Номер 2.149, страница 189 - гдз по алгебре 10 класс учебник Арефьева, Пирютко

Алгебра, 10 класс Учебник, авторы: Арефьева Ирина Глебовна, Пирютко Ольга Николаевна, издательство Народная асвета, Минск, 2019, голубого цвета

Авторы: Арефьева И. Г., Пирютко О. Н.

Тип: Учебник

Издательство: Народная асвета

Год издания: 2019 - 2025

Цвет обложки: голубой с графиком

Допущено Министерством образования Республики Беларусь

Популярные ГДЗ в 10 классе

Глава 2. Корень n-й степени из числа. Параграф 15. Применение свойств корней n-й степени для преобразования выражений - номер 2.149, страница 189.

№2.149 (с. 189)
Условие. №2.149 (с. 189)
скриншот условия
Алгебра, 10 класс Учебник, авторы: Арефьева Ирина Глебовна, Пирютко Ольга Николаевна, издательство Народная асвета, Минск, 2019, голубого цвета, страница 189, номер 2.149, Условие

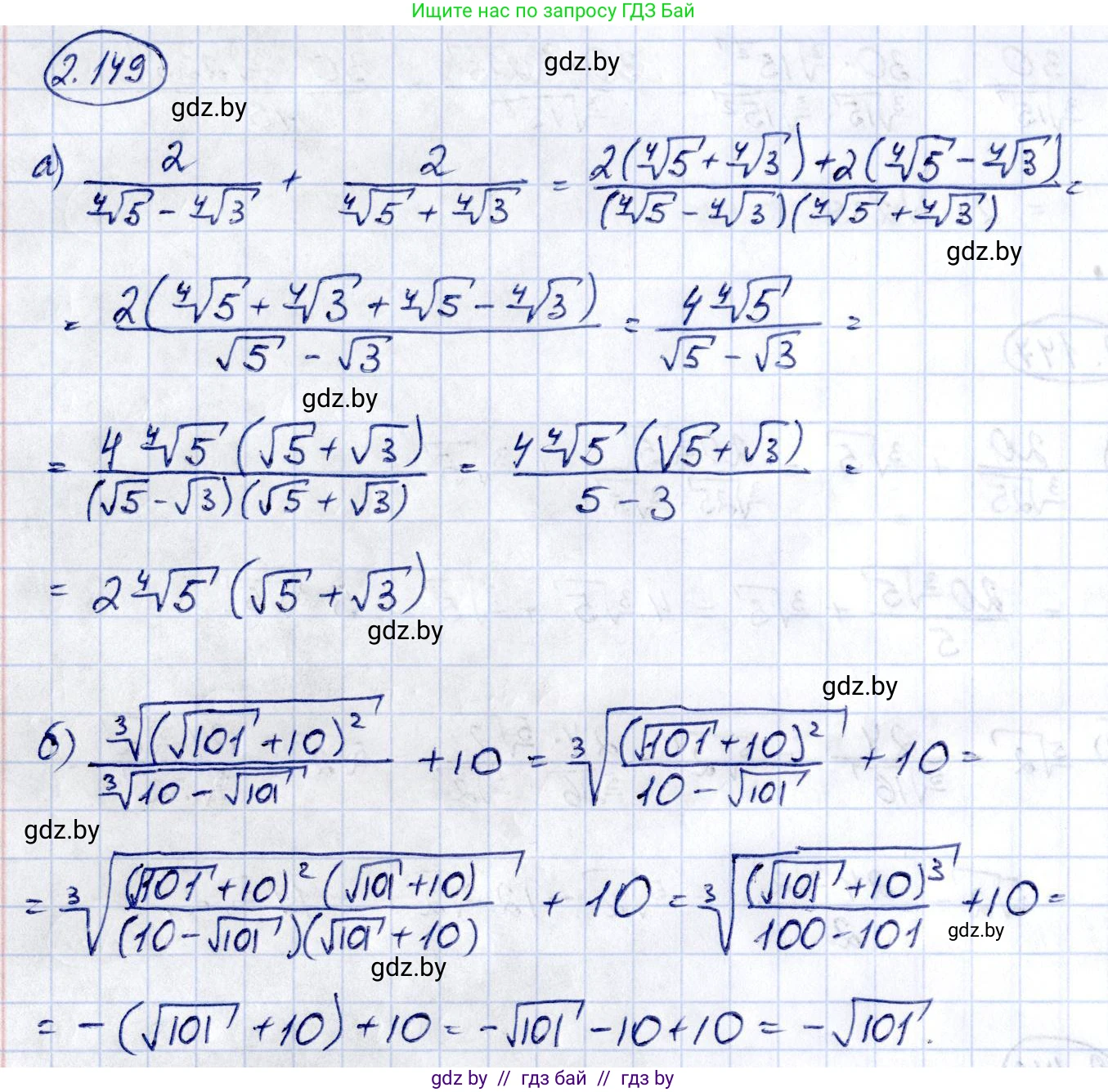
2.149. Найдите значение выражения:

