Номер 3.72, страница 239 - гдз по алгебре 10 класс учебник Арефьева, Пирютко

Алгебра, 10 класс Учебник, авторы: Арефьева Ирина Глебовна, Пирютко Ольга Николаевна, издательство Народная асвета, Минск, 2019, голубого цвета

Авторы: Арефьева И. Г., Пирютко О. Н.

Тип: Учебник

Издательство: Народная асвета

Год издания: 2019 - 2025

Цвет обложки: голубой с графиком

Допущено Министерством образования Республики Беларусь

Популярные ГДЗ в 10 классе

Глава 3. Производная. Параграф 19. Правила вычисления производных - номер 3.72, страница 239.

№3.72 (с. 239)
Условие. №3.72 (с. 239)
скриншот условия
Алгебра, 10 класс Учебник, авторы: Арефьева Ирина Глебовна, Пирютко Ольга Николаевна, издательство Народная асвета, Минск, 2019, голубого цвета, страница 239, номер 3.72, Условие

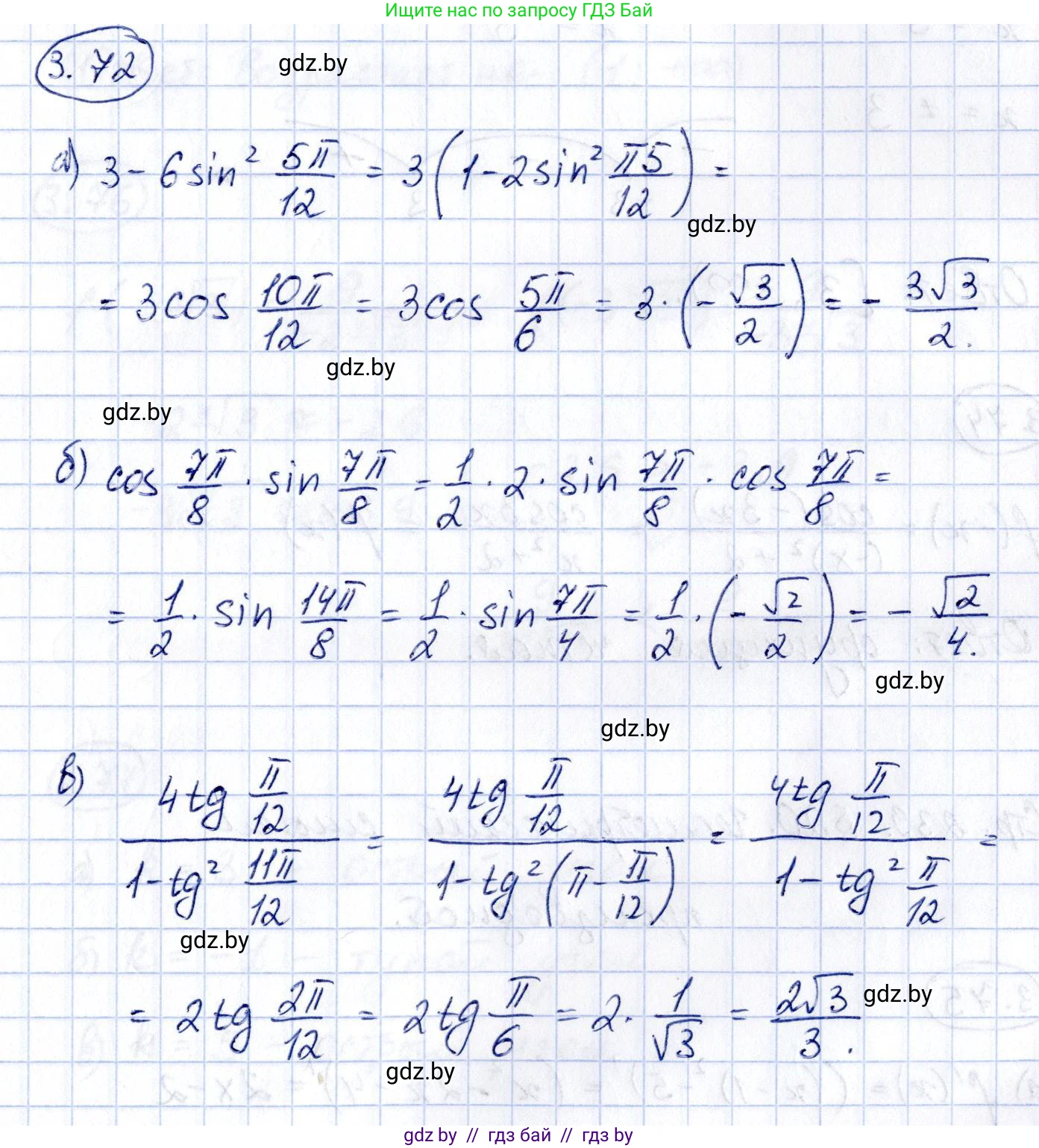
3.72. Примените формулы двойного угла и найдите значение выражения:

a) $3 - 6\sin^2 \frac{5\pi}{12}$;$

б) $\cos \frac{7\pi}{8}\sin \frac{7\pi}{8}$;$

в) $\frac{4\operatorname{tg}\frac{\pi}{12}}{1 - \operatorname{tg}^2 \frac{11\pi}{12}}\cdot$

