Номер 1.73, страница 30 - гдз по алгебре 10 класс учебник Арефьева, Пирютко

Алгебра, 10 класс Учебник, авторы: Арефьева Ирина Глебовна, Пирютко Ольга Николаевна, издательство Народная асвета, Минск, 2019, голубого цвета

Авторы: Арефьева И. Г., Пирютко О. Н.

Тип: Учебник

Издательство: Народная асвета

Год издания: 2019 - 2025

Цвет обложки: голубой с графиком

Допущено Министерством образования Республики Беларусь

Популярные ГДЗ в 10 классе

Глава 1. Тригонометрия. Параграф 2. Определение синуса и косинуса произвольного угла - номер 1.73, страница 30.

№1.73 (с. 30)
Условие. №1.73 (с. 30)
скриншот условия
Алгебра, 10 класс Учебник, авторы: Арефьева Ирина Глебовна, Пирютко Ольга Николаевна, издательство Народная асвета, Минск, 2019, голубого цвета, страница 30, номер 1.73, Условие

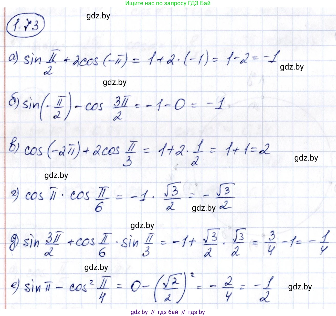
1.73. Вычислите:

а) $\sin \frac{\pi}{2} + 2\cos(-\pi);$

б) $\sin \left(-\frac{\pi}{2}\right) - \cos \frac{3\pi}{2};$

в) $\cos(-2\pi) + 2\cos\frac{\pi}{3};$

г) $\cos \pi \cdot \cos \frac{\pi}{6};$

д) $\sin \frac{3\pi}{2} + \cos \frac{\pi}{6} \cdot \sin \frac{\pi}{3};$

е) $\sin \pi - \cos^2 \frac{\pi}{4}.$

Решение. №1.73 (с. 30)
Алгебра, 10 класс Учебник, авторы: Арефьева Ирина Глебовна, Пирютко Ольга Николаевна, издательство Народная асвета, Минск, 2019, голубого цвета, страница 30, номер 1.73, Решение
Решение 2. №1.73 (с. 30)

а) $\sin\frac{\pi}{2} + 2\cos(-\pi)$

Для вычисления данного выражения воспользуемся известными значениями тригонометрических функций и их свойствами.

1. Значение синуса от $\frac{\pi}{2}$ (соответствует 90°) равно 1:
$\sin\frac{\pi}{2} = 1$

2. Косинус является четной функцией, что означает $\cos(-x) = \cos(x)$. Поэтому:
$\cos(-\pi) = \cos(\pi)$

3. Значение косинуса от $\pi$ (соответствует 180°) равно -1:
$\cos(\pi) = -1$

4. Подставляем найденные значения в исходное выражение:
$\sin\frac{\pi}{2} + 2\cos(-\pi) = 1 + 2 \cdot (-1) = 1 - 2 = -1$

Ответ: -1

б) $\sin(-\frac{\pi}{2}) - \cos\frac{3\pi}{2}$

1. Синус является нечетной функцией, что означает $\sin(-x) = -\sin(x)$. Поэтому:
$\sin(-\frac{\pi}{2}) = -\sin(\frac{\pi}{2}) = -1$

2. Значение косинуса от $\frac{3\pi}{2}$ (соответствует 270°) равно 0:
$\cos\frac{3\pi}{2} = 0$

3. Подставляем значения в выражение:
$\sin(-\frac{\pi}{2}) - \cos\frac{3\pi}{2} = -1 - 0 = -1$

Ответ: -1

в) $\cos(-2\pi) + 2\cos\frac{\pi}{3}$

1. Косинус - четная функция, $\cos(-x) = \cos(x)$. Также период функции косинус равен $2\pi$, поэтому $\cos(x + 2\pi k) = \cos(x)$ для любого целого k.
$\cos(-2\pi) = \cos(2\pi) = \cos(0) = 1$

