Номер 26, страница 61 - гдз по алгебре 11 класс сборник задач Арефьева, Пирютко

Алгебра, 11 класс Сборник задач, авторы: Арефьева Ирина Глебовна, Пирютко Ольга Николаевна, издательство Народная асвета, Минск, 2020, белого цвета

Авторы: Арефьева И. Г., Пирютко О. Н.

Тип: Сборник задач

Издательство: Народная асвета

Год издания: 2020 - 2025

Уровень обучения: базовый и повышенный

Цвет обложки: белый с графиком

Допущено Министерством образования Республики Беларусь

Популярные ГДЗ в 11 классе

Глава 3. Логарифмическая функция. Параграф 8. Логарифмическая функция. Производная логарифмической функции - номер 26, страница 61.

№26 (с. 61)
Условие. №26 (с. 61)
скриншот условия
Алгебра, 11 класс Сборник задач, авторы: Арефьева Ирина Глебовна, Пирютко Ольга Николаевна, издательство Народная асвета, Минск, 2020, белого цвета, страница 61, номер 26, Условие

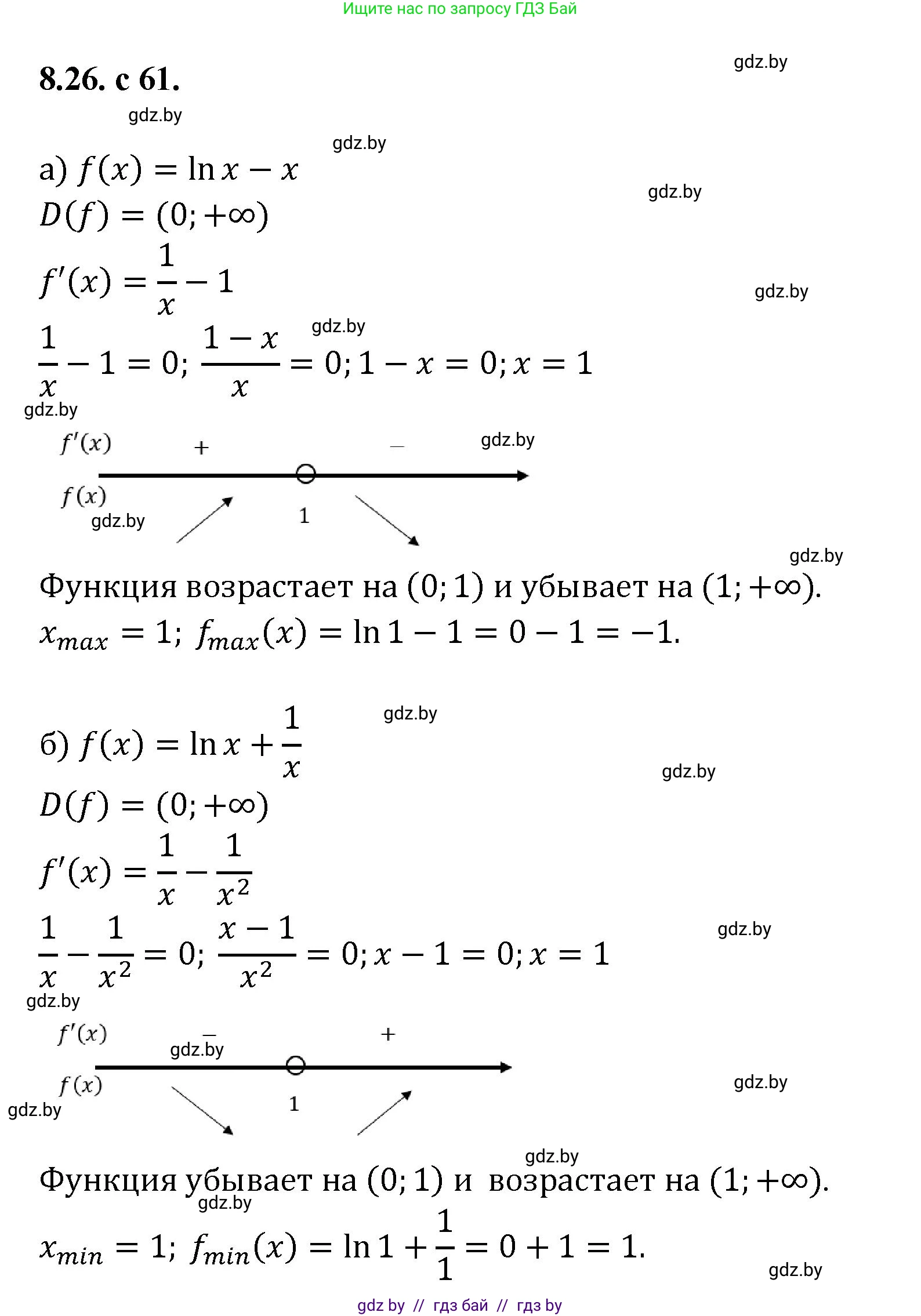
8.26. Найдите промежутки монотонности и точки экстремума функции:

a) $f(x) = \ln x - x$;

б) $f(x) = \ln x + \frac{1}{x}$.

