Номер 1.510, страница 151 - гдз по алгебре 10 класс учебник Арефьева, Пирютко

Алгебра, 10 класс Учебник, авторы: Арефьева Ирина Глебовна, Пирютко Ольга Николаевна, издательство Народная асвета, Минск, 2019, голубого цвета

Авторы: Арефьева И. Г., Пирютко О. Н.

Тип: Учебник

Издательство: Народная асвета

Год издания: 2019 - 2025

Цвет обложки: голубой с графиком

Допущено Министерством образования Республики Беларусь

Популярные ГДЗ в 10 классе

Глава 1. Тригонометрия. Параграф 11. Формулы двойного аргумента - номер 1.510, страница 151.

№1.510 (с. 151)
Условие. №1.510 (с. 151)
скриншот условия
Алгебра, 10 класс Учебник, авторы: Арефьева Ирина Глебовна, Пирютко Ольга Николаевна, издательство Народная асвета, Минск, 2019, голубого цвета, страница 151, номер 1.510, Условие

1.510. Решите уравнение:

a) $\sin x \cos(-x) = -\frac{\sqrt{3}}{4}$;

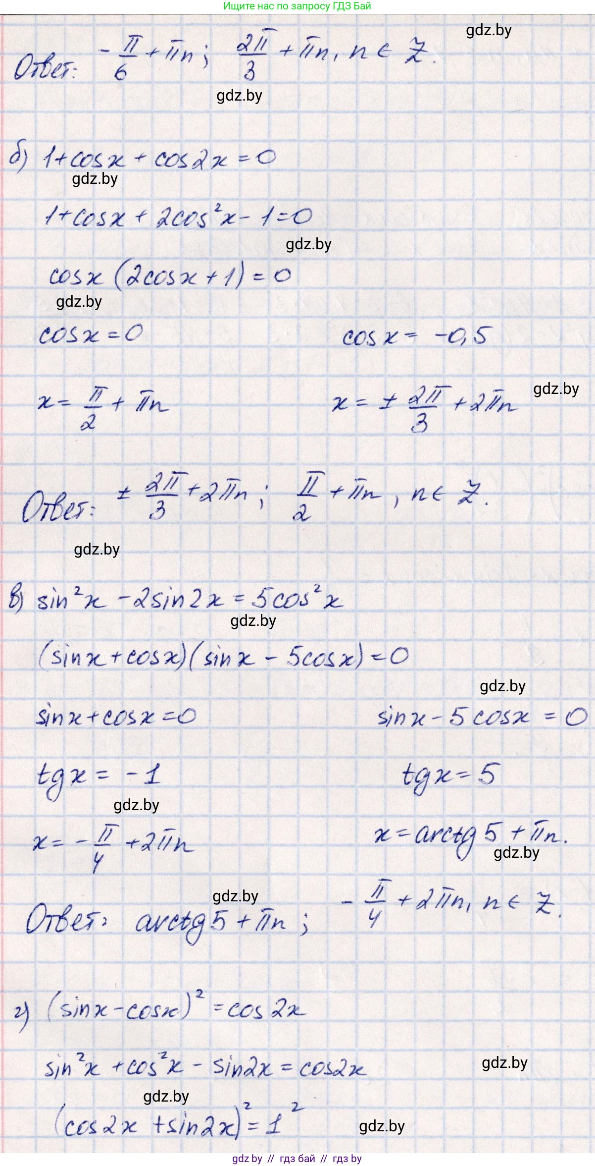
б) $1 + \cos x + \cos 2x = 0$;

в) $\sin^2 x - 2\sin 2x = 5\cos^2 x$;

г) $(\sin x - \cos x)^2 = \cos 2x$.

Решение. №1.510 (с. 151)
Алгебра, 10 класс Учебник, авторы: Арефьева Ирина Глебовна, Пирютко Ольга Николаевна, издательство Народная асвета, Минск, 2019, голубого цвета, страница 151, номер 1.510, Решение Алгебра, 10 класс Учебник, авторы: Арефьева Ирина Глебовна, Пирютко Ольга Николаевна, издательство Народная асвета, Минск, 2019, голубого цвета, страница 151, номер 1.510, Решение (продолжение 2)
Решение 2. №1.510 (с. 151)

а) Исходное уравнение: $ \sin x \cos(-x) = -\frac{\sqrt{3}}{4} $

Используем свойство четности функции косинус, согласно которому $ \cos(-x) = \cos x $. Уравнение принимает вид:$$ \sin x \cos x = -\frac{\sqrt{3}}{4} $$

