Номер 9, страница 52 - гдз по алгебре 11 класс сборник задач Арефьева, Пирютко

Алгебра, 11 класс Сборник задач, авторы: Арефьева Ирина Глебовна, Пирютко Ольга Николаевна, издательство Народная асвета, Минск, 2020, белого цвета

Авторы: Арефьева И. Г., Пирютко О. Н.

Тип: Сборник задач

Издательство: Народная асвета

Год издания: 2020 - 2025

Уровень обучения: базовый и повышенный

Цвет обложки: белый с графиком

Допущено Министерством образования Республики Беларусь

Популярные ГДЗ в 11 классе

Глава 3. Логарифмическая функция. Параграф 7. Свойства логарифмов - номер 9, страница 52.

№9 (с. 52)
Условие. №9 (с. 52)
скриншот условия
Алгебра, 11 класс Сборник задач, авторы: Арефьева Ирина Глебовна, Пирютко Ольга Николаевна, издательство Народная асвета, Минск, 2020, белого цвета, страница 52, номер 9, Условие

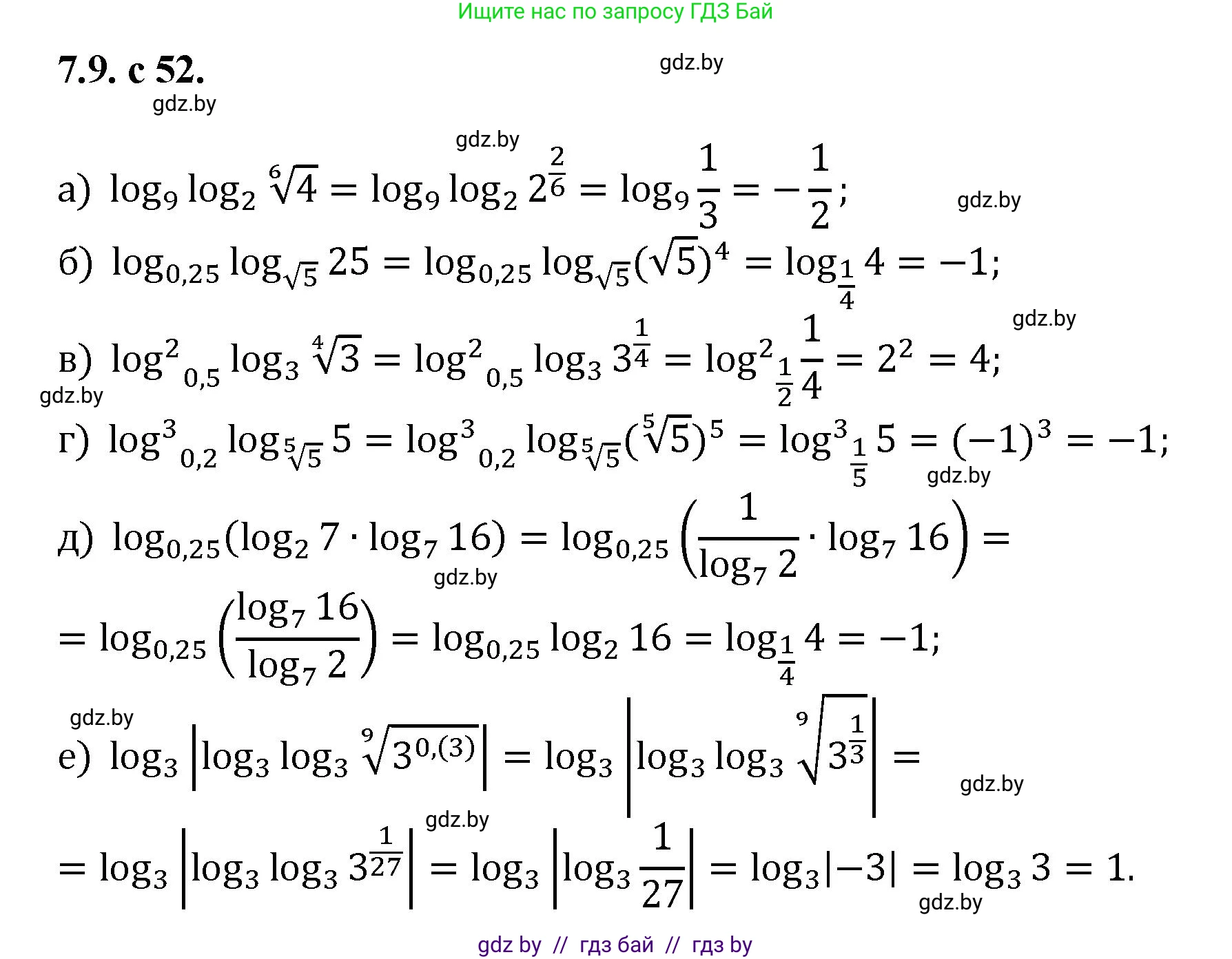
7.9. Вычислите:

