Номер 2.57, страница 176 - гдз по алгебре 10 класс учебник Арефьева, Пирютко

Алгебра, 10 класс Учебник, авторы: Арефьева Ирина Глебовна, Пирютко Ольга Николаевна, издательство Народная асвета, Минск, 2019, голубого цвета

Авторы: Арефьева И. Г., Пирютко О. Н.

Тип: Учебник

Издательство: Народная асвета

Год издания: 2019 - 2025

Цвет обложки: голубой с графиком

Допущено Министерством образования Республики Беларусь

Популярные ГДЗ в 10 классе

Глава 2. Корень n-й степени из числа. Параграф 14. Свойства корней n-й степени (n>1, n∈N) - номер 2.57, страница 176.

№2.57 (с. 176)
Условие. №2.57 (с. 176)
скриншот условия
Алгебра, 10 класс Учебник, авторы: Арефьева Ирина Глебовна, Пирютко Ольга Николаевна, издательство Народная асвета, Минск, 2019, голубого цвета, страница 176, номер 2.57, Условие

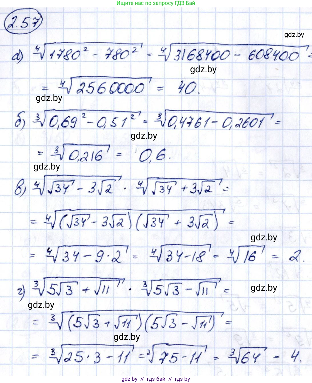
2.57. Найдите значение выражения на основании свойств корня n-й степени:

а) $\sqrt[4]{1780^2 - 780^2}$;

б) $\sqrt[3]{0,69^2 - 0,51^2}$;

в) $\sqrt[4]{34 - 3\sqrt{2}} \cdot \sqrt[4]{34 + 3\sqrt{2}}$;

г) $\sqrt[3]{5\sqrt{3} + \sqrt{11}} \cdot \sqrt[3]{5\sqrt{3} - \sqrt{11}}$.

Решение. №2.57 (с. 176)
Алгебра, 10 класс Учебник, авторы: Арефьева Ирина Глебовна, Пирютко Ольга Николаевна, издательство Народная асвета, Минск, 2019, голубого цвета, страница 176, номер 2.57, Решение
Решение 2. №2.57 (с. 176)

а) Для вычисления значения выражения $\sqrt[4]{1780^2 - 780^2}$ воспользуемся формулой разности квадратов $a^2 - b^2 = (a-b)(a+b)$ под знаком корня:
$\sqrt[4]{1780^2 - 780^2} = \sqrt[4]{(1780 - 780)(1780 + 780)}$
Вычислим значения в скобках:
$1780 - 780 = 1000$
$1780 + 780 = 2560$
Подставим полученные значения обратно в выражение:
$\sqrt[4]{1000 \cdot 2560} = \sqrt[4]{1000 \cdot 10 \cdot 256} = \sqrt[4]{10000 \cdot 256}$
Используем свойство корня $\sqrt[n]{ab} = \sqrt[n]{a} \cdot \sqrt[n]{b}$:
$\sqrt[4]{10000} \cdot \sqrt[4]{256}$
Так как $10^4 = 10000$ и $4^4 = 256$, то:
$\sqrt[4]{10^4} \cdot \sqrt[4]{4^4} = 10 \cdot 4 = 40$
Ответ: 40.

б) Для вычисления $\sqrt[3]{0.69^2 - 0.51^2}$ применим формулу разности квадратов $a^2 - b^2 = (a-b)(a+b)$:
$\sqrt[3]{(0.69 - 0.51)(0.69 + 0.51)}$
Выполним вычисления в скобках:
$0.69 - 0.51 = 0.18$
$0.69 + 0.51 = 1.2$
Получаем выражение:
$\sqrt[3]{0.18 \cdot 1.2} = \sqrt[3]{0.216}$
Так как $0.6^3 = 0.6 \cdot 0.6 \cdot 0.6 = 0.216$, то:
$\sqrt[3]{0.216} = 0.6$
Ответ: 0.6.

в) Для вычисления произведения $\sqrt[4]{\sqrt{34} - 3\sqrt{2}} \cdot \sqrt[4]{\sqrt{34} + 3\sqrt{2}}$ используем свойство произведения корней одинаковой степени $\sqrt[n]{a} \cdot \sqrt[n]{b} = \sqrt[n]{ab}$:
$\sqrt[4]{(\sqrt{34} - 3\sqrt{2})(\sqrt{34} + 3\sqrt{2})}$
Под знаком корня находится произведение, которое является формулой разности квадратов $(a-b)(a+b) = a^2 - b^2$:
$(\sqrt{34})^2 - (3\sqrt{2})^2 = 34 - 3^2 \cdot (\sqrt{2})^2 = 34 - 9 \cdot 2 = 34 - 18 = 16$
Подставим результат в выражение:
$\sqrt[4]{16}$
Так как $2^4 = 16$, то:
$\sqrt[4]{16} = 2$
Ответ: 2.

г) Для вычисления $\sqrt[3]{5\sqrt{3} + \sqrt{11}} \cdot \sqrt[3]{5\sqrt{3} - \sqrt{11}}$ объединим множители под один корень, используя свойство $\sqrt[n]{a} \cdot \sqrt[n]{b} = \sqrt[n]{ab}$:
$\sqrt[3]{(5\sqrt{3} + \sqrt{11})(5\sqrt{3} - \sqrt{11})}$
Выражение в скобках является разностью квадратов $(a+b)(a-b) = a^2 - b^2$:
$(5\sqrt{3})^2 - (\sqrt{11})^2 = 5^2 \cdot (\sqrt{3})^2 - 11 = 25 \cdot 3 - 11 = 75 - 11 = 64$
Получаем:
$\sqrt[3]{64}$
Так как $4^3 = 64$, то:
$\sqrt[3]{64} = 4$
Ответ: 4.

Помогло решение? Оставьте отзыв в комментариях ниже.

Присоединяйтесь к Телеграм-группе @gdz_by_belarus

Присоединиться

Мы подготовили для вас ответ c подробным объяснением домашего задания по алгебре за 10 класс, для упражнения номер 2.57 расположенного на странице 176 к учебнику 2019 года издания для учащихся школ и гимназий.

Теперь на нашем сайте ГДЗ.ТОП вы всегда легко и бесплатно найдёте условие с правильным ответом на вопрос «Как решить ДЗ» и «Как сделать» задание по алгебре к упражнению №2.57 (с. 176), авторов: Арефьева (Ирина Глебовна), Пирютко (Ольга Николаевна), учебного пособия издательства Народная асвета.