a) $ \frac{2}{\sqrt[4]{5} - \sqrt[4]{3}} + \frac{2}{\sqrt[4]{5} + \sqrt[4]{3}} $;

б)* $ \frac{\sqrt[3]{(\sqrt{101} + 10)^2}}{\sqrt[3]{10 - \sqrt{101}}} + 10. $

Решение. №2.149 (с. 189)
Алгебра, 10 класс Учебник, авторы: Арефьева Ирина Глебовна, Пирютко Ольга Николаевна, издательство Народная асвета, Минск, 2019, голубого цвета, страница 189, номер 2.149, Решение
Решение 2. №2.149 (с. 189)

a) $\frac{2}{\sqrt[4]{5} - \sqrt[4]{3}} + \frac{2}{\sqrt[4]{5} + \sqrt[4]{3}} $;

Чтобы упростить данное выражение, приведем дроби к общему знаменателю. Общий знаменатель равен $(\sqrt[4]{5} - \sqrt[4]{3})(\sqrt[4]{5} + \sqrt[4]{3})$.

Воспользуемся формулой разности квадратов $(a-b)(a+b) = a^2 - b^2$:

$(\sqrt[4]{5} - \sqrt[4]{3})(\sqrt[4]{5} + \sqrt[4]{3}) = (\sqrt[4]{5})^2 - (\sqrt[4]{3})^2 = \sqrt{5} - \sqrt{3}$

Теперь приведем выражение к общему знаменателю и сложим дроби:

$\frac{2(\sqrt[4]{5} + \sqrt[4]{3})}{(\sqrt[4]{5} - \sqrt[4]{3})(\sqrt[4]{5} + \sqrt[4]{3})} + \frac{2(\sqrt[4]{5} - \sqrt[4]{3})}{(\sqrt[4]{5} - \sqrt[4]{3})(\sqrt[4]{5} + \sqrt[4]{3})} = \frac{2(\sqrt[4]{5} + \sqrt[4]{3}) + 2(\sqrt[4]{5} - \sqrt[4]{3})}{\sqrt{5} - \sqrt{3}}$

Раскроем скобки в числителе:

$\frac{2\sqrt[4]{5} + 2\sqrt[4]{3} + 2\sqrt[4]{5} - 2\sqrt[4]{3}}{\sqrt{5} - \sqrt{3}} = \frac{4\sqrt[4]{5}}{\sqrt{5} - \sqrt{3}}$

Избавимся от иррациональности в знаменателе, домножив числитель и знаменатель на сопряженное выражение $(\sqrt{5} + \sqrt{3})$:

$\frac{4\sqrt[4]{5}(\sqrt{5} + \sqrt{3})}{(\sqrt{5} - \sqrt{3})(\sqrt{5} + \sqrt{3})} = \frac{4\sqrt[4]{5}(\sqrt{5} + \sqrt{3})}{(\sqrt{5})^2 - (\sqrt{3})^2} = \frac{4\sqrt[4]{5}(\sqrt{5} + \sqrt{3})}{5 - 3} = \frac{4\sqrt[4]{5}(\sqrt{5} + \sqrt{3})}{2} = 2\sqrt[4]{5}(\sqrt{5} + \sqrt{3})$

