Номер 2.124, страница 186 - гдз по алгебре 10 класс учебник Арефьева, Пирютко

Алгебра, 10 класс Учебник, авторы: Арефьева Ирина Глебовна, Пирютко Ольга Николаевна, издательство Народная асвета, Минск, 2019, голубого цвета

Авторы: Арефьева И. Г., Пирютко О. Н.

Тип: Учебник

Издательство: Народная асвета

Год издания: 2019 - 2025

Цвет обложки: голубой с графиком

Допущено Министерством образования Республики Беларусь

Популярные ГДЗ в 10 классе

Глава 2. Корень n-й степени из числа. Параграф 15. Применение свойств корней n-й степени для преобразования выражений - номер 2.124, страница 186.

№2.124 (с. 186)
Условие. №2.124 (с. 186)
скриншот условия
Алгебра, 10 класс Учебник, авторы: Арефьева Ирина Глебовна, Пирютко Ольга Николаевна, издательство Народная асвета, Минск, 2019, голубого цвета, страница 186, номер 2.124, Условие

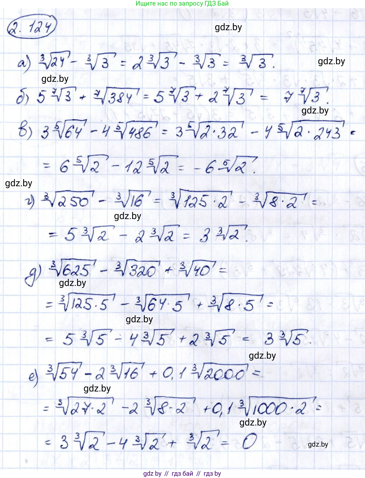
2.124. Упростите выражение:

а) $\sqrt[3]{24} - \sqrt[3]{3};$

б) $5\sqrt[7]{3} + \sqrt[7]{384};$

в) $3\sqrt[5]{64} - 4\sqrt[5]{486};$

г) $\sqrt[3]{250} - \sqrt[3]{16};$

д) $\sqrt[3]{625} - \sqrt[3]{320} + \sqrt[3]{40};$

е) $\sqrt[3]{54} - 2\sqrt[3]{16} + 0,1\sqrt[3]{2000}.$

Решение. №2.124 (с. 186)
Алгебра, 10 класс Учебник, авторы: Арефьева Ирина Глебовна, Пирютко Ольга Николаевна, издательство Народная асвета, Минск, 2019, голубого цвета, страница 186, номер 2.124, Решение
Решение 2. №2.124 (с. 186)

а) Для упрощения выражения $\sqrt[3]{24} - \sqrt[3]{3}$ необходимо привести радикалы к общему подкоренному выражению. Для этого вынесем множитель из-под знака корня в первом слагаемом. Разложим число 24 на множители так, чтобы один из них был кубом целого числа: $24 = 8 \cdot 3 = 2^3 \cdot 3$. Тогда $\sqrt[3]{24} = \sqrt[3]{2^3 \cdot 3} = \sqrt[3]{2^3} \cdot \sqrt[3]{3} = 2\sqrt[3]{3}$. Теперь подставим полученное значение в исходное выражение и выполним вычитание: $2\sqrt[3]{3} - \sqrt[3]{3} = (2-1)\sqrt[3]{3} = 1\sqrt[3]{3} = \sqrt[3]{3}$.
Ответ: $\sqrt[3]{3}$.

б) Рассмотрим выражение $5\sqrt[7]{3} + \sqrt[7]{384}$. Упростим второй член, вынеся множитель из-под знака корня. Разложим число 384 на множители. Заметим, что $384 = 128 \cdot 3$. Число 128 является седьмой степенью числа 2, то есть $128 = 2^7$. Следовательно, $\sqrt[7]{384} = \sqrt[7]{2^7 \cdot 3} = \sqrt[7]{2^7} \cdot \sqrt[7]{3} = 2\sqrt[7]{3}$. Подставим это в исходное выражение и сложим подобные слагаемые: $5\sqrt[7]{3} + 2\sqrt[7]{3} = (5+2)\sqrt[7]{3} = 7\sqrt[7]{3}$.
Ответ: $7\sqrt[7]{3}$.