Решение. №3.72 (с. 239)
Алгебра, 10 класс Учебник, авторы: Арефьева Ирина Глебовна, Пирютко Ольга Николаевна, издательство Народная асвета, Минск, 2019, голубого цвета, страница 239, номер 3.72, Решение
Решение 2. №3.72 (с. 239)

а) В выражении $3 - 6\sin^2 \frac{5\pi}{12}$ вынесем общий множитель 3 за скобки:
$3 - 6\sin^2 \frac{5\pi}{12} = 3(1 - 2\sin^2 \frac{5\pi}{12})$.
Выражение в скобках соответствует формуле косинуса двойного угла: $\cos(2\alpha) = 1 - 2\sin^2\alpha$, где $\alpha = \frac{5\pi}{12}$.
Применим эту формулу:
$1 - 2\sin^2 \frac{5\pi}{12} = \cos(2 \cdot \frac{5\pi}{12}) = \cos(\frac{10\pi}{12}) = \cos(\frac{5\pi}{6})$.
Найдем значение косинуса, используя формулу приведения:
$\cos(\frac{5\pi}{6}) = \cos(\pi - \frac{\pi}{6}) = -\cos(\frac{\pi}{6}) = -\frac{\sqrt{3}}{2}$.
Подставим это значение обратно в исходное выражение:
$3 \cdot \cos(\frac{5\pi}{6}) = 3 \cdot (-\frac{\sqrt{3}}{2}) = -\frac{3\sqrt{3}}{2}$.
Ответ: $-\frac{3\sqrt{3}}{2}$.

б) Рассмотрим выражение $\cos\frac{7\pi}{8}\sin\frac{7\pi}{8}$.
Используем формулу синуса двойного угла: $\sin(2\alpha) = 2\sin\alpha\cos\alpha$.
Чтобы применить эту формулу, умножим и разделим выражение на 2:
$\cos\frac{7\pi}{8}\sin\frac{7\pi}{8} = \frac{1}{2}(2\sin\frac{7\pi}{8}\cos\frac{7\pi}{8})$.
Теперь применим формулу, где $\alpha = \frac{7\pi}{8}$:
$\frac{1}{2}(2\sin\frac{7\pi}{8}\cos\frac{7\pi}{8}) = \frac{1}{2}\sin(2 \cdot \frac{7\pi}{8}) = \frac{1}{2}\sin(\frac{14\pi}{8}) = \frac{1}{2}\sin(\frac{7\pi}{4})$.
Найдем значение синуса, используя формулу приведения:
$\sin(\frac{7\pi}{4}) = \sin(2\pi - \frac{\pi}{4}) = -\sin(\frac{\pi}{4}) = -\frac{\sqrt{2}}{2}$.
Подставим это значение обратно:
$\frac{1}{2} \cdot (-\frac{\sqrt{2}}{2}) = -\frac{\sqrt{2}}{4}$.
Ответ: $-\frac{\sqrt{2}}{4}$.

в) Рассмотрим выражение $\frac{4\tg\frac{\pi}{12}}{1 - \tg^2\frac{11\pi}{12}}$.
Сначала упростим знаменатель. Используем свойство тангенса $\tg(\pi - \alpha) = -\tg\alpha$.
$\tg(\frac{11\pi}{12}) = \tg(\pi - \frac{\pi}{12}) = -\tg(\frac{\pi}{12})$.
Тогда $\tg^2(\frac{11\pi}{12}) = (-\tg(\frac{\pi}{12}))^2 = \tg^2(\frac{\pi}{12})$.
Теперь выражение можно переписать так, заменив $\tg^2\frac{11\pi}{12}$ на $\tg^2\frac{\pi}{12}$:
$\frac{4\tg\frac{\pi}{12}}{1 - \tg^2\frac{\pi}{12}}$.
Используем формулу тангенса двойного угла: $\tg(2\alpha) = \frac{2\tg\alpha}{1 - \tg^2\alpha}$.
Преобразуем наше выражение, чтобы оно соответствовало формуле. Вынесем 2 за дробь:
$2 \cdot \frac{2\tg\frac{\pi}{12}}{1 - \tg^2\frac{\pi}{12}}$.
Применим формулу, где $\alpha = \frac{\pi}{12}$:
$2 \cdot \tg(2 \cdot \frac{\pi}{12}) = 2 \cdot \tg(\frac{2\pi}{12}) = 2 \cdot \tg(\frac{\pi}{6})$.
Найдем значение тангенса:
$\tg(\frac{\pi}{6}) = \frac{\sqrt{3}}{3}$.
Подставим значение и вычислим результат:
$2 \cdot \frac{\sqrt{3}}{3} = \frac{2\sqrt{3}}{3}$.
Ответ: $\frac{2\sqrt{3}}{3}$.

Помогло решение? Оставьте отзыв в комментариях ниже.

Присоединяйтесь к Телеграм-группе @gdz_by_belarus

Присоединиться

Мы подготовили для вас ответ c подробным объяснением домашего задания по алгебре за 10 класс, для упражнения номер 3.72 расположенного на странице 239 к учебнику 2019 года издания для учащихся школ и гимназий.

Теперь на нашем сайте ГДЗ.ТОП вы всегда легко и бесплатно найдёте условие с правильным ответом на вопрос «Как решить ДЗ» и «Как сделать» задание по алгебре к упражнению №3.72 (с. 239), авторов: Арефьева (Ирина Глебовна), Пирютко (Ольга Николаевна), учебного пособия издательства Народная асвета.