Альтернативный способ решения:
Заметим, что $5-3=2$. Используем формулу разности четвертых степеней: $a^4-b^4 = (a-b)(a+b)(a^2+b^2)$.
Пусть $a=\sqrt[4]{5}$ и $b=\sqrt[4]{3}$. Тогда $a^4-b^4 = (\sqrt[4]{5})^4 - (\sqrt[4]{3})^4 = 5-3=2$.
Следовательно, $2 = (\sqrt[4]{5}-\sqrt[4]{3})(\sqrt[4]{5}+\sqrt[4]{3})((\sqrt[4]{5})^2+(\sqrt[4]{3})^2) = (\sqrt[4]{5}-\sqrt[4]{3})(\sqrt[4]{5}+\sqrt[4]{3})(\sqrt{5}+\sqrt{3})$.
Подставим это выражение для числа 2 в исходное выражение:

$\frac{(\sqrt[4]{5}-\sqrt[4]{3})(\sqrt[4]{5}+\sqrt[4]{3})(\sqrt{5}+\sqrt{3})}{\sqrt[4]{5} - \sqrt[4]{3}} + \frac{(\sqrt[4]{5}-\sqrt[4]{3})(\sqrt[4]{5}+\sqrt[4]{3})(\sqrt{5}+\sqrt{3})}{\sqrt[4]{5} + \sqrt[4]{3}}$

Сокращаем дроби:

$(\sqrt[4]{5}+\sqrt[4]{3})(\sqrt{5}+\sqrt{3}) + (\sqrt[4]{5}-\sqrt[4]{3})(\sqrt{5}+\sqrt{3})$

Выносим общий множитель $(\sqrt{5}+\sqrt{3})$ за скобки:

$(\sqrt{5}+\sqrt{3}) \cdot ((\sqrt[4]{5}+\sqrt[4]{3}) + (\sqrt[4]{5}-\sqrt[4]{3})) = (\sqrt{5}+\sqrt{3}) \cdot (2\sqrt[4]{5}) = 2\sqrt[4]{5}(\sqrt{5}+\sqrt{3})$

Ответ: $2\sqrt[4]{5}(\sqrt{5}+\sqrt{3})$.

б)* $\frac{\sqrt[3]{(\sqrt{101} + 10)^2}}{\sqrt[3]{10 - \sqrt{101}}} + 10$.

Объединим дроби под один знак кубического корня:

$\sqrt[3]{\frac{(\sqrt{101} + 10)^2}{10 - \sqrt{101}}} + 10$

Упростим выражение под корнем. Вынесем $-1$ в знаменателе:

$\frac{(\sqrt{101} + 10)^2}{10 - \sqrt{101}} = \frac{(\sqrt{101} + 10)^2}{-(\sqrt{101} - 10)}$

Домножим числитель и знаменатель на $(\sqrt{101} + 10)$, чтобы избавиться от иррациональности в знаменателе:

$-\frac{(\sqrt{101} + 10)^2 (\sqrt{101} + 10)}{(\sqrt{101} - 10)(\sqrt{101} + 10)} = -\frac{(\sqrt{101} + 10)^3}{(\sqrt{101})^2 - 10^2} = -\frac{(\sqrt{101} + 10)^3}{101 - 100} = -(\sqrt{101} + 10)^3$

Теперь подставим это обратно в исходное выражение:

$\sqrt[3]{-(\sqrt{101} + 10)^3} + 10$

Извлекаем кубический корень:

$-(\sqrt{101} + 10) + 10 = -\sqrt{101} - 10 + 10 = -\sqrt{101}$

Ответ: $-\sqrt{101}$.

Помогло решение? Оставьте отзыв в комментариях ниже.

Присоединяйтесь к Телеграм-группе @gdz_by_belarus

Присоединиться

Мы подготовили для вас ответ c подробным объяснением домашего задания по алгебре за 10 класс, для упражнения номер 2.149 расположенного на странице 189 к учебнику 2019 года издания для учащихся школ и гимназий.

Теперь на нашем сайте ГДЗ.ТОП вы всегда легко и бесплатно найдёте условие с правильным ответом на вопрос «Как решить ДЗ» и «Как сделать» задание по алгебре к упражнению №2.149 (с. 189), авторов: Арефьева (Ирина Глебовна), Пирютко (Ольга Николаевна), учебного пособия издательства Народная асвета.