Номер 3.105, страница 254 - гдз по алгебре 10 класс учебник Арефьева, Пирютко

Алгебра, 10 класс Учебник, авторы: Арефьева Ирина Глебовна, Пирютко Ольга Николаевна, издательство Народная асвета, Минск, 2019, голубого цвета

Авторы: Арефьева И. Г., Пирютко О. Н.

Тип: Учебник

Издательство: Народная асвета

Год издания: 2019 - 2025

Цвет обложки: голубой с графиком

Допущено Министерством образования Республики Беларусь

Популярные ГДЗ в 10 классе

Глава 3. Производная. Параграф 20. Геометрический смысл производной. Связь между знаком производной функции и ее возрастанием или убыванием - номер 3.105, страница 254.

№3.105 (с. 254)
Условие. №3.105 (с. 254)
скриншот условия
Алгебра, 10 класс Учебник, авторы: Арефьева Ирина Глебовна, Пирютко Ольга Николаевна, издательство Народная асвета, Минск, 2019, голубого цвета, страница 254, номер 3.105, Условие

3.105. Найдите тангенс угла наклона касательной к графику функции $y = f(x)$ в точке $x_0 = -2$, если:

a) $f(x) = 2x^3 - x^2$;

б) $f(x) = 3x - \frac{1}{x}$;

в) $f(x) = \frac{x - 5}{x - 1}$.

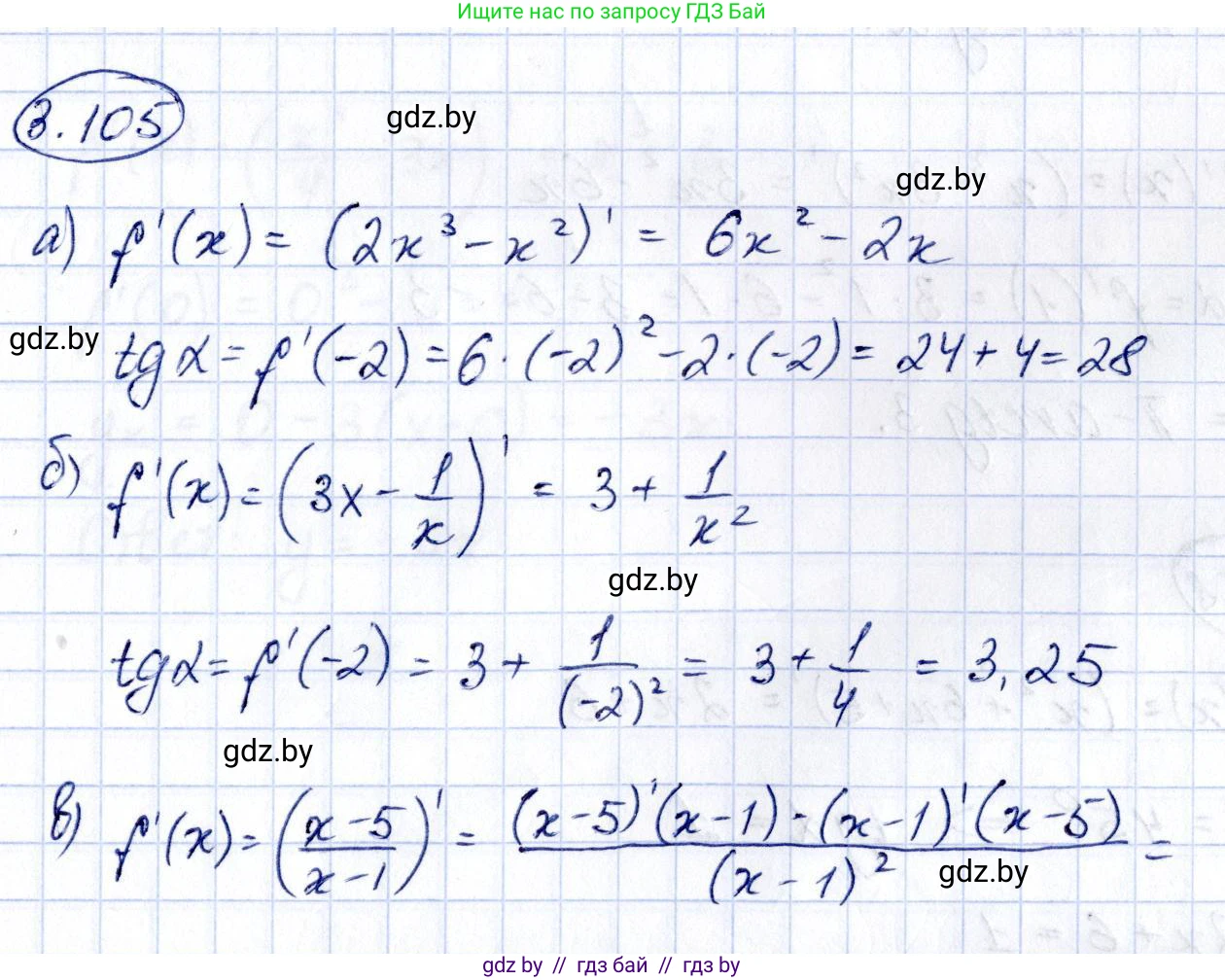
Решение. №3.105 (с. 254)
Алгебра, 10 класс Учебник, авторы: Арефьева Ирина Глебовна, Пирютко Ольга Николаевна, издательство Народная асвета, Минск, 2019, голубого цвета, страница 254, номер 3.105, Решение Алгебра, 10 класс Учебник, авторы: Арефьева Ирина Глебовна, Пирютко Ольга Николаевна, издательство Народная асвета, Минск, 2019, голубого цвета, страница 254, номер 3.105, Решение (продолжение 2)
Решение 2. №3.105 (с. 254)

