Номер 42, страница 45 - гдз по алгебре 11 класс сборник задач Арефьева, Пирютко

Алгебра, 11 класс Сборник задач, авторы: Арефьева Ирина Глебовна, Пирютко Ольга Николаевна, издательство Народная асвета, Минск, 2020, белого цвета

Авторы: Арефьева И. Г., Пирютко О. Н.

Тип: Сборник задач

Издательство: Народная асвета

Год издания: 2020 - 2025

Уровень обучения: базовый и повышенный

Цвет обложки: белый с графиком

Допущено Министерством образования Республики Беларусь

Популярные ГДЗ в 11 классе

Глава 2. Показательная функция. Параграф 6. Показательные неравенства - номер 42, страница 45.

№42 (с. 45)
Условие. №42 (с. 45)
скриншот условия
Алгебра, 11 класс Сборник задач, авторы: Арефьева Ирина Глебовна, Пирютко Ольга Николаевна, издательство Народная асвета, Минск, 2020, белого цвета, страница 45, номер 42, Условие

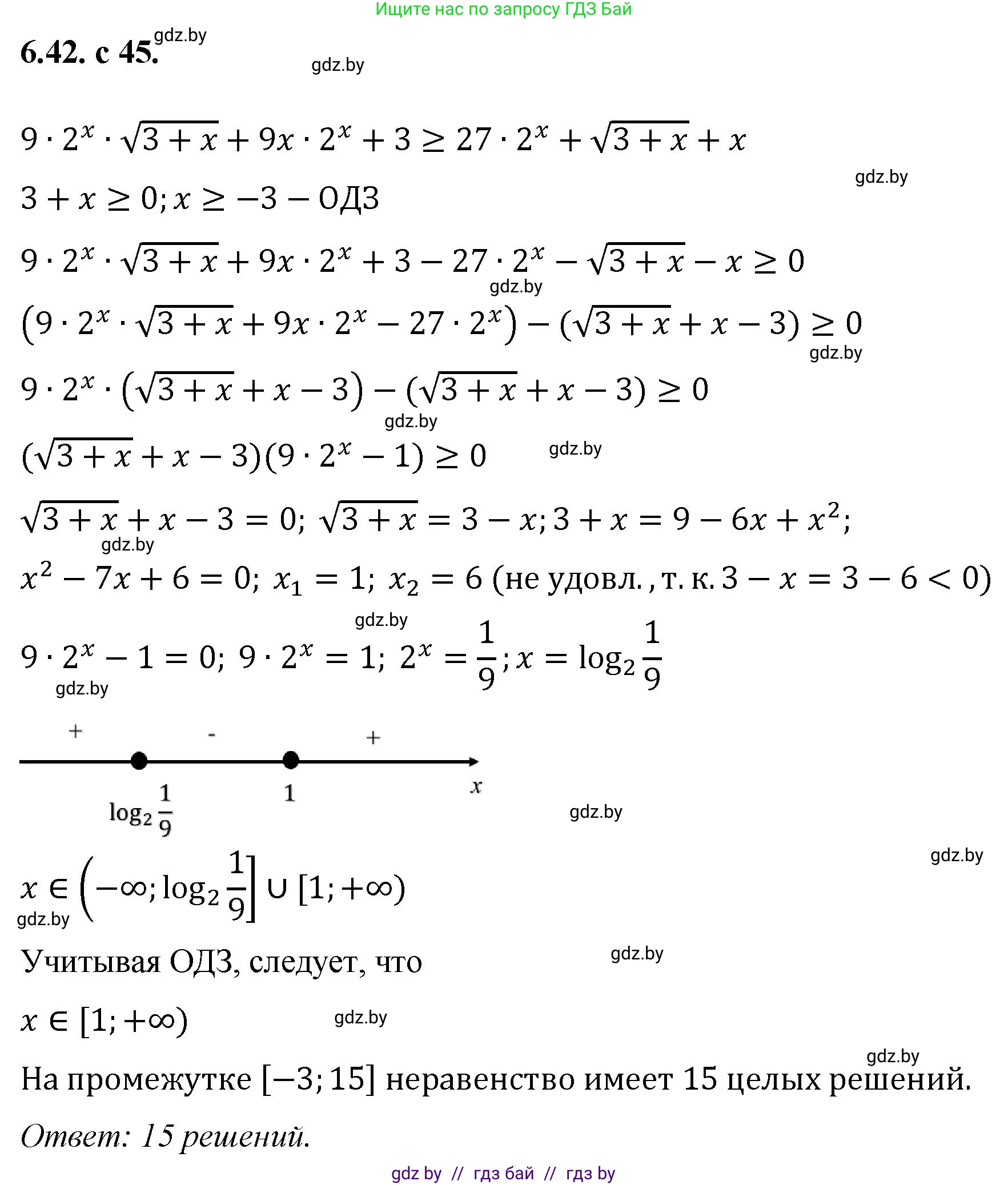
6.42. Найдите количество целых решений неравенства

$9 \cdot 2^x \cdot \sqrt{3 + x} + 9x \cdot 2^x + 3 \ge 27 \cdot 2^x + \sqrt{3 + x} + x$

на промежутке [-3; 15].

