Номер 46, страница 95 - гдз по алгебре 11 класс сборник задач Арефьева, Пирютко

Алгебра, 11 класс Сборник задач, авторы: Арефьева Ирина Глебовна, Пирютко Ольга Николаевна, издательство Народная асвета, Минск, 2020, белого цвета

Авторы: Арефьева И. Г., Пирютко О. Н.

Тип: Сборник задач

Издательство: Народная асвета

Год издания: 2020 - 2025

Уровень обучения: базовый и повышенный

Цвет обложки: белый с графиком

Допущено Министерством образования Республики Беларусь

Популярные ГДЗ в 11 классе

Глава 3. Логарифмическая функция. Параграф 10. Логарифмические неравенства - номер 46, страница 95.

№46 (с. 95)
Условие. №46 (с. 95)
скриншот условия
Алгебра, 11 класс Сборник задач, авторы: Арефьева Ирина Глебовна, Пирютко Ольга Николаевна, издательство Народная асвета, Минск, 2020, белого цвета, страница 95, номер 46, Условие

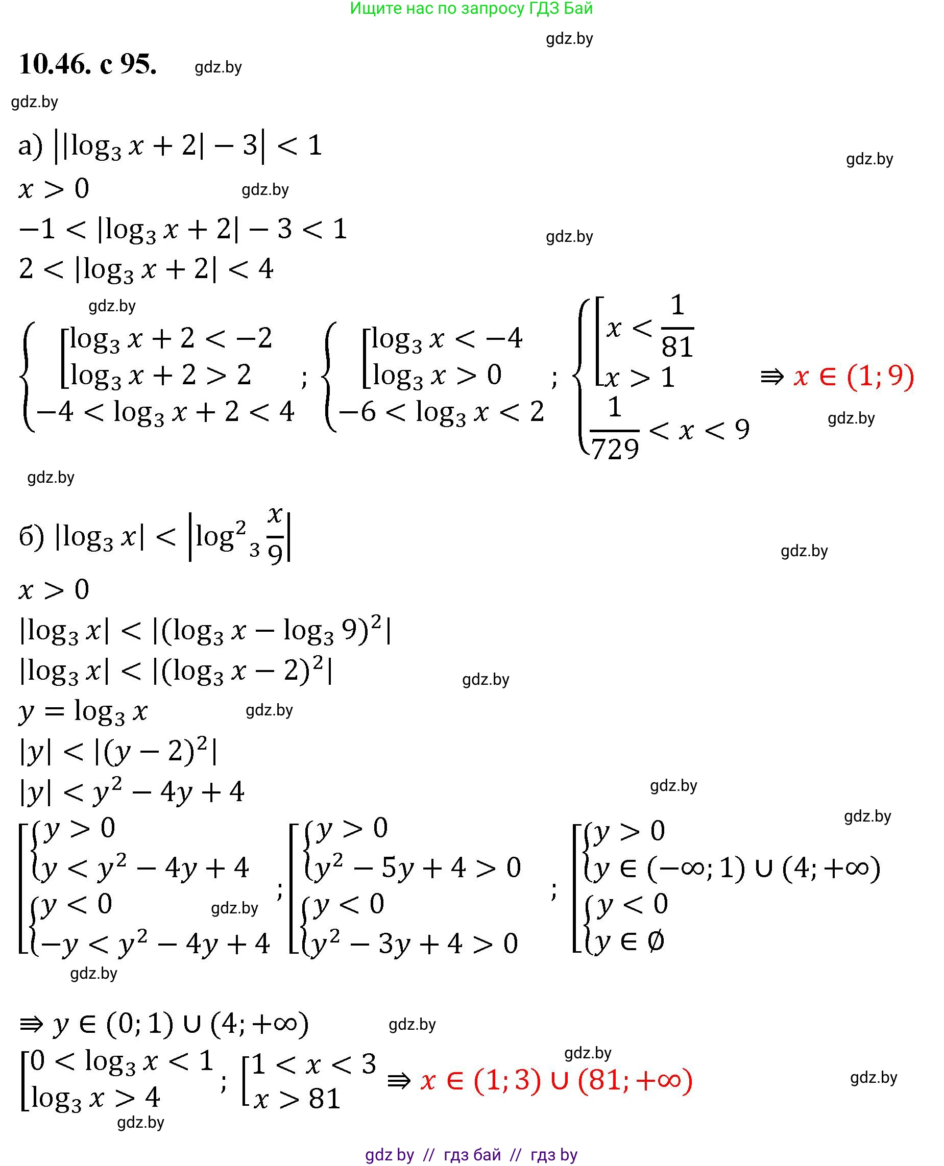
10.46. Решите неравенство:

