Номер 2.72, страница 177 - гдз по алгебре 10 класс учебник Арефьева, Пирютко

Алгебра, 10 класс Учебник, авторы: Арефьева Ирина Глебовна, Пирютко Ольга Николаевна, издательство Народная асвета, Минск, 2019, голубого цвета

Авторы: Арефьева И. Г., Пирютко О. Н.

Тип: Учебник

Издательство: Народная асвета

Год издания: 2019 - 2025

Цвет обложки: голубой с графиком

Допущено Министерством образования Республики Беларусь

Популярные ГДЗ в 10 классе

Глава 2. Корень n-й степени из числа. Параграф 14. Свойства корней n-й степени (n>1, n∈N) - номер 2.72, страница 177.

№2.72 (с. 177)
Условие. №2.72 (с. 177)
скриншот условия
Алгебра, 10 класс Учебник, авторы: Арефьева Ирина Глебовна, Пирютко Ольга Николаевна, издательство Народная асвета, Минск, 2019, голубого цвета, страница 177, номер 2.72, Условие

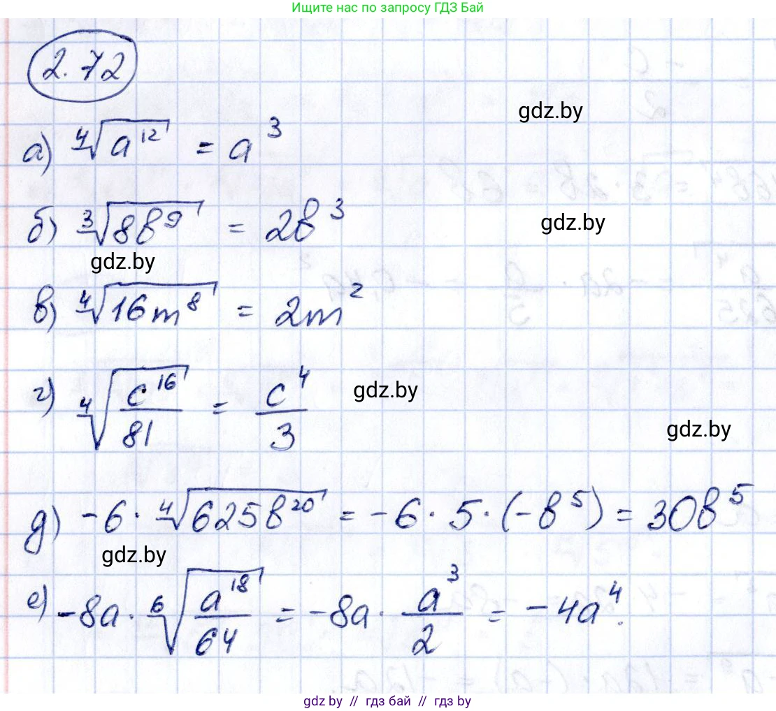
2.72. Упростите выражение:

а) $\sqrt[4]{a^{12}}$, если $a \ge 0$;

б) $\sqrt[3]{8b^9}$;

в) $\sqrt[4]{16m^8}$;

г) $\sqrt[4]{\frac{c^{16}}{81}}$;

д) $-6\sqrt[4]{625b^{20}}$, если $b < 0$;

е) $-8a^6\sqrt{\frac{a^{18}}{64}}$, если $a \ge 0$.

Решение. №2.72 (с. 177)
Алгебра, 10 класс Учебник, авторы: Арефьева Ирина Глебовна, Пирютко Ольга Николаевна, издательство Народная асвета, Минск, 2019, голубого цвета, страница 177, номер 2.72, Решение
Решение 2. №2.72 (с. 177)

а) Для упрощения выражения $ \sqrt[4]{a^{12}} $ при условии $ a \ge 0 $, воспользуемся свойством корня $ \sqrt[n]{x^m} = x^{\frac{m}{n}} $.

$ \sqrt[4]{a^{12}} = a^{\frac{12}{4}} = a^3 $.

Также можно решить задачу, представив подкоренное выражение в виде степени с показателем 4:

$ \sqrt[4]{a^{12}} = \sqrt[4]{(a^3)^4} $.

Согласно свойству $ \sqrt[2k]{x^{2k}} = |x| $, получаем $ |a^3| $. Поскольку по условию $ a \ge 0 $, то $ a^3 \ge 0 $, и, следовательно, $ |a^3| = a^3 $.
Ответ: $ a^3 $

б) Упростим выражение $ \sqrt[3]{8b^9} $.

Используем свойство корня из произведения $ \sqrt[n]{xy} = \sqrt[n]{x} \cdot \sqrt[n]{y} $:

$ \sqrt[3]{8b^9} = \sqrt[3]{8} \cdot \sqrt[3]{b^9} $.