a) $log_9 log_2 \sqrt[6]{4}$;

б) $log_{0.25} log_{\sqrt{5}} 25$;

в) $log^2_{0.5} log_3 \sqrt[4]{3}$;

г) $log^3_{0.2} log_{5\sqrt{5}} 5$;

д) $log_{0.25} (log_2 7 \cdot log_7 16)$;

е) $log_3 \vert log_3 log_3 \sqrt[9]{3^{0,(3)}} \vert$.

Решение. №9 (с. 52)
Алгебра, 11 класс Сборник задач, авторы: Арефьева Ирина Глебовна, Пирютко Ольга Николаевна, издательство Народная асвета, Минск, 2020, белого цвета, страница 52, номер 9, Решение
Решение 2. №9 (с. 52)

а) $log_9 log_2 \sqrt[6]{4}$

Решение этой задачи начнем с вычисления внутреннего логарифма $log_2 \sqrt[6]{4}$.

1. Преобразуем аргумент логарифма, представив его в виде степени с основанием 2: $\sqrt[6]{4} = \sqrt[6]{2^2} = 2^{2/6} = 2^{1/3}$.

2. Теперь вычисляем значение внутреннего логарифма: $log_2 \sqrt[6]{4} = log_2(2^{1/3}) = \frac{1}{3}$.

3. Подставляем полученное значение в исходное выражение: $log_9 (1/3)$.

4. Для вычисления этого логарифма представим основание 9 и аргумент 1/3 в виде степеней числа 3: $9 = 3^2$ и $1/3 = 3^{-1}$. $log_9 (1/3) = log_{3^2}(3^{-1})$.

5. Используем свойство логарифма $log_{a^n}(b^m) = \frac{m}{n} log_a b$: $log_{3^2}(3^{-1}) = \frac{-1}{2} log_3 3 = -\frac{1}{2}$.

Ответ: -1/2.

б) $log_{0,25} log_{\sqrt{5}} 25$

1. Сначала вычислим внутренний логарифм $log_{\sqrt{5}} 25$. Представим основание $\sqrt{5}$ и аргумент 25 в виде степеней числа 5: $\sqrt{5} = 5^{1/2}$ и $25 = 5^2$.

2. Вычисляем логарифм: $log_{\sqrt{5}} 25 = log_{5^{1/2}}(5^2) = \frac{2}{1/2} log_5 5 = 4 \cdot 1 = 4$.

3. Подставляем результат во внешнее выражение: $log_{0,25} 4$.

4. Представим основание 0,25 в виде степени числа 4: $0,25 = 1/4 = 4^{-1}$.

5. Вычисляем конечный результат: $log_{0,25} 4 = log_{4^{-1}} 4 = \frac{1}{-1} log_4 4 = -1$.

Ответ: -1.

в) $log_{0,5}^2 log_3 \sqrt[4]{3}$

Выражение $log_{0,5}^2$ означает $(log_{0,5}(...))^2$.

1. Вычислим внутренний логарифм $log_3 \sqrt[4]{3}$. Представим аргумент в виде степени: $\sqrt[4]{3} = 3^{1/4}$. $log_3 \sqrt[4]{3} = log_3 (3^{1/4}) = 1/4$.

2. Подставим это значение в исходное выражение: $log_{0,5}^2 (1/4) = (log_{0,5} (1/4))^2$.

