Номер 95, страница 46 - гдз по геометрии 10 класс учебник Латотин, Чеботаревский

Геометрия, 10 класс Учебник, авторы: Латотин Леонид Александрович, Чеботаревский Борис Дмитриевич, Горбунова Ирина Владимировна, издательство Адукацыя i выхаванне, Минск, 2020, белого цвета

Авторы: Латотин Л. А., Чеботаревский Б. Д., Горбунова И. В.

Тип: Учебник

Издательство: Адукацыя i выхаванне

Год издания: 2020 - 2025

Уровень обучения: базовый и повышенный

Цвет обложки: белый в клеточку

Допущено Министерством образования Республики Беларусь

Популярные ГДЗ в 10 классе

Раздел 1. Введение в стериометрию. Параграф 3. Построение сечений многогранников. Задания - номер 95, страница 46.

№95 (с. 46)
Условие. №95 (с. 46)
скриншот условия
Геометрия, 10 класс Учебник, авторы: Латотин Леонид Александрович, Чеботаревский Борис Дмитриевич, Горбунова Ирина Владимировна, издательство Адукацыя i выхаванне, Минск, 2020, белого цвета, страница 46, номер 95, Условие Геометрия, 10 класс Учебник, авторы: Латотин Леонид Александрович, Чеботаревский Борис Дмитриевич, Горбунова Ирина Владимировна, издательство Адукацыя i выхаванне, Минск, 2020, белого цвета, страница 46, номер 95, Условие (продолжение 2)

95*. Четырёхугольник $RBCY$ — сечение прямоугольного параллелепипеда плоскостью, проходящей через прямую $RY$ и точку $A$ на луче $SS_1$ за точкой $S_1$ (рис. 130). Докажите, что это сечение является равнобедренной трапецией, и найдите её площадь, учитывая, что основанием параллелепипеда является квадрат $RSYZ$ со стороной $c$, высота $RR_1$ параллелепипеда равна $h$, а вершина $S_1$ делит отрезок $SA$ пополам.

Рис. 130

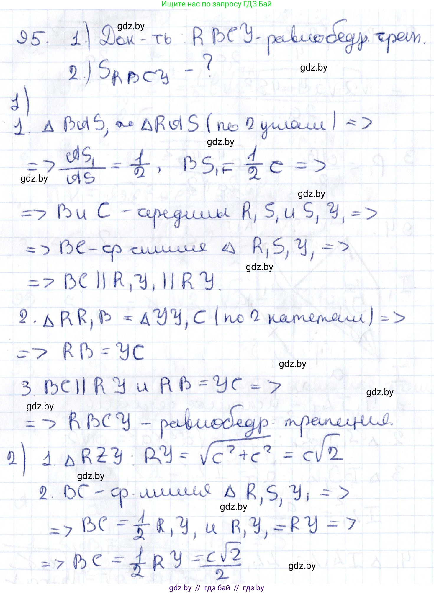
Решение 1. №95 (с. 46)
Геометрия, 10 класс Учебник, авторы: Латотин Леонид Александрович, Чеботаревский Борис Дмитриевич, Горбунова Ирина Владимировна, издательство Адукацыя i выхаванне, Минск, 2020, белого цвета, страница 46, номер 95, Решение 1 Геометрия, 10 класс Учебник, авторы: Латотин Леонид Александрович, Чеботаревский Борис Дмитриевич, Горбунова Ирина Владимировна, издательство Адукацыя i выхаванне, Минск, 2020, белого цвета, страница 46, номер 95, Решение 1 (продолжение 2)
Решение 2. №95 (с. 46)
Геометрия, 10 класс Учебник, авторы: Латотин Леонид Александрович, Чеботаревский Борис Дмитриевич, Горбунова Ирина Владимировна, издательство Адукацыя i выхаванне, Минск, 2020, белого цвета, страница 46, номер 95, Решение 2 Геометрия, 10 класс Учебник, авторы: Латотин Леонид Александрович, Чеботаревский Борис Дмитриевич, Горбунова Ирина Владимировна, издательство Адукацыя i выхаванне, Минск, 2020, белого цвета, страница 46, номер 95, Решение 2 (продолжение 2)
Решение 3. №95 (с. 46)

Обозначим данный прямоугольный параллелепипед как $RSYZR_1S_1Y_1Z_1$, где $RSYZ$ — нижнее основание (квадрат со стороной $c$), а $R_1S_1Y_1Z_1$ — верхнее основание. Высота параллелепипеда $RR_1 = h$.