в) Упростим выражение $3\sqrt[5]{64} - 4\sqrt[5]{486}$. Для этого вынесем множители из-под знаков корней. Для первого члена: $64 = 32 \cdot 2 = 2^5 \cdot 2$. Тогда $3\sqrt[5]{64} = 3\sqrt[5]{2^5 \cdot 2} = 3 \cdot 2\sqrt[5]{2} = 6\sqrt[5]{2}$. Для второго члена: $486 = 243 \cdot 2 = 3^5 \cdot 2$. Тогда $4\sqrt[5]{486} = 4\sqrt[5]{3^5 \cdot 2} = 4 \cdot 3\sqrt[5]{2} = 12\sqrt[5]{2}$. Теперь выполним вычитание: $6\sqrt[5]{2} - 12\sqrt[5]{2} = (6-12)\sqrt[5]{2} = -6\sqrt[5]{2}$.
Ответ: $-6\sqrt[5]{2}$.

г) Упростим выражение $\sqrt[3]{250} - \sqrt[3]{16}$. Вынесем множители из-под знаков корней. Разложим 250: $250 = 125 \cdot 2 = 5^3 \cdot 2$. Тогда $\sqrt[3]{250} = \sqrt[3]{5^3 \cdot 2} = 5\sqrt[3]{2}$. Разложим 16: $16 = 8 \cdot 2 = 2^3 \cdot 2$. Тогда $\sqrt[3]{16} = \sqrt[3]{2^3 \cdot 2} = 2\sqrt[3]{2}$. Подставим упрощенные корни в выражение и выполним вычитание: $5\sqrt[3]{2} - 2\sqrt[3]{2} = (5-2)\sqrt[3]{2} = 3\sqrt[3]{2}$.
Ответ: $3\sqrt[3]{2}$.

д) Упростим выражение $\sqrt[3]{625} - \sqrt[3]{320} + \sqrt[3]{40}$ путем вынесения множителей из-под каждого знака корня, чтобы привести их к общему подкоренному выражению. $\sqrt[3]{625} = \sqrt[3]{125 \cdot 5} = \sqrt[3]{5^3 \cdot 5} = 5\sqrt[3]{5}$. $\sqrt[3]{320} = \sqrt[3]{64 \cdot 5} = \sqrt[3]{4^3 \cdot 5} = 4\sqrt[3]{5}$. $\sqrt[3]{40} = \sqrt[3]{8 \cdot 5} = \sqrt[3]{2^3 \cdot 5} = 2\sqrt[3]{5}$. Подставим все в исходное выражение и сгруппируем подобные члены: $5\sqrt[3]{5} - 4\sqrt[3]{5} + 2\sqrt[3]{5} = (5 - 4 + 2)\sqrt[3]{5} = 3\sqrt[3]{5}$.
Ответ: $3\sqrt[3]{5}$.

е) Упростим выражение $\sqrt[3]{54} - 2\sqrt[3]{16} + 0,1\sqrt[3]{2000}$. Вынесем множители из-под каждого корня: $\sqrt[3]{54} = \sqrt[3]{27 \cdot 2} = \sqrt[3]{3^3 \cdot 2} = 3\sqrt[3]{2}$. $2\sqrt[3]{16} = 2\sqrt[3]{8 \cdot 2} = 2\sqrt[3]{2^3 \cdot 2} = 2 \cdot 2\sqrt[3]{2} = 4\sqrt[3]{2}$. $0,1\sqrt[3]{2000} = 0,1\sqrt[3]{1000 \cdot 2} = 0,1\sqrt[3]{10^3 \cdot 2} = 0,1 \cdot 10\sqrt[3]{2} = 1\sqrt[3]{2} = \sqrt[3]{2}$. Теперь подставим упрощенные части обратно в выражение: $3\sqrt[3]{2} - 4\sqrt[3]{2} + \sqrt[3]{2} = (3 - 4 + 1)\sqrt[3]{2} = 0 \cdot \sqrt[3]{2} = 0$.
Ответ: $0$.

Помогло решение? Оставьте отзыв в комментариях ниже.

Присоединяйтесь к Телеграм-группе @gdz_by_belarus

Присоединиться

Мы подготовили для вас ответ c подробным объяснением домашего задания по алгебре за 10 класс, для упражнения номер 2.124 расположенного на странице 186 к учебнику 2019 года издания для учащихся школ и гимназий.

Теперь на нашем сайте ГДЗ.ТОП вы всегда легко и бесплатно найдёте условие с правильным ответом на вопрос «Как решить ДЗ» и «Как сделать» задание по алгебре к упражнению №2.124 (с. 186), авторов: Арефьева (Ирина Глебовна), Пирютко (Ольга Николаевна), учебного пособия издательства Народная асвета.