Номер 25, страница 54 - гдз по алгебре 11 класс сборник задач Арефьева, Пирютко

Алгебра, 11 класс Сборник задач, авторы: Арефьева Ирина Глебовна, Пирютко Ольга Николаевна, издательство Народная асвета, Минск, 2020, белого цвета

Авторы: Арефьева И. Г., Пирютко О. Н.

Тип: Сборник задач

Издательство: Народная асвета

Год издания: 2020 - 2025

Уровень обучения: базовый и повышенный

Цвет обложки: белый с графиком

Допущено Министерством образования Республики Беларусь

Популярные ГДЗ в 11 классе

Глава 3. Логарифмическая функция. Параграф 7. Свойства логарифмов - номер 25, страница 54.

№25 (с. 54)
Условие. №25 (с. 54)
скриншот условия
Алгебра, 11 класс Сборник задач, авторы: Арефьева Ирина Глебовна, Пирютко Ольга Николаевна, издательство Народная асвета, Минск, 2020, белого цвета, страница 54, номер 25, Условие

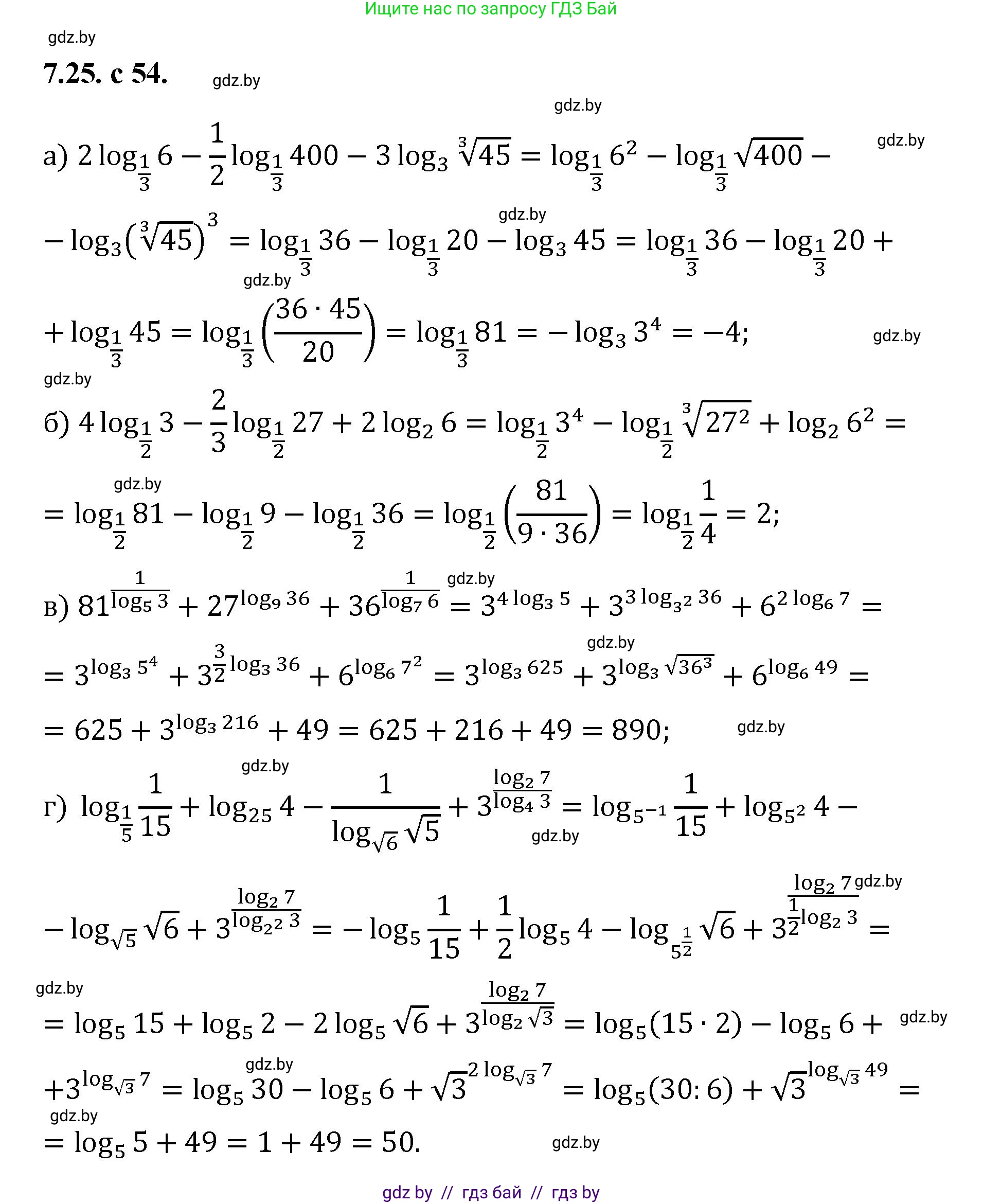
7.25. Найдите значение выражения:

a) $2\log_{\frac{1}{3}} 6 - \frac{1}{2}\log_{\frac{1}{3}} 400 - 3\log_{3} \sqrt[3]{45}$;

б) $4\log_{\frac{1}{2}} 3 - \frac{2}{3}\log_{\frac{1}{2}} 27 + 2\log_{2} 6$;

в) $81^{\log_{5} 3} + 27^{\log_{9} 36} + 36^{\frac{1}{\log_{7} 6}};

г) $\log_{\frac{1}{5}} \frac{1}{15} + \log_{25} 4 - \frac{1}{\log_{\sqrt{6}} \sqrt{5}} + 3^{\frac{\log_{2} 7}{\log_{4} 3}}.$

Решение. №25 (с. 54)
Алгебра, 11 класс Сборник задач, авторы: Арефьева Ирина Глебовна, Пирютко Ольга Николаевна, издательство Народная асвета, Минск, 2020, белого цвета, страница 54, номер 25, Решение
Решение 2. №25 (с. 54)

а) $2\log_{\frac{1}{3}} 6 - \frac{1}{2}\log_{\frac{1}{3}} 400 - 3\log_3 \sqrt[3]{45}$
Для решения приведем все логарифмы к одному основанию 3. Воспользуемся свойством логарифма $\log_{a^k} b = \frac{1}{k}\log_a b$ и, в частности, $\log_{\frac{1}{a}} b = \log_{a^{-1}} b = -\log_a b$.
$2\log_{\frac{1}{3}} 6 = 2(-\log_3 6) = -2\log_3 6$
$-\frac{1}{2}\log_{\frac{1}{3}} 400 = -\frac{1}{2}(-\log_3 400) = \frac{1}{2}\log_3 400$
$3\log_3 \sqrt[3]{45} = 3\log_3 45^{\frac{1}{3}} = 3 \cdot \frac{1}{3}\log_3 45 = \log_3 45$
Подставим преобразованные члены в исходное выражение:
$-2\log_3 6 + \frac{1}{2}\log_3 400 - \log_3 45$
Теперь используем свойство $n\log_a b = \log_a b^n$:
$\log_3 6^{-2} + \log_3 400^{\frac{1}{2}} - \log_3 45 = \log_3 \frac{1}{36} + \log_3 \sqrt{400} - \log_3 45 = \log_3 \frac{1}{36} + \log_3 20 - \log_3 45$
Применим свойства сложения и вычитания логарифмов $\log_a x + \log_a y = \log_a(xy)$ и $\log_a x - \log_a y = \log_a(\frac{x}{y})$:
$\log_3 \left( \frac{\frac{1}{36} \cdot 20}{45} \right) = \log_3 \left( \frac{20}{36 \cdot 45} \right) = \log_3 \left( \frac{4 \cdot 5}{4 \cdot 9 \cdot 5 \cdot 9} \right) = \log_3 \left( \frac{1}{81} \right)$
Так как $\frac{1}{81} = 3^{-4}$, получаем:
$\log_3 3^{-4} = -4$
Ответ: -4.

б) $4\log_{\frac{1}{2}} 3 - \frac{2}{3}\log_{\frac{1}{2}} 27 + 2\log_2 6$
Приведем все логарифмы к основанию 2, используя свойство $\log_{\frac{1}{a}} b = -\log_a b$:
$4(-\log_2 3) - \frac{2}{3}(-\log_2 27) + 2\log_2 6 = -4\log_2 3 + \frac{2}{3}\log_2 27 + 2\log_2 6$
Используем свойство $n\log_a b = \log_a b^n$:
$\log_2 3^{-4} + \log_2 27^{\frac{2}{3}} + \log_2 6^2 = \log_2 \frac{1}{81} + \log_2 (3^3)^{\frac{2}{3}} + \log_2 36$
$\log_2 \frac{1}{81} + \log_2 3^2 + \log_2 36 = \log_2 \frac{1}{81} + \log_2 9 + \log_2 36$
Объединим логарифмы, используя свойство $\log_a(xyz) = \log_a x + \log_a y + \log_a z$:
$\log_2 \left( \frac{1}{81} \cdot 9 \cdot 36 \right) = \log_2 \left( \frac{9 \cdot 36}{81} \right) = \log_2 \left( \frac{36}{9} \right) = \log_2 4$
Так как $4 = 2^2$, получаем:
$\log_2 2^2 = 2$
Ответ: 2.

