n (-\frac{\pi}{4}) + \pi n $

$ 2x = (-1)^{n+1} \frac{\pi}{4} + \pi n $

Делим на 2, чтобы найти $ x $:

$ x = (-1)^{n+1} \frac{\pi}{8} + \frac{\pi n}{2}, \quad n \in Z $

Ответ: $ x = (-1)^{n+1} \frac{\pi}{8} + \frac{\pi n}{2}, \quad n \in Z $.

б) $ \cos 2x = 2 \sin x - 1,5 $

Используем формулу косинуса двойного угла: $ \cos 2x = 1 - 2\sin^2 x $.

$ 1 - 2\sin^2 x = 2 \sin x - 1,5 $

Перенесем все члены в одну сторону, чтобы получить квадратное уравнение относительно $ \sin x $:

$ 2\sin^2 x + 2\sin x - 1 - 1,5 = 0 $

$ 2\sin^2 x + 2\sin x - 2,5 = 0 $

Умножим на 2, чтобы избавиться от десятичной дроби:

$ 4\sin^2 x + 4\sin x - 5 = 0 $

Сделаем замену $ t = \sin x $, где $ -1 \le t \le 1 $.

$ 4t^2 + 4t - 5 = 0 $

Решаем квадратное уравнение с помощью дискриминанта:

$ D = b^2 - 4ac = 4^2 - 4 \cdot 4 \cdot (-5) = 16 + 80 = 96 $

$ \sqrt{D} = \sqrt{96} = \sqrt{16 \cdot 6} = 4\sqrt{6} $

$ t = \frac{-b \pm \sqrt{D}}{2a} = \frac{-4 \pm 4\sqrt{6}}{8} = \frac{-1 \pm \sqrt{6}}{2} $

Получаем два возможных значения для $ t $:

$ t_1 = \frac{-1 + \sqrt{6}}{2} $. Так как $ 2 < \sqrt{6} < 3 $, то $ 0,5 < t_1 < 1 $. Этот корень подходит, так как $ -1 \le t_1 \le 1 $.

$ t_2 = \frac{-1 - \sqrt{6}}{2} $. Так как $ \sqrt{6} \approx 2,45 $, то $ t_2 \approx \frac{-1 - 2,45}{2} = -1,725 $. Этот корень не подходит, так как $ t_2 < -1 $.

Итак, $ \sin x = \frac{\sqrt{6}-1}{2} $.

Общее решение:

$ x = (-1)^n \arcsin\left(\frac{\sqrt{6}-1}{2}\right) + \pi n, \quad n \in Z $

Ответ: $ x = (-1)^n \arcsin\left(\frac{\sqrt{6}-1}{2}\right) + \pi n, \quad n \in Z $.

в) $ \cos^2 x + 4\sin^2 x = 2\sin 2x $

Преобразуем левую часть уравнения:

$ \cos^2 x + \sin^2 x + 3\sin^2 x = 1 + 3\sin^2 x $

Преобразуем правую часть по формуле синуса двойного угла $ \sin 2x = 2\sin x \cos x $:

$ 2\sin 2x = 4\sin x \cos x $

Уравнение принимает вид:

$ 1 + 3\sin^2 x = 4\sin x \cos x $

Заметим, что $ \cos x = 0 $ не является решением, так как если $ \cos x = 0 $, то $ \sin^2 x = 1 $, и уравнение превращается в $ 1 + 3(1) = 0 $, то есть $ 4=0 $, что неверно. Поэтому мы можем разделить обе части уравнения на $ \cos^2 x \neq 0 $.