Тангенс угла наклона касательной к графику функции в точке $x_0$ равен значению производной этой функции в данной точке. Это геометрический смысл производной: $k = \tan(\alpha) = f'(x_0)$. Чтобы найти тангенс угла наклона, необходимо найти производную каждой функции и вычислить ее значение в точке $x_0 = -2$.

а) Для функции $f(x) = 2x^3 - x^2$:

1. Находим производную функции $f'(x)$, используя правила дифференцирования:

$f'(x) = (2x^3 - x^2)' = (2x^3)' - (x^2)' = 2 \cdot 3x^2 - 2x = 6x^2 - 2x$.

2. Вычисляем значение производной в точке $x_0 = -2$:

$f'(-2) = 6(-2)^2 - 2(-2) = 6 \cdot 4 + 4 = 24 + 4 = 28$.

Ответ: 28.

б) Для функции $f(x) = 3x - \frac{1}{x}$:

1. Находим производную функции $f'(x)$. Для удобства представим функцию в виде $f(x) = 3x - x^{-1}$:

$f'(x) = (3x - x^{-1})' = (3x)' - (x^{-1})' = 3 - (-1)x^{-2} = 3 + x^{-2} = 3 + \frac{1}{x^2}$.

2. Вычисляем значение производной в точке $x_0 = -2$:

$f'(-2) = 3 + \frac{1}{(-2)^2} = 3 + \frac{1}{4} = \frac{12}{4} + \frac{1}{4} = \frac{13}{4}$.

Так как получилась неправильная дробь, выделим из нее целую часть: $\frac{13}{4} = 3\frac{1}{4}$.

Ответ: $\mathbf{3}\frac{1}{4}$.

в) Для функции $f(x) = \frac{x-5}{x-1}$:

1. Находим производную функции $f'(x)$, используя правило дифференцирования частного $(\frac{u}{v})' = \frac{u'v - uv'}{v^2}$:

$f'(x) = \left(\frac{x-5}{x-1}\right)' = \frac{(x-5)'(x-1) - (x-5)(x-1)'}{(x-1)^2} = \frac{1 \cdot (x-1) - (x-5) \cdot 1}{(x-1)^2} = \frac{x-1-x+5}{(x-1)^2} = \frac{4}{(x-1)^2}$.

2. Вычисляем значение производной в точке $x_0 = -2$:

$f'(-2) = \frac{4}{(-2-1)^2} = \frac{4}{(-3)^2} = \frac{4}{9}$.

Ответ: $\frac{4}{9}$.

Помогло решение? Оставьте отзыв в комментариях ниже.

Присоединяйтесь к Телеграм-группе @gdz_by_belarus

Присоединиться

Мы подготовили для вас ответ c подробным объяснением домашего задания по алгебре за 10 класс, для упражнения номер 3.105 расположенного на странице 254 к учебнику 2019 года издания для учащихся школ и гимназий.

Теперь на нашем сайте ГДЗ.ТОП вы всегда легко и бесплатно найдёте условие с правильным ответом на вопрос «Как решить ДЗ» и «Как сделать» задание по алгебре к упражнению №3.105 (с. 254), авторов: Арефьева (Ирина Глебовна), Пирютко (Ольга Николаевна), учебного пособия издательства Народная асвета.