Номер 2.199, страница 199 - гдз по алгебре 10 класс учебник Арефьева, Пирютко

Алгебра, 10 класс Учебник, авторы: Арефьева Ирина Глебовна, Пирютко Ольга Николаевна, издательство Народная асвета, Минск, 2019, голубого цвета

Авторы: Арефьева И. Г., Пирютко О. Н.

Тип: Учебник

Издательство: Народная асвета

Год издания: 2019 - 2025

Цвет обложки: голубой с графиком

Допущено Министерством образования Республики Беларусь

Популярные ГДЗ в 10 классе

Глава 2. Корень n-й степени из числа. Параграф 16. Свойства и график функции y=n√x (n>1, n∈N) - номер 2.199, страница 199.

№2.199 (с. 199)
Условие. №2.199 (с. 199)
скриншот условия
Алгебра, 10 класс Учебник, авторы: Арефьева Ирина Глебовна, Пирютко Ольга Николаевна, издательство Народная асвета, Минск, 2019, голубого цвета, страница 199, номер 2.199, Условие

2.199. Найдите область определения функции:

а) $f(x) = \sqrt[4]{2 - 7x};$

б) $f(x) = \frac{3}{\sqrt[5]{5 - 6x}};$

в) $f(x) = \frac{8}{\sqrt[6]{2x^2 - 5x + 2}};$

г) $f(x) = \sqrt[4]{\frac{x - 1}{x - 5}}.$

Решение. №2.199 (с. 199)
Алгебра, 10 класс Учебник, авторы: Арефьева Ирина Глебовна, Пирютко Ольга Николаевна, издательство Народная асвета, Минск, 2019, голубого цвета, страница 199, номер 2.199, Решение Алгебра, 10 класс Учебник, авторы: Арефьева Ирина Глебовна, Пирютко Ольга Николаевна, издательство Народная асвета, Минск, 2019, голубого цвета, страница 199, номер 2.199, Решение (продолжение 2)
Решение 2. №2.199 (с. 199)

а)Функция $f(x) = \sqrt[4]{2 - 7x}$. Область определения функции, содержащей корень четной степени (в данном случае, 4-й степени), определяется условием, что подкоренное выражение должно быть неотрицательным. Следовательно, мы должны решить неравенство:$2 - 7x \ge 0$Перенесем 2 в правую часть:$-7x \ge -2$Разделим обе части на -7. При делении на отрицательное число знак неравенства меняется на противоположный:$x \le \frac{-2}{-7}$$x \le \frac{2}{7}$Таким образом, область определения функции — это все значения $x$, которые меньше или равны $\frac{2}{7}$. В виде промежутка это записывается как $(-\infty; \frac{2}{7}]$. Ответ: $D(f) = (-\infty; \frac{2}{7}]$.

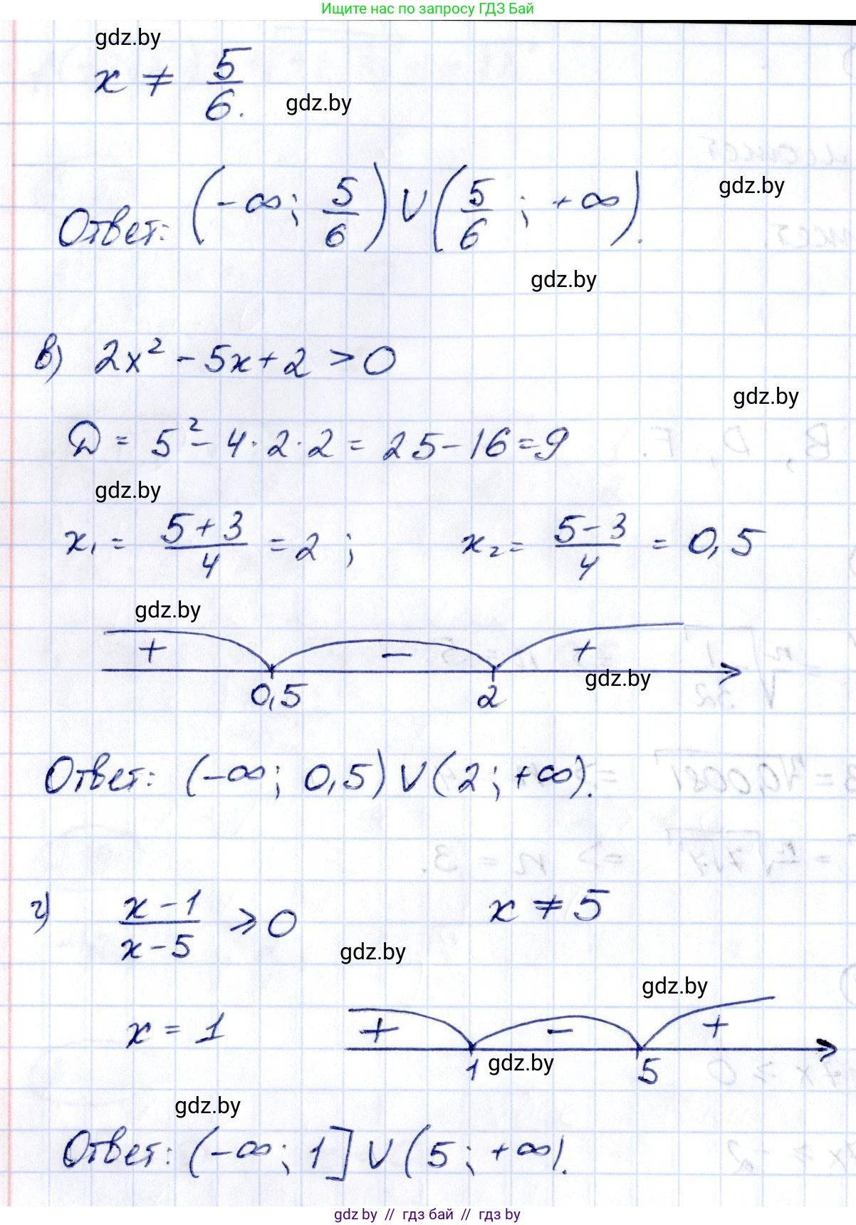
б)Функция $f(x) = \frac{3}{\sqrt[5]{5 - 6x}}$. Данная функция содержит корень нечетной степени (5-й степени) в знаменателе. Корень нечетной степени определен для любого действительного значения подкоренного выражения. Однако, поскольку корень находится в знаменателе дроби, значение знаменателя не может быть равно нулю. Следовательно, мы должны решить условие:$\sqrt[5]{5 - 6x} \ne 0$Возведем обе части в 5-ю степень:$5 - 6x \ne 0$Решим уравнение относительно $x$:$-6x \ne -5$$x \ne \frac{5}{6}$Таким образом, область определения функции — это все действительные числа, кроме $x = \frac{5}{6}$. В виде промежутков это записывается как $(-\infty; \frac{5}{6}) \cup (\frac{5}{6}; +\infty)$. Ответ: $D(f) = (-\infty; \frac{5}{6}) \cup (\frac{5}{6}; +\infty)$.