Решение. №42 (с. 45)
Алгебра, 11 класс Сборник задач, авторы: Арефьева Ирина Глебовна, Пирютко Ольга Николаевна, издательство Народная асвета, Минск, 2020, белого цвета, страница 45, номер 42, Решение
Решение 2. №42 (с. 45)

1. Определение области допустимых значений (ОДЗ)

Выражение под знаком квадратного корня в неравенстве должно быть неотрицательным:

$$3 + x \ge 0$$

$$x \ge -3$$

Таким образом, ОДЗ: $x \in [-3, +\infty)$. Заданный в условии промежуток $[-3; 15]$ полностью удовлетворяет этому условию.

2. Преобразование и упрощение неравенства

Перенесем все члены неравенства в левую часть:

$$9 \cdot 2^x \cdot \sqrt{3+x} - \sqrt{3+x} + 9x \cdot 2^x - x - 27 \cdot 2^x + 3 \ge 0$$

Сгруппируем слагаемые для последующего вынесения общего множителя:

$$(9 \cdot 2^x \cdot \sqrt{3+x} - \sqrt{3+x}) + (9x \cdot 2^x - x) - (27 \cdot 2^x - 3) \ge 0$$

Вынесем общие множители из каждой группы:

$$\sqrt{3+x}(9 \cdot 2^x - 1) + x(9 \cdot 2^x - 1) - 3(9 \cdot 2^x - 1) \ge 0$$

Теперь вынесем за скобки общий множитель $(9 \cdot 2^x - 1)$:

$$(9 \cdot 2^x - 1)(\sqrt{3+x} + x - 3) \ge 0$$

3. Решение упрощенного неравенства методом интервалов

Рассмотрим каждый множитель отдельно в пределах ОДЗ ($x \ge -3$).

Первый множитель: $9 \cdot 2^x - 1$.
Найдем корень уравнения $9 \cdot 2^x - 1 = 0$:
$9 \cdot 2^x = 1 \implies 2^x = \frac{1}{9} \implies x = \log_2(\frac{1}{9}) = -\log_2(9)$.
Поскольку $2^3 = 8$ и $2^4 = 16$, то $3 < \log_2(9) < 4$. Следовательно, $-4 < -\log_2(9) < -3$. Так как на всей области ОДЗ выполняется условие $x \ge -3$, то $x > -\log_2(9)$. Показательная функция $y=2^x$ возрастающая, поэтому $2^x > 2^{-\log_2(9)} = \frac{1}{9}$. Отсюда следует, что множитель $9 \cdot 2^x - 1$ всегда положителен на ОДЗ.

Поскольку первый множитель $(9 \cdot 2^x - 1)$ всегда положителен на ОДЗ, то знак произведения зависит только от знака второго множителя. Неравенство равносильно следующему:

$$\sqrt{3+x} + x - 3 \ge 0$$

$$\sqrt{3+x} \ge 3 - x$$

Для решения этого иррационального неравенства рассмотрим два случая.

Случай 1: Правая часть отрицательна. $3 - x < 0 \implies x > 3$.
В этом случае левая часть (квадратный корень) всегда неотрицательна, а правая — отрицательна. Неравенство вида «неотрицательное число $\ge$ отрицательное число» всегда верно. Следовательно, все $x > 3$ являются решениями.

Случай 2: Правая часть неотрицательна. $3 - x \ge 0 \implies x \le 3$.
В этом случае обе части неравенства неотрицательны, и мы можем возвести их в квадрат:
$$(\sqrt{3+x})^2 \ge (3-x)^2$$ $$3 + x \ge 9 - 6x + x^2$$ $$0 \ge x^2 - 7x + 6$$ $$x^2 - 7x + 6 \le 0$$ Корнями квадратного трехчлена $x^2 - 7x + 6$ являются $x_1=1$ и $x_2=6$. Поскольку ветви параболы направлены вверх, неравенство выполняется между корнями: $1 \le x \le 6$.
Учитывая условие этого случая ($x \le 3$), получаем итоговое решение для этого случая: $x \in [1, 3]$.

Объединяя решения из обоих случаев ($x>3$ и $x \in [1, 3]$), получаем общее решение неравенства: $x \in [1, +\infty)$.

4. Нахождение количества целых решений на заданном промежутке

Мы нашли, что решением неравенства является промежуток $x \in [1, +\infty)$. Теперь необходимо найти, сколько целых чисел из этого решения попадает в заданный промежуток $[-3; 15]$.

Для этого найдем пересечение множеств решений: $$ \begin{cases} x \ge 1 \\ -3 \le x \le 15 \end{cases} $$

Пересечением является промежуток $[1; 15]$.
Целые числа, принадлежащие этому промежутку: 1, 2, 3, 4, 5, 6, 7, 8, 9, 10, 11, 12, 13, 14, 15.
Чтобы найти их количество, можно из последнего целого числа вычесть первое и прибавить единицу: $15 - 1 + 1 = 15$.

Ответ: 15

Помогло решение? Оставьте отзыв в комментариях ниже.

Присоединяйтесь к Телеграм-группе @gdz_by_belarus

Присоединиться

Мы подготовили для вас ответ c подробным объяснением домашего задания по алгебре за 11 класс, для упражнения номер 42 расположенного на странице 45 к сборнику задач 2020 года издания для учащихся школ и гимназий.

Теперь на нашем сайте ГДЗ.ТОП вы всегда легко и бесплатно найдёте условие с правильным ответом на вопрос «Как решить ДЗ» и «Как сделать» задание по алгебре к упражнению №42 (с. 45), авторов: Арефьева (Ирина Глебовна), Пирютко (Ольга Николаевна), базовый и повышенный уровень обучения учебного пособия издательства Народная асвета.