Вычисляем каждый множитель отдельно: $ \sqrt[3]{8} = \sqrt[3]{2^3} = 2 $.

$ \sqrt[3]{b^9} = b^{\frac{9}{3}} = b^3 $.

Так как степень корня нечетная, знак переменной $b$ может быть любым. Перемножаем полученные результаты: $ 2 \cdot b^3 = 2b^3 $.
Ответ: $ 2b^3 $

в) Упростим выражение $ \sqrt[4]{16m^8} $.

Применим свойство корня из произведения:

$ \sqrt[4]{16m^8} = \sqrt[4]{16} \cdot \sqrt[4]{m^8} $.

Вычисляем каждый множитель: $ \sqrt[4]{16} = \sqrt[4]{2^4} = 2 $.

$ \sqrt[4]{m^8} = \sqrt[4]{(m^2)^4} = |m^2| $. Так как $ m^2 $ всегда является неотрицательным числом ($ m^2 \ge 0 $), то $ |m^2| = m^2 $.

Итоговый результат: $ 2 \cdot m^2 = 2m^2 $.
Ответ: $ 2m^2 $

г) Упростим выражение $ \sqrt[4]{\frac{c^{16}}{81}} $.

Воспользуемся свойством корня из дроби $ \sqrt[n]{\frac{x}{y}} = \frac{\sqrt[n]{x}}{\sqrt[n]{y}} $:

$ \sqrt[4]{\frac{c^{16}}{81}} = \frac{\sqrt[4]{c^{16}}}{\sqrt[4]{81}} $.

Вычисляем числитель и знаменатель: $ \sqrt[4]{c^{16}} = \sqrt[4]{(c^4)^4} = |c^4| = c^4 $ (поскольку $ c^4 \ge 0 $ при любом $c$).

$ \sqrt[4]{81} = \sqrt[4]{3^4} = 3 $.

Получаем дробь: $ \frac{c^4}{3} $.
Ответ: $ \frac{c^4}{3} $

д) Упростим выражение $ -6\sqrt[4]{625b^{20}} $ при условии $ b < 0 $.

Разобьем выражение под корнем на множители:

$ -6\sqrt[4]{625b^{20}} = -6 \cdot \sqrt[4]{625} \cdot \sqrt[4]{b^{20}} $.

Вычисляем корень из числа: $ \sqrt[4]{625} = \sqrt[4]{5^4} = 5 $.

Упрощаем корень из переменной: $ \sqrt[4]{b^{20}} = \sqrt[4]{(b^5)^4} = |b^5| $.

По условию $ b < 0 $. Так как $b$ - отрицательное число, то $ b^5 $ (возведение в нечетную степень) также будет отрицательным числом ($b^5 < 0$).

Следовательно, модуль $ |b^5| $ раскрывается как $ -b^5 $.

Собираем все части вместе: $ -6 \cdot 5 \cdot (-b^5) = -30 \cdot (-b^5) = 30b^5 $.
Ответ: $ 30b^5 $

е) Упростим выражение $ -8a\sqrt[6]{\frac{a^{18}}{64}} $ при условии $ a \ge 0 $.

Используем свойство корня из дроби:

$ -8a\sqrt[6]{\frac{a^{18}}{64}} = -8a \cdot \frac{\sqrt[6]{a^{18}}}{\sqrt[6]{64}} $.

Вычисляем корень в знаменателе: $ \sqrt[6]{64} = \sqrt[6]{2^6} = 2 $.

Упрощаем корень в числителе: $ \sqrt[6]{a^{18}} = \sqrt[6]{(a^3)^6} = |a^3| $.

По условию $ a \ge 0 $, следовательно $ a^3 \ge 0 $, и $ |a^3| = a^3 $.

Подставляем полученные значения в выражение: $ -8a \cdot \frac{a^3}{2} $.

Производим вычисления: $ \frac{-8a}{2} \cdot a^3 = -4a \cdot a^3 = -4a^{1+3} = -4a^4 $.
Ответ: $ -4a^4 $

Помогло решение? Оставьте отзыв в комментариях ниже.

Присоединяйтесь к Телеграм-группе @gdz_by_belarus

Присоединиться

Мы подготовили для вас ответ c подробным объяснением домашего задания по алгебре за 10 класс, для упражнения номер 2.72 расположенного на странице 177 к учебнику 2019 года издания для учащихся школ и гимназий.

Теперь на нашем сайте ГДЗ.ТОП вы всегда легко и бесплатно найдёте условие с правильным ответом на вопрос «Как решить ДЗ» и «Как сделать» задание по алгебре к упражнению №2.72 (с. 177), авторов: Арефьева (Ирина Глебовна), Пирютко (Ольга Николаевна), учебного пособия издательства Народная асвета.