Секущая плоскость $\alpha$ проходит через прямую $RY$ и точку $A$. Точка $A$ лежит на луче $SS_1$ за точкой $S_1$, причём $S_1$ — середина отрезка $SA$. Это означает, что $AS = 2 \cdot SS_1 = 2h$.

Вершинами сечения являются точки пересечения плоскости $\alpha$ с рёбрами параллелепипеда. Две вершины — это точки $R$ и $Y$. Другие вершины, обозначенные в задаче как $B$ и $C$, лежат на рёбрах верхнего основания.

Докажите, что это сечение является равнобедренной трапецией

1. Докажем, что сечение — трапеция.
Плоскости нижнего и верхнего оснований параллелепипеда параллельны: $(RSY) \parallel (R_1S_1Y_1)$. Секущая плоскость $\alpha$ пересекает эти параллельные плоскости по прямым $RY$ и $BC$ соответственно (где $B$ и $C$ — точки на рёбрах верхнего основания). По свойству параллельных плоскостей, линии их пересечения третьей плоскостью параллельны. Следовательно, $BC \parallel RY$. Четырёхугольник, у которого две стороны параллельны, является трапецией. Таким образом, сечение $RBCY$ является трапецией с основаниями $RY$ и $BC$.

2. Докажем, что трапеция — равнобедренная.
Для этого докажем равенство боковых сторон $RB$ и $YC$. Воспользуемся методом симметрии. Рассмотрим плоскость симметрии $\pi$, проходящую через диагональ $SZ$ основания и перпендикулярную плоскости основания. Так как основание $RSYZ$ — квадрат, эта плоскость является его плоскостью симметрии. Поскольку параллелепипед прямоугольный, плоскость $\pi$ также является плоскостью симметрии всего параллелепипеда.

При симметрии относительно плоскости $\pi$:

  • Вершина $R$ отображается в вершину $Y$, а $Y$ — в $R$.
  • Прямая $SS_1$ лежит в плоскости симметрии $\pi$, поэтому точка $A$, лежащая на этой прямой, также принадлежит плоскости $\pi$ и отображается сама в себя.

Секущая плоскость $\alpha$ задаётся тремя точками $R$, $Y$ и $A$. При отражении относительно $\pi$ эта тройка точек переходит в тройку $Y$, $R$, $A$, которая задаёт ту же самую плоскость $\alpha$. Следовательно, плоскость $\alpha$ симметрична самой себе относительно $\pi$.

Поскольку и параллелепипед, и секущая плоскость $\alpha$ симметричны относительно плоскости $\pi$, их пересечение — сечение $RBCY$ — также должно быть симметрично относительно $\pi$.

Боковая сторона $RB$ является линией пересечения плоскости $\alpha$ с гранью $RSS_1R_1$. При симметрии грань $RSS_1R_1$ отображается в грань $YSS_1Y_1$. Следовательно, отрезок $RB$ отображается в отрезок $YC$. Так как осевая симметрия является движением и сохраняет расстояния, длины отрезков $RB$ и $YC$ равны: $|RB| = |YC|$.

Трапеция, у которой боковые стороны равны, является равнобедренной. Что и требовалось доказать.

найдите её площадь

Площадь трапеции вычисляется по формуле $S = \frac{a+b}{2} \cdot h_{tr}$, где $a$ и $b$ — длины оснований, а $h_{tr}$ — высота трапеции.

1. Найдём длины оснований $RY$ и $BC$.
Основание $RY$ является диагональю квадрата $RSYZ$ со стороной $c$. По теореме Пифагора для $\triangle RSY$: $|RY| = \sqrt{RS^2 + SY^2} = \sqrt{c^2 + c^2} = c\sqrt{2}$.

Чтобы найти длину $BC$, определим положение точек $B$ и $C$. Рассмотрим подобные треугольники, образованные в плоскостях, проходящих через прямую $AS$.
В плоскости $(ASR)$ лежат отрезки $S_1B$ и $SR$. Так как $BC \parallel RY$, то проекция $BC$ на плоскость $(RSY)$ параллельна $RY$, а это влечёт $S_1B \parallel SR$. Треугольники $\triangle AS_1B$ и $\triangle ASR$ подобны. Из условия $S_1$ — середина $SA$, следует, что $AS = 2AS_1$. Коэффициент подобия равен $\frac{AS_1}{AS} = \frac{1}{2}$. Следовательно, $|S_1B| = \frac{1}{2}|SR| = \frac{c}{2}$. Точка $B$ лежит на ребре $R_1S_1$ и является его серединой. Аналогично, в плоскости $(ASY)$ треугольники $\triangle AS_1C$ и $\triangle ASY$ подобны с тем же коэффициентом $\frac{1}{2}$. Следовательно, $|S_1C| = \frac{1}{2}|SY| = \frac{c}{2}$. Точка $C$ лежит на ребре $S_1Y_1$ и является его серединой.

