Номер 1.525, страница 156 - гдз по алгебре 10 класс учебник Арефьева, Пирютко

Алгебра, 10 класс Учебник, авторы: Арефьева Ирина Глебовна, Пирютко Ольга Николаевна, издательство Народная асвета, Минск, 2019, голубого цвета

Авторы: Арефьева И. Г., Пирютко О. Н.

Тип: Учебник

Издательство: Народная асвета

Год издания: 2019 - 2025

Цвет обложки: голубой с графиком

Допущено Министерством образования Республики Беларусь

Популярные ГДЗ в 10 классе

Глава 1. Тригонометрия. Параграф 12. Формулы преобразования суммы и разности синусов (косинусов) в произведение - номер 1.525, страница 156.

№1.525 (с. 156)
Условие. №1.525 (с. 156)
скриншот условия
Алгебра, 10 класс Учебник, авторы: Арефьева Ирина Глебовна, Пирютко Ольга Николаевна, издательство Народная асвета, Минск, 2019, голубого цвета, страница 156, номер 1.525, Условие

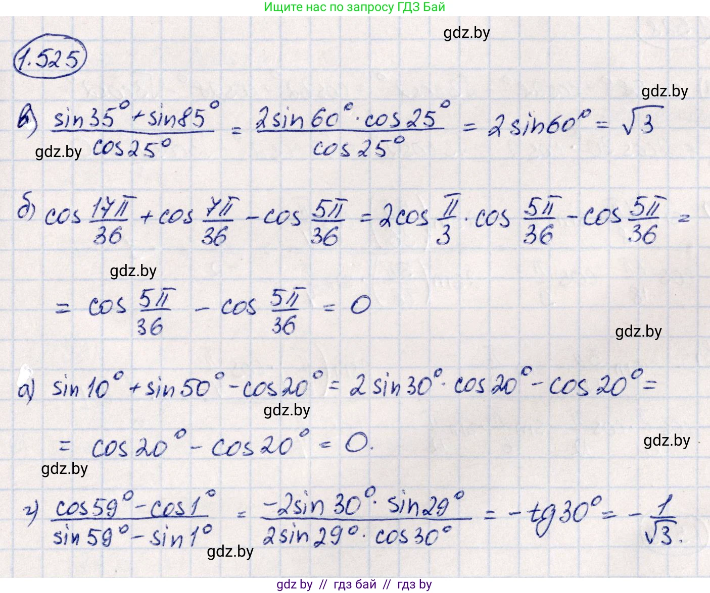
1.525. Найдите значение выражения:

а) $\sin 10^\circ + \sin 50^\circ - \cos 20^\circ$;

б) $\cos \frac{17\pi}{36} + \cos \frac{7\pi}{36} - \cos \frac{5\pi}{36}$;

В) $\frac{\sin 35^\circ + \sin 85^\circ}{\cos 25^\circ}$;

Г) $\frac{\cos 59^\circ - \cos 1^\circ}{\sin 59^\circ - \sin 1^\circ}$.

Решение. №1.525 (с. 156)
Алгебра, 10 класс Учебник, авторы: Арефьева Ирина Глебовна, Пирютко Ольга Николаевна, издательство Народная асвета, Минск, 2019, голубого цвета, страница 156, номер 1.525, Решение
Решение 2. №1.525 (с. 156)

а) Для решения данного выражения применим формулу суммы синусов к первым двум слагаемым. Формула суммы синусов выглядит так:
$\sin \alpha + \sin \beta = 2 \sin\left(\frac{\alpha+\beta}{2}\right) \cos\left(\frac{\alpha-\beta}{2}\right)$

Применим её к $\sin 10^\circ + \sin 50^\circ$:
$\sin 10^\circ + \sin 50^\circ = 2 \sin\left(\frac{10^\circ+50^\circ}{2}\right) \cos\left(\frac{50^\circ-10^\circ}{2}\right) = 2 \sin\left(\frac{60^\circ}{2}\right) \cos\left(\frac{40^\circ}{2}\right) = 2 \sin 30^\circ \cos 20^\circ$

Зная, что значение $\sin 30^\circ = \frac{1}{2}$, подставим его в полученное выражение:
$2 \cdot \frac{1}{2} \cdot \cos 20^\circ = \cos 20^\circ$

Теперь вернемся к исходному выражению и подставим результат:
$(\sin 10^\circ + \sin 50^\circ) - \cos 20^\circ = \cos 20^\circ - \cos 20^\circ = 0$

Ответ: 0

б) Для решения этого выражения воспользуемся формулой суммы косинусов:
$\cos \alpha + \cos \beta = 2 \cos\left(\frac{\alpha+\beta}{2}\right) \cos\left(\frac{\alpha-\beta}{2}\right)$