2. Значение косинуса от $\frac{\pi}{3}$ (соответствует 60°) равно $\frac{1}{2}$:
$\cos\frac{\pi}{3} = \frac{1}{2}$

3. Подставляем значения в выражение:
$\cos(-2\pi) + 2\cos\frac{\pi}{3} = 1 + 2 \cdot \frac{1}{2} = 1 + 1 = 2$

Ответ: 2

г) $\cos\pi \cdot \cos\frac{\pi}{6}$

1. Значение косинуса от $\pi$ (180°):
$\cos\pi = -1$

2. Значение косинуса от $\frac{\pi}{6}$ (30°):
$\cos\frac{\pi}{6} = \frac{\sqrt{3}}{2}$

3. Перемножаем значения:
$\cos\pi \cdot \cos\frac{\pi}{6} = -1 \cdot \frac{\sqrt{3}}{2} = -\frac{\sqrt{3}}{2}$

Ответ: $-\frac{\sqrt{3}}{2}$

д) $\sin\frac{3\pi}{2} + \cos\frac{\pi}{6} \cdot \sin\frac{\pi}{3}$

1. Значение синуса от $\frac{3\pi}{2}$ (270°):
$\sin\frac{3\pi}{2} = -1$

2. Значение косинуса от $\frac{\pi}{6}$ (30°):
$\cos\frac{\pi}{6} = \frac{\sqrt{3}}{2}$

3. Значение синуса от $\frac{\pi}{3}$ (60°):
$\sin\frac{\pi}{3} = \frac{\sqrt{3}}{2}$

4. Подставляем значения в выражение, соблюдая порядок действий (сначала умножение):
$\sin\frac{3\pi}{2} + \cos\frac{\pi}{6} \cdot \sin\frac{\pi}{3} = -1 + \left(\frac{\sqrt{3}}{2}\right) \cdot \left(\frac{\sqrt{3}}{2}\right) = -1 + \frac{3}{4}$

5. Приводим к общему знаменателю и вычисляем:
$-1 + \frac{3}{4} = -\frac{4}{4} + \frac{3}{4} = -\frac{1}{4}$

Ответ: $-\frac{1}{4}$

е) $\sin\pi - \cos^2\frac{\pi}{4}$

1. Значение синуса от $\pi$ (180°):
$\sin\pi = 0$

2. Выражение $\cos^2\frac{\pi}{4}$ означает $(\cos\frac{\pi}{4})^2$. Найдем значение косинуса от $\frac{\pi}{4}$ (45°):
$\cos\frac{\pi}{4} = \frac{\sqrt{2}}{2}$

3. Возводим значение в квадрат:
$\cos^2\frac{\pi}{4} = \left(\frac{\sqrt{2}}{2}\right)^2 = \frac{2}{4} = \frac{1}{2}$

4. Подставляем значения в исходное выражение:
$\sin\pi - \cos^2\frac{\pi}{4} = 0 - \frac{1}{2} = -\frac{1}{2}$

Ответ: $-\frac{1}{2}$

Помогло решение? Оставьте отзыв в комментариях ниже.

Присоединяйтесь к Телеграм-группе @gdz_by_belarus

Присоединиться

Мы подготовили для вас ответ c подробным объяснением домашего задания по алгебре за 10 класс, для упражнения номер 1.73 расположенного на странице 30 к учебнику 2019 года издания для учащихся школ и гимназий.

Теперь на нашем сайте ГДЗ.ТОП вы всегда легко и бесплатно найдёте условие с правильным ответом на вопрос «Как решить ДЗ» и «Как сделать» задание по алгебре к упражнению №1.73 (с. 30), авторов: Арефьева (Ирина Глебовна), Пирютко (Ольга Николаевна), учебного пособия издательства Народная асвета.