Теперь рассмотрим верхнее основание $R_1S_1Y_1Z_1$. $B$ — середина $R_1S_1$, $C$ — середина $S_1Y_1$. Значит, $BC$ — средняя линия треугольника $\triangle R_1S_1Y_1$. $|BC| = \frac{1}{2}|R_1Y_1|$. Так как $R_1Y_1$ — диагональ верхнего квадрата, $|R_1Y_1| = c\sqrt{2}$. Получаем $|BC| = \frac{c\sqrt{2}}{2}$.

2. Найдём высоту трапеции $h_{tr}$.
Высоту трапеции можно найти из прямоугольного треугольника, образованного боковой стороной $RB$, высотой $h_{tr}$ и отрезком, равным полуразности оснований. Длина боковой стороны $RB$. В прямоугольном треугольнике $\triangle RR_1B$ (угол $\angle RR_1B = 90^\circ$, так как ребро $RR_1$ перпендикулярно основанию): $|RB|^2 = |RR_1|^2 + |R_1B|^2$. $|RR_1| = h$, $|R_1B| = |R_1S_1| - |S_1B| = c - \frac{c}{2} = \frac{c}{2}$. $|RB|^2 = h^2 + \left(\frac{c}{2}\right)^2 = h^2 + \frac{c^2}{4}$.

Теперь найдем высоту трапеции $h_{tr}$: $h_{tr}^2 = |RB|^2 - \left(\frac{|RY| - |BC|}{2}\right)^2$ $h_{tr}^2 = \left(h^2 + \frac{c^2}{4}\right) - \left(\frac{c\sqrt{2} - \frac{c\sqrt{2}}{2}}{2}\right)^2 = \left(h^2 + \frac{c^2}{4}\right) - \left(\frac{\frac{c\sqrt{2}}{2}}{2}\right)^2$ $h_{tr}^2 = h^2 + \frac{c^2}{4} - \left(\frac{c\sqrt{2}}{4}\right)^2 = h^2 + \frac{c^2}{4} - \frac{2c^2}{16} = h^2 + \frac{c^2}{4} - \frac{c^2}{8} = h^2 + \frac{c^2}{8}$. $h_{tr} = \sqrt{h^2 + \frac{c^2}{8}}$.

3. Вычислим площадь сечения.
$S = \frac{|RY| + |BC|}{2} \cdot h_{tr} = \frac{c\sqrt{2} + \frac{c\sqrt{2}}{2}}{2} \cdot \sqrt{h^2 + \frac{c^2}{8}}$ $S = \frac{\frac{3c\sqrt{2}}{2}}{2} \cdot \sqrt{\frac{8h^2+c^2}{8}} = \frac{3c\sqrt{2}}{4} \cdot \frac{\sqrt{8h^2+c^2}}{\sqrt{8}} = \frac{3c\sqrt{2}}{4} \cdot \frac{\sqrt{8h^2+c^2}}{2\sqrt{2}}$ $S = \frac{3c\sqrt{8h^2+c^2}}{8}$.

Ответ: $\frac{3c\sqrt{8h^2+c^2}}{8}$.

Помогло решение? Оставьте отзыв в комментариях ниже.

Присоединяйтесь к Телеграм-группе @gdz_by_belarus

Присоединиться

Мы подготовили для вас ответ c подробным объяснением домашего задания по геометрии за 10 класс, для упражнения номер 95 расположенного на странице 46 к учебнику 2020 года издания для учащихся школ и гимназий.

Теперь на нашем сайте ГДЗ.ТОП вы всегда легко и бесплатно найдёте условие с правильным ответом на вопрос «Как решить ДЗ» и «Как сделать» задание по геометрии к упражнению №95 (с. 46), авторов: Латотин (Леонид Александрович), Чеботаревский (Борис Дмитриевич), Горбунова (Ирина Владимировна), базовый и повышенный уровень обучения учебного пособия издательства Адукацыя i выхаванне.