Решение. №26 (с. 61)
Алгебра, 11 класс Сборник задач, авторы: Арефьева Ирина Глебовна, Пирютко Ольга Николаевна, издательство Народная асвета, Минск, 2020, белого цвета, страница 61, номер 26, Решение
Решение 2. №26 (с. 61)

a) $f(x) = \ln x - x$

1. Находим область определения функции.
Выражение под знаком натурального логарифма должно быть строго положительным, поэтому $x > 0$. Таким образом, область определения функции $D(f) = (0, +\infty)$.

2. Находим производную функции.
$f'(x) = (\ln x - x)' = (\ln x)' - (x)' = \frac{1}{x} - 1$.

3. Находим критические точки.
Приравняем производную к нулю, чтобы найти стационарные точки (точек, где производная не существует, в области определения нет): $f'(x) = 0 \implies \frac{1}{x} - 1 = 0$ $\frac{1}{x} = 1$ $x = 1$. Точка $x=1$ принадлежит области определения функции.

4. Определяем промежутки монотонности.
Исследуем знак производной $f'(x)$ на интервалах, на которые область определения разбивается критической точкой $x=1$: $(0, 1)$ и $(1, +\infty)$.

  • На интервале $(0, 1)$: возьмем пробную точку $x=0.5$. $f'(0.5) = \frac{1}{0.5} - 1 = 2 - 1 = 1 > 0$. Следовательно, функция возрастает на $(0, 1]$.
  • На интервале $(1, +\infty)$: возьмем пробную точку $x=2$. $f'(2) = \frac{1}{2} - 1 = -0.5 < 0$. Следовательно, функция убывает на $[1, +\infty)$.

5. Находим точки экстремума.
В точке $x=1$ производная меняет знак с «+» на «-», поэтому $x=1$ является точкой максимума.

Ответ: функция возрастает на промежутке $(0, 1]$ и убывает на промежутке $[1, +\infty)$; точка максимума $x_{max} = 1$.


б) $f(x) = \ln x + \frac{1}{x}$

1. Находим область определения функции.
Для $\ln x$ требуется $x > 0$. Для $\frac{1}{x}$ требуется $x \neq 0$. Объединяя эти условия, получаем область определения $D(f) = (0, +\infty)$.

2. Находим производную функции.
$f'(x) = \left(\ln x + \frac{1}{x}\right)' = (\ln x)' + (x^{-1})' = \frac{1}{x} - 1 \cdot x^{-2} = \frac{1}{x} - \frac{1}{x^2}$.
Приведем производную к общему знаменателю для удобства анализа знака: $f'(x) = \frac{x}{x^2} - \frac{1}{x^2} = \frac{x-1}{x^2}$.

3. Находим критические точки.
Приравняем производную к нулю: $f'(x) = 0 \implies \frac{x-1}{x^2} = 0$. Дробь равна нулю, если ее числитель равен нулю, а знаменатель не равен нулю. $x-1 = 0 \implies x=1$. Знаменатель $x^2$ при $x=1$ равен $1^2=1 \neq 0$. Таким образом, $x=1$ — единственная критическая точка.

4. Определяем промежутки монотонности.
Исследуем знак производной $f'(x) = \frac{x-1}{x^2}$ на интервалах $(0, 1)$ и $(1, +\infty)$. Знаменатель $x^2$ всегда положителен на области определения, поэтому знак производной совпадает со знаком числителя $(x-1)$.

  • На интервале $(0, 1)$: числитель $x-1 < 0$, значит $f'(x) < 0$. Функция убывает на $(0, 1]$.
  • На интервале $(1, +\infty)$: числитель $x-1 > 0$, значит $f'(x) > 0$. Функция возрастает на $[1, +\infty)$.

5. Находим точки экстремума.
В точке $x=1$ производная меняет знак с «-» на «+», поэтому $x=1$ является точкой минимума.

Ответ: функция убывает на промежутке $(0, 1]$ и возрастает на промежутке $[1, +\infty)$; точка минимума $x_{min} = 1$.

Помогло решение? Оставьте отзыв в комментариях ниже.

Присоединяйтесь к Телеграм-группе @gdz_by_belarus

Присоединиться

Мы подготовили для вас ответ c подробным объяснением домашего задания по алгебре за 11 класс, для упражнения номер 26 расположенного на странице 61 к сборнику задач 2020 года издания для учащихся школ и гимназий.

Теперь на нашем сайте ГДЗ.ТОП вы всегда легко и бесплатно найдёте условие с правильным ответом на вопрос «Как решить ДЗ» и «Как сделать» задание по алгебре к упражнению №26 (с. 61), авторов: Арефьева (Ирина Глебовна), Пирютко (Ольга Николаевна), базовый и повышенный уровень обучения учебного пособия издательства Народная асвета.