$ \frac{1}{\cos^2 x} + \frac{3\sin^2 x}{\cos^2 x} = \frac{4\sin x \cos x}{\cos^2 x} $

Используя тождества $ \frac{1}{\cos^2 x} = 1 + \tan^2 x $ и $ \frac{\sin x}{\cos x} = \tan x $, получаем:

$ (1 + \tan^2 x) + 3\tan^2 x = 4\tan x $

$ 4\tan^2 x - 4\tan x + 1 = 0 $

Это полный квадрат:

$ (2\tan x - 1)^2 = 0 $

$ 2\tan x - 1 = 0 $

$ \tan x = \frac{1}{2} $

Общее решение:

$ x = \arctan\left(\frac{1}{2}\right) + \pi k, \quad k \in Z $

Ответ: $ x = \arctan\left(\frac{1}{2}\right) + \pi k, \quad k \in Z $.

г) $ (\sin x + \cos x)^2 = \cos 2x $

Раскроем скобки в левой части:

$ \sin^2 x + 2\sin x \cos x + \cos^2 x = \cos 2x $

Используем основное тригонометрическое тождество $ \sin^2 x + \cos^2 x = 1 $ и формулу синуса двойного угла $ 2\sin x \cos x = \sin 2x $:

$ 1 + \sin 2x = \cos 2x $

Перегруппируем члены:

$ \cos 2x - \sin 2x = 1 $

Это уравнение вида $ a \cos y + b \sin y = c $. Решим его методом введения вспомогательного угла. Умножим и разделим левую часть на $ R = \sqrt{a^2+b^2} = \sqrt{1^2+(-1)^2} = \sqrt{2} $:

$ \sqrt{2} \left(\frac{1}{\sqrt{2}}\cos 2x - \frac{1}{\sqrt{2}}\sin 2x\right) = 1 $

$ \frac{1}{\sqrt{2}}\cos 2x - \frac{1}{\sqrt{2}}\sin 2x = \frac{1}{\sqrt{2}} $

Заметим, что $ \cos\frac{\pi}{4} = \frac{1}{\sqrt{2}} $ и $ \sin\frac{\pi}{4} = \frac{1}{\sqrt{2}} $. Уравнение можно записать как:

$ \cos\frac{\pi}{4}\cos 2x - \sin\frac{\pi}{4}\sin 2x = \frac{\sqrt{2}}{2} $

Применяем формулу косинуса суммы $ \cos(\alpha+\beta) = \cos\alpha\cos\beta - \sin\alpha\sin\beta $:

$ \cos\left(2x + \frac{\pi}{4}\right) = \frac{\sqrt{2}}{2} $

Находим общее решение:

$ 2x + \frac{\pi}{4} = \pm \arccos\left(\frac{\sqrt{2}}{2}\right) + 2\pi k, \quad k \in Z $

$ 2x + \frac{\pi}{4} = \pm \frac{\pi}{4} + 2\pi k $

Рассмотрим два случая:

1) $ 2x + \frac{\pi}{4} = \frac{\pi}{4} + 2\pi k $

$ 2x = 2\pi k $

$ x = \pi k, \quad k \in Z $

2) $ 2x + \frac{\pi}{4} = -\frac{\pi}{4} + 2\pi k $

$ 2x = -\frac{\pi}{2} + 2\pi k $

$ x = -\frac{\pi}{4} + \pi k, \quad k \in Z $

Ответ: $ x = \pi k, \quad x = -\frac{\pi}{4} + \pi k, \quad k \in Z $.

Помогло решение? Оставьте отзыв в комментариях ниже.

Присоединяйтесь к Телеграм-группе @gdz_by_belarus

Присоединиться

Мы подготовили для вас ответ c подробным объяснением домашего задания по алгебре за 10 класс, для упражнения номер 1.489 расположенного на странице 149 к учебнику 2019 года издания для учащихся школ и гимназий.

Теперь на нашем сайте ГДЗ.ТОП вы всегда легко и бесплатно найдёте условие с правильным ответом на вопрос «Как решить ДЗ» и «Как сделать» задание по алгебре к упражнению №1.489 (с. 149), авторов: Арефьева (Ирина Глебовна), Пирютко (Ольга Николаевна), учебного пособия издательства Народная асвета.