Номер 2.20, страница 167 - гдз по алгебре 10 класс учебник Арефьева, Пирютко

Алгебра, 10 класс Учебник, авторы: Арефьева Ирина Глебовна, Пирютко Ольга Николаевна, издательство Народная асвета, Минск, 2019, голубого цвета

Авторы: Арефьева И. Г., Пирютко О. Н.

Тип: Учебник

Издательство: Народная асвета

Год издания: 2019 - 2025

Цвет обложки: голубой с графиком

Допущено Министерством образования Республики Беларусь

Популярные ГДЗ в 10 классе

Глава 2. Корень n-й степени из числа. Параграф 13. Корень n-й степени из числа а (n≥2, n∈N) - номер 2.20, страница 167.

№2.20 (с. 167)
Условие. №2.20 (с. 167)
скриншот условия
Алгебра, 10 класс Учебник, авторы: Арефьева Ирина Глебовна, Пирютко Ольга Николаевна, издательство Народная асвета, Минск, 2019, голубого цвета, страница 167, номер 2.20, Условие

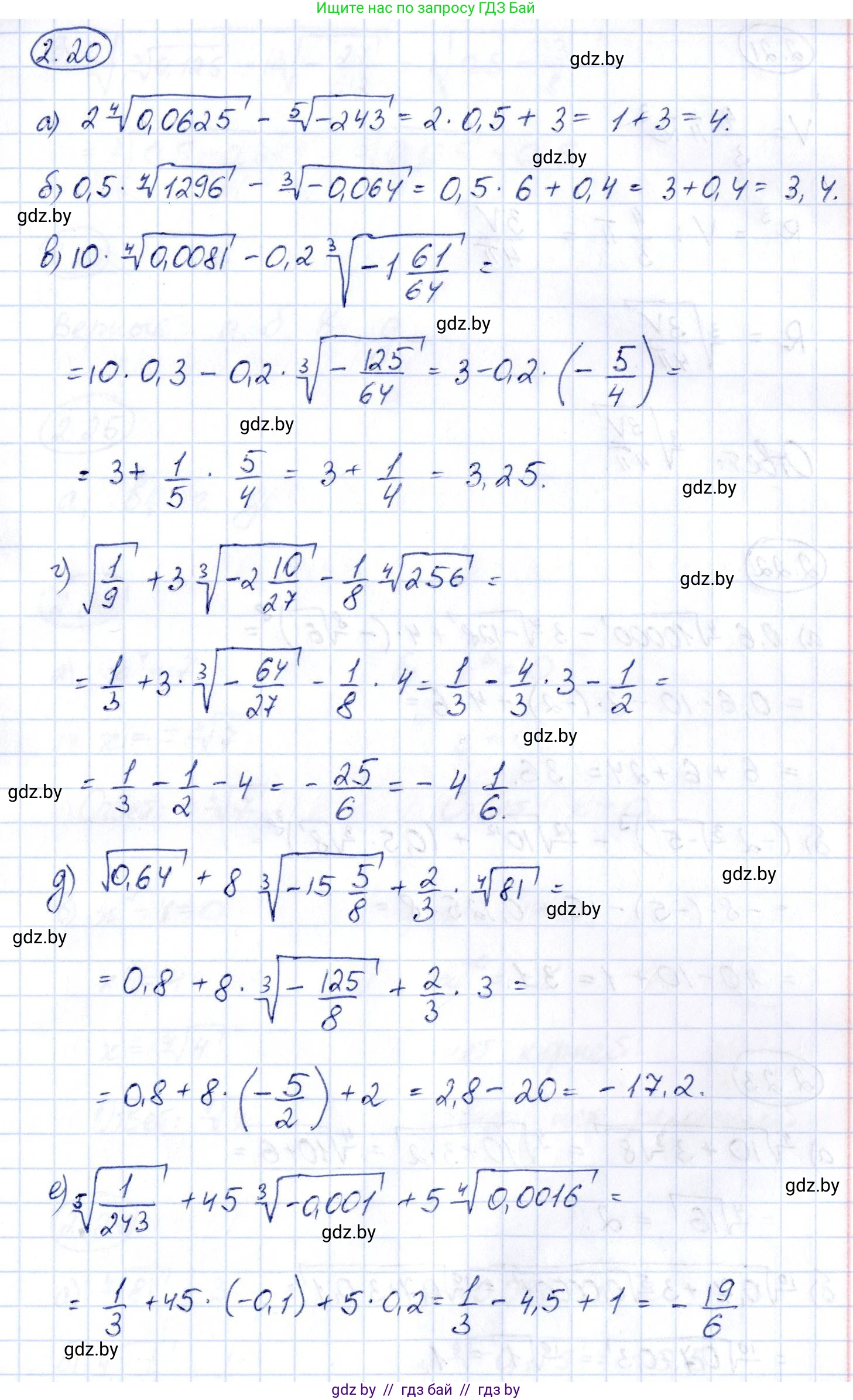
2.20. Вычислите:

а) $2\sqrt[4]{0.0625} - 5\sqrt[5]{-243};$

б) $\frac{1}{2}\sqrt[4]{1296} - \sqrt[3]{-0.064};$

в) $10\sqrt[4]{0.0081} - 0.2\sqrt[3]{-1\frac{61}{64}};$

г) $\sqrt{\frac{1}{9}} + 3\sqrt[3]{-2\frac{10}{27}} - \frac{1}{8}\sqrt[4]{256};$

д) $\sqrt{0.64} + 8\sqrt[3]{-15\frac{5}{8}} + \frac{2}{3}\sqrt[4]{81};$

е) $5\sqrt[5]{\frac{1}{243}} + 45\sqrt[3]{-0.001} + 5\sqrt[4]{0.0016}.$

Решение. №2.20 (с. 167)
Алгебра, 10 класс Учебник, авторы: Арефьева Ирина Глебовна, Пирютко Ольга Николаевна, издательство Народная асвета, Минск, 2019, голубого цвета, страница 167, номер 2.20, Решение
Решение 2. №2.20 (с. 167)
а) $2\sqrt[4]{0,0625} - \sqrt[5]{-243}$
Для решения данного выражения необходимо вычислить каждый корень по отдельности и выполнить арифметические действия.
1. Найдем значение корня четвертой степени из 0,0625. Десятичную дробь 0,0625 можно представить как $0,5^4$. Следовательно, $\sqrt[4]{0,0625} = \sqrt[4]{0,5^4} = 0,5$.
2. Найдем значение корня пятой степени из -243. Так как степень корня нечетная (5), можно извлекать корень из отрицательного числа. Число 243 это $3^5$, значит $-243 = (-3)^5$. Таким образом, $\sqrt[5]{-243} = \sqrt[5]{(-3)^5} = -3$.
3. Подставим найденные значения в исходное выражение: $2 \cdot 0,5 - (-3) = 1 + 3 = 4$.
Ответ: 4.
б) $\frac{1}{2}\sqrt[4]{1296} - \sqrt[3]{-0,064}$
Решим по шагам:
1. Вычислим $\sqrt[4]{1296}$. Известно, что $6^2 = 36$ и $36^2 = 1296$, значит $6^4 = 1296$. Поэтому $\sqrt[4]{1296} = 6$.
2. Вычислим $\sqrt[3]{-0,064}$. Десятичная дробь $-0,064$ может быть представлена как $(-0,4)^3$. Следовательно, $\sqrt[3]{-0,064} = \sqrt[3]{(-0,4)^3} = -0,4$.
3. Подставим значения в выражение: $\frac{1}{2} \cdot 6 - (-0,4) = 3 + 0,4 = 3,4$.
Ответ: 3,4.
в) $10\sqrt[4]{0,0081} - 0,2\sqrt[3]{-1\frac{61}{64}}$
Выполним вычисления по частям:
1. Вычислим $\sqrt[4]{0,0081}$. Так как $0,0081 = 0,3^4$, то $\sqrt[4]{0,0081} = 0,3$.
2. Вычислим $\sqrt[3]{-1\frac{61}{64}}$. Сначала преобразуем смешанную дробь в неправильную: $-1\frac{61}{64} = -\frac{1 \cdot 64 + 61}{64} = -\frac{125}{64}$. Теперь извлечем корень: $\sqrt[3]{-\frac{125}{64}} = \sqrt[3]{\frac{(-5)^3}{4^3}} = -\frac{5}{4}$.
3. Подставим значения в исходное выражение: $10 \cdot 0,3 - 0,2 \cdot (-\frac{5}{4}) = 3 - \frac{2}{10} \cdot (-\frac{5}{4}) = 3 + \frac{1}{5} \cdot \frac{5}{4} = 3 + \frac{1}{4} = 3,25$.
Ответ: 3,25.
г) $\sqrt{\frac{1}{9}} + 3\sqrt[3]{-2\frac{10}{27}} - \frac{1}{8}\sqrt[4]{256}$
Вычислим значение каждого слагаемого:
1. $\sqrt{\frac{1}{9}} = \frac{1}{3}$.
