Номер 2.281, страница 215 - гдз по алгебре 10 класс учебник Арефьева, Пирютко

Алгебра, 10 класс Учебник, авторы: Арефьева Ирина Глебовна, Пирютко Ольга Николаевна, издательство Народная асвета, Минск, 2019, голубого цвета

Авторы: Арефьева И. Г., Пирютко О. Н.

Тип: Учебник

Издательство: Народная асвета

Год издания: 2019 - 2025

Цвет обложки: голубой с графиком

Допущено Министерством образования Республики Беларусь

Популярные ГДЗ в 10 классе

Глава 2. Корень n-й степени из числа. Параграф 17. Иррациональные уравнения - номер 2.281, страница 215.

№2.281 (с. 215)
Условие. №2.281 (с. 215)
скриншот условия
Алгебра, 10 класс Учебник, авторы: Арефьева Ирина Глебовна, Пирютко Ольга Николаевна, издательство Народная асвета, Минск, 2019, голубого цвета, страница 215, номер 2.281, Условие

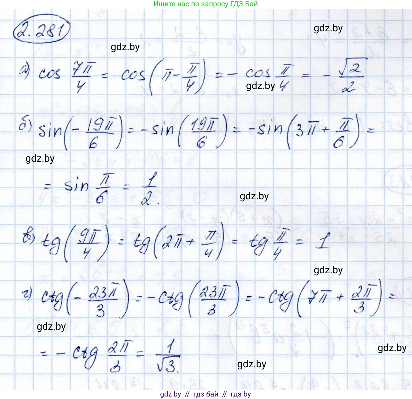
2.281. Вычислите:

a) $\cos\frac{7\pi}{4};$

б) $\sin\left(-\frac{19\pi}{6}\right);$

в) $\operatorname{tg}\frac{9\pi}{4};$

г) $\operatorname{ctg}\left(-\frac{23\pi}{3}\right).$

Решение. №2.281 (с. 215)
Алгебра, 10 класс Учебник, авторы: Арефьева Ирина Глебовна, Пирютко Ольга Николаевна, издательство Народная асвета, Минск, 2019, голубого цвета, страница 215, номер 2.281, Решение
Решение 2. №2.281 (с. 215)

а) Для вычисления значения $\cos\frac{7\pi}{4}$ представим угол в удобном виде. Выделим целую часть из дроби: $\frac{7}{4} = 1\frac{3}{4}$. Чтобы использовать периодичность косинуса (период $2\pi$), представим аргумент функции следующим образом: $$ \frac{7\pi}{4} = \frac{8\pi - \pi}{4} = 2\pi - \frac{\pi}{4} $$ Теперь можем вычислить косинус, используя формулу приведения $\cos(2\pi - \alpha) = \cos\alpha$: $$ \cos\frac{7\pi}{4} = \cos(2\pi - \frac{\pi}{4}) = \cos\frac{\pi}{4} = \frac{\sqrt{2}}{2} $$ Ответ: $\frac{\sqrt{2}}{2}$

б) Для вычисления $\sin(-\frac{19\pi}{6})$ воспользуемся свойством нечетности синуса: $\sin(-x) = -\sin(x)$. $$ \sin(-\frac{19\pi}{6}) = -\sin(\frac{19\pi}{6}) $$ Выделим целую часть из дроби: $\frac{19}{6} = 3\frac{1}{6}$. Чтобы использовать периодичность синуса (период $2\pi$), представим аргумент функции так: $$ \frac{19\pi}{6} = \frac{18\pi + \pi}{6} = 3\pi + \frac{\pi}{6} = 2\pi + (\pi + \frac{\pi}{6}) $$ Применим периодичность и формулу приведения $\sin(\pi + \alpha) = -\sin\alpha$: $$ -\sin(\frac{19\pi}{6}) = -\sin(2\pi + \pi + \frac{\pi}{6}) = -\sin(\pi + \frac{\pi}{6}) = -(-\sin\frac{\pi}{6}) = \sin\frac{\pi}{6} = \frac{1}{2} $$ Ответ: $\frac{1}{2}$

в) Для вычисления $\tg\frac{9\pi}{4}$ используем периодичность тангенса (период $\pi$). Выделим целую часть из дроби: $\frac{9}{4} = 2\frac{1}{4}$. Представим аргумент функции в удобном виде: $$ \frac{9\pi}{4} = \frac{8\pi + \pi}{4} = 2\pi + \frac{\pi}{4} $$ Поскольку $2\pi$ является кратным периоду $\pi$ ($2\pi=2\cdot\pi$), имеем: $$ \tg\frac{9\pi}{4} = \tg(2\pi + \frac{\pi}{4}) = \tg\frac{\pi}{4} = 1 $$ Ответ: $1$

г) Для вычисления $\ctg(-\frac{23\pi}{3})$ воспользуемся свойством нечетности котангенса: $\ctg(-x) = -\ctg(x)$. $$ \ctg(-\frac{23\pi}{3}) = -\ctg(\frac{23\pi}{3}) $$ Выделим целую часть из дроби: $\frac{23}{3} = 7\frac{2}{3}$. Чтобы использовать периодичность котангенса (период $\pi$), представим аргумент функции так: $$ \frac{23\pi}{3} = \frac{24\pi - \pi}{3} = 8\pi - \frac{\pi}{3} $$ Применим периодичность ($8\pi$ - кратное $\pi$) и свойство нечетности котангенса: $$ -\ctg(\frac{23\pi}{3}) = -\ctg(8\pi - \frac{\pi}{3}) = -\ctg(-\frac{\pi}{3}) = -(-\ctg\frac{\pi}{3}) = \ctg\frac{\pi}{3} = \frac{\sqrt{3}}{3} $$ Ответ: $\frac{\sqrt{3}}{3}$

Помогло решение? Оставьте отзыв в комментариях ниже.

Присоединяйтесь к Телеграм-группе @gdz_by_belarus

Присоединиться

Мы подготовили для вас ответ c подробным объяснением домашего задания по алгебре за 10 класс, для упражнения номер 2.281 расположенного на странице 215 к учебнику 2019 года издания для учащихся школ и гимназий.

Теперь на нашем сайте ГДЗ.ТОП вы всегда легко и бесплатно найдёте условие с правильным ответом на вопрос «Как решить ДЗ» и «Как сделать» задание по алгебре к упражнению №2.281 (с. 215), авторов: Арефьева (Ирина Глебовна), Пирютко (Ольга Николаевна), учебного пособия издательства Народная асвета.