Применим формулу синуса двойного угла $ \sin(2x) = 2 \sin x \cos x $. Из этой формулы следует, что $ \sin x \cos x = \frac{1}{2} \sin(2x) $. Подставим это в уравнение:$$ \frac{1}{2} \sin(2x) = -\frac{\sqrt{3}}{4} $$

Умножим обе части уравнения на 2, чтобы выразить $ \sin(2x) $:$$ \sin(2x) = -\frac{2\sqrt{3}}{4} = -\frac{\sqrt{3}}{2} $$

Решим полученное простейшее тригонометрическое уравнение. Общее решение для $ \sin y = a $ имеет вид $ y = (-1)^n \arcsin(a) + \pi n, \, n \in \mathbb{Z} $. В нашем случае $ y = 2x $ и $ a = -\frac{\sqrt{3}}{2} $.$$ 2x = (-1)^n \arcsin\left(-\frac{\sqrt{3}}{2}\right) + \pi n, \, n \in \mathbb{Z} $$

Так как $ \arcsin\left(-\frac{\sqrt{3}}{2}\right) = -\frac{\pi}{3} $, получаем:$$ 2x = (-1)^n \left(-\frac{\pi}{3}\right) + \pi n = (-1)^{n+1} \frac{\pi}{3} + \pi n, \, n \in \mathbb{Z} $$

Чтобы найти $ x $, разделим обе части на 2:$$ x = (-1)^{n+1} \frac{\pi}{6} + \frac{\pi n}{2}, \, n \in \mathbb{Z} $$

Ответ: $ x = (-1)^{n+1} \frac{\pi}{6} + \frac{\pi n}{2}, \, n \in \mathbb{Z} $

в) Исходное уравнение: $ \sin^2 x - 2\sin 2x = 5\cos^2 x $

Применим формулу синуса двойного угла $ \sin 2x = 2\sin x \cos x $:$$ \sin^2 x - 2(2\sin x \cos x) = 5\cos^2 x $$$$ \sin^2 x - 4\sin x \cos x - 5\cos^2 x = 0 $$

Это однородное тригонометрическое уравнение второго порядка. Проверим, является ли $ \cos x = 0 $ решением. Если $ \cos x = 0 $, то $ \sin^2 x = 1 $. Подставив в уравнение, получим $ 1 - 4 \cdot 0 - 5 \cdot 0 = 1 = 0 $, что является неверным равенством. Следовательно, $ \cos x \neq 0 $.

Разделим обе части уравнения на $ \cos^2 x $, так как он не равен нулю:$$ \frac{\sin^2 x}{\cos^2 x} - \frac{4\sin x \cos x}{\cos^2 x} - \frac{5\cos^2 x}{\cos^2 x} = 0 $$$$ \tan^2 x - 4\tan x - 5 = 0 $$

Сделаем замену переменной $ t = \tan x $. Получим квадратное уравнение:$$ t^2 - 4t - 5 = 0 $$Решим его с помощью теоремы Виета или через дискриминант. Корнями уравнения являются $ t_1 = 5 $ и $ t_2 = -1 $.

Выполним обратную замену:

1) $ \tan x = -1 $$$ x = \arctan(-1) + \pi k = -\frac{\pi}{4} + \pi k, \, k \in \mathbb{Z} $$

2) $ \tan x = 5 $$$ x = \arctan(5) + \pi n, \, n \in \mathbb{Z} $$

Ответ: $ x = -\frac{\pi}{4} + \pi k, \, k \in \mathbb{Z}; \quad x = \arctan(5) + \pi n, \, n \in \mathbb{Z} $

б) Исходное уравнение: $ 1 + \cos x + \cos 2x = 0 $

Используем формулу косинуса двойного угла $ \cos(2x) = 2\cos^2 x - 1 $, чтобы привести все тригонометрические функции к одному аргументу $ x $:$$ 1 + \cos x + (2\cos^2 x - 1) = 0 $$

Упростим полученное выражение:$$ 2\cos^2 x + \cos x = 0 $$

Вынесем общий множитель $ \cos x $ за скобки:$$ \cos x (2\cos x + 1) = 0 $$

Произведение равно нулю тогда и только тогда, когда хотя бы один из множителей равен нулю. Рассмотрим два случая:

1) $ \cos x = 0 $
Общее решение: $ x = \frac{\pi}{2} + \pi k, \, k \in \mathbb{Z} $

2) $ 2\cos x + 1 = 0 $$$ 2\cos x = -1 $$$$ \cos x = -\frac{1}{2} $$Общее решение: $ x = \pm \arccos\left(-\frac{1}{2}\right) + 2\pi n, \, n \in \mathbb{Z} $$$ x = \pm \frac{2\pi}{3} + 2\pi n, \, n \in \mathbb{Z} $$

Объединяя решения из обоих случаев, получаем окончательный ответ.