2. $\sqrt[3]{-2\frac{10}{27}}$. Преобразуем смешанную дробь в неправильную: $-2\frac{10}{27} = -\frac{2 \cdot 27 + 10}{27} = -\frac{54+10}{27} = -\frac{64}{27}$. Тогда $\sqrt[3]{-\frac{64}{27}} = \sqrt[3]{\frac{(-4)^3}{3^3}} = -\frac{4}{3}$.
3. $\sqrt[4]{256}$. Так как $4^4 = 256$, то $\sqrt[4]{256} = 4$.
4. Подставим все значения и вычислим, приведя дроби к общему знаменателю 6: $\frac{1}{3} + 3 \cdot (-\frac{4}{3}) - \frac{1}{8} \cdot 4 = \frac{1}{3} - 4 - \frac{4}{8} = \frac{1}{3} - 4 - \frac{1}{2} = \frac{2}{6} - \frac{24}{6} - \frac{3}{6} = \frac{2 - 24 - 3}{6} = -\frac{25}{6}$.
5. Выделим целую часть из неправильной дроби: $-\frac{25}{6} = -4\frac{1}{6}$.
Ответ: $-4\frac{1}{6}$.
д) $\sqrt{0,64} + 8\sqrt[3]{-15\frac{5}{8}} + \frac{2}{3}\sqrt[4]{81}$
Решим по шагам:
1. $\sqrt{0,64} = 0,8$.
2. $\sqrt[3]{-15\frac{5}{8}}$. Преобразуем в неправильную дробь: $-15\frac{5}{8} = -\frac{15 \cdot 8 + 5}{8} = -\frac{120+5}{8} = -\frac{125}{8}$. Тогда $\sqrt[3]{-\frac{125}{8}} = \sqrt[3]{\frac{(-5)^3}{2^3}} = -\frac{5}{2} = -2,5$.
3. $\frac{2}{3}\sqrt[4]{81} = \frac{2}{3} \cdot 3 = 2$.
4. Подставим все значения в выражение: $0,8 + 8 \cdot (-2,5) + 2 = 0,8 - 20 + 2 = -17,2$.
Ответ: -17,2.
е) $\sqrt[5]{\frac{1}{243}} + 45\sqrt[3]{-0,001} + 5\sqrt[4]{0,0016}$
Выполним вычисления по частям:
1. $\sqrt[5]{\frac{1}{243}} = \sqrt[5]{(\frac{1}{3})^5} = \frac{1}{3}$.
2. $45\sqrt[3]{-0,001} = 45 \cdot \sqrt[3]{(-0,1)^3} = 45 \cdot (-0,1) = -4,5$.
3. $5\sqrt[4]{0,0016} = 5 \cdot \sqrt[4]{0,2^4} = 5 \cdot 0,2 = 1$.
4. Подставим значения и вычислим: $\frac{1}{3} - 4,5 + 1 = \frac{1}{3} - 3,5$.
5. Приведем к общему знаменателю: $\frac{1}{3} - \frac{7}{2} = \frac{2}{6} - \frac{21}{6} = \frac{2 - 21}{6} = -\frac{19}{6}$.
6. Выделим целую часть из полученной неправильной дроби: $-\frac{19}{6} = -3\frac{1}{6}$.
Ответ: $-3\frac{1}{6}$.

Помогло решение? Оставьте отзыв в комментариях ниже.

Присоединяйтесь к Телеграм-группе @gdz_by_belarus

Присоединиться

Мы подготовили для вас ответ c подробным объяснением домашего задания по алгебре за 10 класс, для упражнения номер 2.20 расположенного на странице 167 к учебнику 2019 года издания для учащихся школ и гимназий.

Теперь на нашем сайте ГДЗ.ТОП вы всегда легко и бесплатно найдёте условие с правильным ответом на вопрос «Как решить ДЗ» и «Как сделать» задание по алгебре к упражнению №2.20 (с. 167), авторов: Арефьева (Ирина Глебовна), Пирютко (Ольга Николаевна), учебного пособия издательства Народная асвета.