в) $81^{\frac{1}{\log_5 3}} + 27^{\log_9 36} + 36^{\frac{1}{\log_7 6}}$
Упростим каждый член по отдельности, используя свойства степеней и логарифмов.
Для первого и третьего членов применим свойство $\frac{1}{\log_b a} = \log_a b$:
$81^{\frac{1}{\log_5 3}} = 81^{\log_3 5}$
$36^{\frac{1}{\log_7 6}} = 36^{\log_6 7}$
Теперь вычисляем значение каждого члена:
1) $81^{\log_3 5} = (3^4)^{\log_3 5} = 3^{4\log_3 5} = 3^{\log_3 5^4} = 5^4 = 625$
2) $27^{\log_9 36} = (3^3)^{\log_{3^2} 36} = 3^{3 \cdot \frac{1}{2}\log_3 36} = 3^{\frac{3}{2}\log_3 36} = 3^{\log_3 36^{\frac{3}{2}}} = 36^{\frac{3}{2}} = (6^2)^{\frac{3}{2}} = 6^3 = 216$
3) $36^{\log_6 7} = (6^2)^{\log_6 7} = 6^{2\log_6 7} = 6^{\log_6 7^2} = 7^2 = 49$
Сложим полученные значения:
$625 + 216 + 49 = 841 + 49 = 890$
Ответ: 890.

г) $\log_{\frac{1}{5}} \frac{1}{15} + \log_{25} 4 - \frac{1}{\log_{\sqrt{6}} \sqrt{5}} + 3^{\frac{\log_2 7}{\log_4 3}}$
Упростим выражение по частям.
Рассмотрим сумму первых трех логарифмов, приводя их к основанию 5:
$\log_{\frac{1}{5}} \frac{1}{15} = \log_{5^{-1}} 15^{-1} = \frac{-1}{-1}\log_5 15 = \log_5 15$
$\log_{25} 4 = \log_{5^2} 2^2 = \frac{2}{2}\log_5 2 = \log_5 2$
$-\frac{1}{\log_{\sqrt{6}} \sqrt{5}} = -\log_{\sqrt{5}} \sqrt{6} = -\log_{5^{1/2}} 6^{1/2} = -\frac{1/2}{1/2}\log_5 6 = -\log_5 6$
Сумма первых трех членов:
$\log_5 15 + \log_5 2 - \log_5 6 = \log_5(15 \cdot 2) - \log_5 6 = \log_5 30 - \log_5 6 = \log_5 \frac{30}{6} = \log_5 5 = 1$
Теперь упростим четвертый член $3^{\frac{\log_2 7}{\log_4 3}}$. Преобразуем показатель степени, используя формулу перехода к новому основанию $\log_a b = \frac{\log_c b}{\log_c a}$:
$\log_4 3 = \frac{\log_2 3}{\log_2 4} = \frac{\log_2 3}{2}$
Показатель степени равен: $\frac{\log_2 7}{\frac{\log_2 3}{2}} = 2 \frac{\log_2 7}{\log_2 3} = 2\log_3 7$
Тогда четвертый член: $3^{2\log_3 7} = 3^{\log_3 7^2} = 7^2 = 49$
Сложим все части: $1 + 49 = 50$
Ответ: 50.

Помогло решение? Оставьте отзыв в комментариях ниже.

Присоединяйтесь к Телеграм-группе @gdz_by_belarus

Присоединиться

Мы подготовили для вас ответ c подробным объяснением домашего задания по алгебре за 11 класс, для упражнения номер 25 расположенного на странице 54 к сборнику задач 2020 года издания для учащихся школ и гимназий.

Теперь на нашем сайте ГДЗ.ТОП вы всегда легко и бесплатно найдёте условие с правильным ответом на вопрос «Как решить ДЗ» и «Как сделать» задание по алгебре к упражнению №25 (с. 54), авторов: Арефьева (Ирина Глебовна), Пирютко (Ольга Николаевна), базовый и повышенный уровень обучения учебного пособия издательства Народная асвета.