3. Вычислим $log_{0,5} (1/4)$. Представим основание и аргумент в виде степеней: $0,5 = 1/2$ и $1/4 = (1/2)^2$. $log_{0,5} (1/4) = log_{1/2}((1/2)^2) = 2$.

4. Возведем полученный результат в квадрат: $2^2 = 4$.

Ответ: 4.

г) $log_{0,2}^3 log_{5\sqrt{5}} 5$

В данном выражении, если вычислять внутренний логарифм $log_{5\sqrt{5}} 5 = log_{5^{3/2}} 5 = 2/3$, то внешний логарифм $log_{0,2}(2/3)$ не является рациональным числом. Это указывает на возможную опечатку в условии задачи. Наиболее вероятной опечаткой, приводящей к целочисленному ответу, является замена основания внутреннего логарифма $5\sqrt{5}$ на $\sqrt[5]{5}$. Решим задачу с этим предположением: $log_{0,2}^3 (log_{\sqrt[5]{5}} 5)$.

1. Вычислим внутренний логарифм (с исправленным основанием) $log_{\sqrt[5]{5}} 5$. Представим основание в виде степени: $\sqrt[5]{5} = 5^{1/5}$. $log_{\sqrt[5]{5}} 5 = log_{5^{1/5}} 5^1 = \frac{1}{1/5} log_5 5 = 5$.

2. Подставим результат в исходное выражение: $log_{0,2}^3 5 = (log_{0,2} 5)^3$.

3. Вычислим $log_{0,2} 5$. Представим основание 0,2 в виде степени 5: $0,2 = 1/5 = 5^{-1}$. $log_{0,2} 5 = log_{5^{-1}} 5 = -1 \cdot log_5 5 = -1$.

4. Возведем результат в куб: $(-1)^3 = -1$.

Ответ: -1.

д) $log_{0,25} (log_2 7 \cdot log_7 16)$

1. Сначала упростим выражение в скобках, используя формулу перехода к новому основанию: $log_a b \cdot log_b c = log_a c$. $log_2 7 \cdot log_7 16 = log_2 16$.

2. Вычислим полученный логарифм: $log_2 16 = log_2 (2^4) = 4$.

3. Подставим результат в исходное выражение: $log_{0,25} 4$.

4. Это выражение аналогично задаче б): $log_{0,25} 4 = log_{1/4} 4 = log_{4^{-1}} 4 = -1$.

Ответ: -1.

е) $log_3 |log_3 \sqrt[9]{3^{0,(3)}}|$

1. Начнем с преобразования самого внутреннего выражения $0,(3)$. Это периодическая десятичная дробь, равная $1/3$. $3^{0,(3)} = 3^{1/3}$.

2. Теперь преобразуем выражение под корнем: $\sqrt[9]{3^{1/3}} = (3^{1/3})^{1/9} = 3^{(1/3) \cdot (1/9)} = 3^{1/27}$.

3. Вычислим средний логарифм: $log_3 (3^{1/27}) = 1/27$.

4. Подставим результат в оставшуюся часть выражения: $log_3 |1/27|$.

5. Так как 1/27 - положительное число, модуль не изменяет его: $log_3 (1/27)$.

6. Вычисляем финальный логарифм: $log_3 (1/27) = log_3 (3^{-3}) = -3$.

Ответ: -3.

Помогло решение? Оставьте отзыв в комментариях ниже.

Присоединяйтесь к Телеграм-группе @gdz_by_belarus

Присоединиться

Мы подготовили для вас ответ c подробным объяснением домашего задания по алгебре за 11 класс, для упражнения номер 9 расположенного на странице 52 к сборнику задач 2020 года издания для учащихся школ и гимназий.

Теперь на нашем сайте ГДЗ.ТОП вы всегда легко и бесплатно найдёте условие с правильным ответом на вопрос «Как решить ДЗ» и «Как сделать» задание по алгебре к упражнению №9 (с. 52), авторов: Арефьева (Ирина Глебовна), Пирютко (Ольга Николаевна), базовый и повышенный уровень обучения учебного пособия издательства Народная асвета.