Применим эту формулу к первым двум слагаемым: $\cos \frac{17\pi}{36} + \cos \frac{7\pi}{36}$.
$\cos \frac{17\pi}{36} + \cos \frac{7\pi}{36} = 2 \cos\left(\frac{\frac{17\pi}{36}+\frac{7\pi}{36}}{2}\right) \cos\left(\frac{\frac{17\pi}{36}-\frac{7\pi}{36}}{2}\right) = 2 \cos\left(\frac{\frac{24\pi}{36}}{2}\right) \cos\left(\frac{\frac{10\pi}{36}}{2}\right)$

Упростим аргументы косинусов:
$2 \cos\left(\frac{2\pi/3}{2}\right) \cos\left(\frac{5\pi/18}{2}\right) = 2 \cos\left(\frac{\pi}{3}\right) \cos\left(\frac{5\pi}{36}\right)$

Зная, что $\cos\left(\frac{\pi}{3}\right) = \frac{1}{2}$, подставим это значение:
$2 \cdot \frac{1}{2} \cdot \cos\left(\frac{5\pi}{36}\right) = \cos\left(\frac{5\pi}{36}\right)$

Теперь подставим полученный результат в исходное выражение:
$\left(\cos \frac{17\pi}{36} + \cos \frac{7\pi}{36}\right) - \cos \frac{5\pi}{36} = \cos\left(\frac{5\pi}{36}\right) - \cos\left(\frac{5\pi}{36}\right) = 0$

Ответ: 0

в) Для упрощения числителя дроби $\frac{\sin 35^\circ + \sin 85^\circ}{\cos 25^\circ}$ снова воспользуемся формулой суммы синусов:
$\sin \alpha + \sin \beta = 2 \sin\left(\frac{\alpha+\beta}{2}\right) \cos\left(\frac{\alpha-\beta}{2}\right)$

$\sin 35^\circ + \sin 85^\circ = 2 \sin\left(\frac{35^\circ+85^\circ}{2}\right) \cos\left(\frac{85^\circ-35^\circ}{2}\right) = 2 \sin\left(\frac{120^\circ}{2}\right) \cos\left(\frac{50^\circ}{2}\right) = 2 \sin 60^\circ \cos 25^\circ$

Подставим полученное выражение для числителя в исходную дробь:
$\frac{2 \sin 60^\circ \cos 25^\circ}{\cos 25^\circ}$

Сократим одинаковые множители $\cos 25^\circ$ в числителе и знаменателе:
$2 \sin 60^\circ$

Зная, что $\sin 60^\circ = \frac{\sqrt{3}}{2}$, найдем конечное значение:
$2 \cdot \frac{\sqrt{3}}{2} = \sqrt{3}$

Ответ: $\sqrt{3}$

г) Для решения выражения $\frac{\cos 59^\circ - \cos 1^\circ}{\sin 59^\circ - \sin 1^\circ}$ воспользуемся формулами преобразования разности тригонометрических функций в произведение.

Для числителя используем формулу разности косинусов:
$\cos \alpha - \cos \beta = -2 \sin\left(\frac{\alpha+\beta}{2}\right) \sin\left(\frac{\alpha-\beta}{2}\right)$
$\cos 59^\circ - \cos 1^\circ = -2 \sin\left(\frac{59^\circ+1^\circ}{2}\right) \sin\left(\frac{59^\circ-1^\circ}{2}\right) = -2 \sin 30^\circ \sin 29^\circ$

Для знаменателя используем формулу разности синусов:
$\sin \alpha - \sin \beta = 2 \cos\left(\frac{\alpha+\beta}{2}\right) \sin\left(\frac{\alpha-\beta}{2}\right)$
$\sin 59^\circ - \sin 1^\circ = 2 \cos\left(\frac{59^\circ+1^\circ}{2}\right) \sin\left(\frac{59^\circ-1^\circ}{2}\right) = 2 \cos 30^\circ \sin 29^\circ$

Подставим полученные выражения в исходную дробь:
$\frac{-2 \sin 30^\circ \sin 29^\circ}{2 \cos 30^\circ \sin 29^\circ}$

Сократим общие множители $2$ и $\sin 29^\circ$:
$\frac{-\sin 30^\circ}{\cos 30^\circ} = -\tan 30^\circ$

Значение $\tan 30^\circ = \frac{\sqrt{3}}{3}$.
Следовательно, значение всего выражения равно $-\frac{\sqrt{3}}{3}$.

Ответ: $-\frac{\sqrt{3}}{3}$

Помогло решение? Оставьте отзыв в комментариях ниже.

Присоединяйтесь к Телеграм-группе @gdz_by_belarus

Присоединиться

Мы подготовили для вас ответ c подробным объяснением домашего задания по алгебре за 10 класс, для упражнения номер 1.525 расположенного на странице 156 к учебнику 2019 года издания для учащихся школ и гимназий.

Теперь на нашем сайте ГДЗ.ТОП вы всегда легко и бесплатно найдёте условие с правильным ответом на вопрос «Как решить ДЗ» и «Как сделать» задание по алгебре к упражнению №1.525 (с. 156), авторов: Арефьева (Ирина Глебовна), Пирютко (Ольга Николаевна), учебного пособия издательства Народная асвета.