в)Функция $f(x) = \frac{8}{\sqrt[6]{2x^2 - 5x + 2}}$. Данная функция содержит корень четной степени (6-й степени) в знаменателе. Это накладывает два условия:1. Подкоренное выражение должно быть неотрицательным: $2x^2 - 5x + 2 \ge 0$.2. Знаменатель не должен быть равен нулю: $\sqrt[6]{2x^2 - 5x + 2} \ne 0$, что эквивалентно $2x^2 - 5x + 2 \ne 0$. Объединяя эти два условия, получаем, что подкоренное выражение должно быть строго положительным:$2x^2 - 5x + 2 > 0$Для решения этого квадратного неравенства найдем корни соответствующего уравнения $2x^2 - 5x + 2 = 0$. Вычислим дискриминант:$D = b^2 - 4ac = (-5)^2 - 4 \cdot 2 \cdot 2 = 25 - 16 = 9$. Найдем корни:$x_1 = \frac{-b - \sqrt{D}}{2a} = \frac{5 - 3}{2 \cdot 2} = \frac{2}{4} = \frac{1}{2}$$x_2 = \frac{-b + \sqrt{D}}{2a} = \frac{5 + 3}{2 \cdot 2} = \frac{8}{4} = 2$Так как коэффициент при $x^2$ положителен ($a=2>0$), ветви параболы $y = 2x^2 - 5x + 2$ направлены вверх. Следовательно, неравенство $2x^2 - 5x + 2 > 0$ выполняется для значений $x$, находящихся за пределами корней.$x < \frac{1}{2}$ или $x > 2$. Таким образом, область определения функции — это объединение двух промежутков: $(-\infty; \frac{1}{2}) \cup (2; +\infty)$. Ответ: $D(f) = (-\infty; \frac{1}{2}) \cup (2; +\infty)$.

г)Функция $f(x) = \sqrt[4]{\frac{x-1}{x-5}}$. Функция содержит корень четной степени (4-й степени). Это означает, что подкоренное выражение должно быть неотрицательным. Кроме того, знаменатель дроби не может быть равен нулю. Получаем систему условий:$ \begin{cases} \frac{x-1}{x-5} \ge 0 \\ x-5 \ne 0 \end{cases} $Второе условие $x \ne 5$ учтем при решении неравенства методом интервалов. Решим неравенство $\frac{x-1}{x-5} \ge 0$ методом интервалов. Найдем нули числителя и знаменателя:$x - 1 = 0 \implies x = 1$$x - 5 = 0 \implies x = 5$Отметим эти точки на числовой прямой. Точка $x=1$ будет закрашенной (включается в решение), так как неравенство нестрогое, а точка $x=5$ будет выколотой (не включается в решение), так как она обращает знаменатель в ноль. Эти точки делят прямую на три интервала: $(-\infty; 1]$, $(1; 5)$ и $(5; +\infty)$. Определим знак выражения $\frac{x-1}{x-5}$ на каждом интервале:

  • При $x \in (-\infty; 1]$ (например, $x=0$): $\frac{0-1}{0-5} = \frac{-1}{-5} = \frac{1}{5} > 0$. Интервал подходит.
  • При $x \in (1; 5)$ (например, $x=2$): $\frac{2-1}{2-5} = \frac{1}{-3} < 0$. Интервал не подходит.
  • При $x \in (5; +\infty)$ (например, $x=6$): $\frac{6-1}{6-5} = \frac{5}{1} = 5 > 0$. Интервал подходит.

Объединяя подходящие интервалы, получаем область определения: $x \in (-\infty; 1] \cup (5; +\infty)$. Ответ: $D(f) = (-\infty; 1] \cup (5; +\infty)$.

Помогло решение? Оставьте отзыв в комментариях ниже.

Присоединяйтесь к Телеграм-группе @gdz_by_belarus

Присоединиться

Мы подготовили для вас ответ c подробным объяснением домашего задания по алгебре за 10 класс, для упражнения номер 2.199 расположенного на странице 199 к учебнику 2019 года издания для учащихся школ и гимназий.

Теперь на нашем сайте ГДЗ.ТОП вы всегда легко и бесплатно найдёте условие с правильным ответом на вопрос «Как решить ДЗ» и «Как сделать» задание по алгебре к упражнению №2.199 (с. 199), авторов: Арефьева (Ирина Глебовна), Пирютко (Ольга Николаевна), учебного пособия издательства Народная асвета.