Ответ: $ x = \frac{\pi}{2} + \pi k, \, k \in \mathbb{Z}; \quad x = \pm \frac{2\pi}{3} + 2\pi n, \, n \in \mathbb{Z} $

г) Исходное уравнение: $ (\sin x - \cos x)^2 = \cos 2x $

Раскроем квадрат разности в левой части уравнения:$$ \sin^2 x - 2\sin x \cos x + \cos^2 x = \cos 2x $$

Используем основное тригонометрическое тождество $ \sin^2 x + \cos^2 x = 1 $ и формулу синуса двойного угла $ 2\sin x \cos x = \sin 2x $:$$ ( \sin^2 x + \cos^2 x ) - 2\sin x \cos x = \cos 2x $$$$ 1 - \sin 2x = \cos 2x $$

Перенесем $ \sin 2x $ в правую часть:$$ \cos 2x + \sin 2x = 1 $$

Это уравнение вида $ a\sin y + b\cos y = c $. Решим его методом введения вспомогательного угла. Умножим и разделим левую часть на $ \sqrt{1^2 + 1^2} = \sqrt{2} $:$$ \sqrt{2} \left( \frac{1}{\sqrt{2}}\cos 2x + \frac{1}{\sqrt{2}}\sin 2x \right) = 1 $$

Заметим, что $ \frac{1}{\sqrt{2}} = \cos\frac{\pi}{4} $ и $ \frac{1}{\sqrt{2}} = \sin\frac{\pi}{4} $. Подставим это в уравнение:$$ \sqrt{2} \left( \cos\frac{\pi}{4}\cos 2x + \sin\frac{\pi}{4}\sin 2x \right) = 1 $$

Применим формулу косинуса разности $ \cos(\alpha - \beta) = \cos\alpha\cos\beta + \sin\alpha\sin\beta $:$$ \sqrt{2} \cos\left(2x - \frac{\pi}{4}\right) = 1 $$

Выразим косинус:$$ \cos\left(2x - \frac{\pi}{4}\right) = \frac{1}{\sqrt{2}} $$

Решим это простейшее тригонометрическое уравнение:$$ 2x - \frac{\pi}{4} = \pm \arccos\left(\frac{1}{\sqrt{2}}\right) + 2\pi k, \, k \in \mathbb{Z} $$$$ 2x - \frac{\pi}{4} = \pm \frac{\pi}{4} + 2\pi k, \, k \in \mathbb{Z} $$

Рассмотрим два случая:

1) Со знаком плюс:$$ 2x - \frac{\pi}{4} = \frac{\pi}{4} + 2\pi k $$$$ 2x = \frac{\pi}{4} + \frac{\pi}{4} + 2\pi k = \frac{2\pi}{4} + 2\pi k = \frac{\pi}{2} + 2\pi k $$$$ x = \frac{\pi}{4} + \pi k, \, k \in \mathbb{Z} $$

2) Со знаком минус:$$ 2x - \frac{\pi}{4} = -\frac{\pi}{4} + 2\pi k $$$$ 2x = -\frac{\pi}{4} + \frac{\pi}{4} + 2\pi k = 2\pi k $$$$ x = \pi k, \, k \in \mathbb{Z} $$

Ответ: $ x = \frac{\pi}{4} + \pi k, \, k \in \mathbb{Z}; \quad x = \pi k, \, k \in \mathbb{Z} $

Помогло решение? Оставьте отзыв в комментариях ниже.

Присоединяйтесь к Телеграм-группе @gdz_by_belarus

Присоединиться

Мы подготовили для вас ответ c подробным объяснением домашего задания по алгебре за 10 класс, для упражнения номер 1.510 расположенного на странице 151 к учебнику 2019 года издания для учащихся школ и гимназий.

Теперь на нашем сайте ГДЗ.ТОП вы всегда легко и бесплатно найдёте условие с правильным ответом на вопрос «Как решить ДЗ» и «Как сделать» задание по алгебре к упражнению №1.510 (с. 151), авторов: Арефьева (Ирина Глебовна), Пирютко (Ольга Николаевна), учебного пособия издательства Народная асвета.