a) $|| \log_3 x + 2 | - 3| < 1;$

б) $|\log_3 x| < |\log_3^2 \frac{x}{9}|.$

Решение. №46 (с. 95)
Алгебра, 11 класс Сборник задач, авторы: Арефьева Ирина Глебовна, Пирютко Ольга Николаевна, издательство Народная асвета, Минск, 2020, белого цвета, страница 95, номер 46, Решение
Решение 2. №46 (с. 95)

а) Исходное неравенство: $||\log_3 x + 2| - 3| < 1$.
Область допустимых значений (ОДЗ) для логарифма: $x > 0$.

Данное неравенство с модулем вида $|A| < B$ равносильно двойному неравенству $-B < A < B$. Применим это правило к нашему случаю: $$-1 < |\log_3 x + 2| - 3 < 1$$

Прибавим 3 ко всем частям неравенства, чтобы выделить модуль в центре: $$-1 + 3 < |\log_3 x + 2| < 1 + 3$$ $$2 < |\log_3 x + 2| < 4$$

Это двойное неравенство можно представить в виде системы двух неравенств: $$ \begin{cases} |\log_3 x + 2| > 2 \\ |\log_3 x + 2| < 4 \end{cases} $$

1. Решим первое неравенство: $|\log_3 x + 2| > 2$.
Неравенство вида $|A| > B$ (при $B>0$) равносильно совокупности $A > B$ или $A < -B$. $$ \log_3 x + 2 > 2 \quad \text{или} \quad \log_3 x + 2 < -2 $$ Решаем каждое: $$ \log_3 x > 0 \implies x > 3^0 \implies x > 1 $$ $$ \log_3 x < -4 \implies x < 3^{-4} \implies x < \frac{1}{81} $$ С учетом ОДЗ ($x > 0$), решение для первого неравенства: $x \in (0, \frac{1}{81}) \cup (1, \infty)$.

2. Решим второе неравенство: $|\log_3 x + 2| < 4$.
Это неравенство равносильно двойному неравенству: $$ -4 < \log_3 x + 2 < 4 $$ Вычтем 2 из всех частей: $$ -6 < \log_3 x < 2 $$ Так как основание логарифма $3 > 1$, функция $y=\log_3 x$ возрастающая, поэтому при потенцировании знаки неравенства сохраняются: $$ 3^{-6} < x < 3^2 $$ $$ \frac{1}{729} < x < 9 $$ Решение для второго неравенства: $x \in (\frac{1}{729}, 9)$.

3. Теперь найдем пересечение решений системы, то есть общие решения для обоих неравенств: $$ x \in \left( (0, \frac{1}{81}) \cup (1, \infty) \right) \cap \left(\frac{1}{729}, 9\right) $$ Пересечение интервала $(\frac{1}{729}, 9)$ с $(0, \frac{1}{81})$ дает $(\frac{1}{729}, \frac{1}{81})$.
Пересечение интервала $(\frac{1}{729}, 9)$ с $(1, \infty)$ дает $(1, 9)$.
Объединив эти два результата, получаем итоговое решение.

Ответ: $x \in (\frac{1}{729}, \frac{1}{81}) \cup (1, 9)$.


б) Исходное неравенство: $|\log_3 x| < |\log_3^2 \frac{x}{9}|$.
Область допустимых значений (ОДЗ): $x > 0$.

Упростим выражение в правой части. Используем свойство логарифма частного $\log_a(b/c) = \log_a b - \log_a c$: $$ \log_3^2 \frac{x}{9} = \left(\log_3 \frac{x}{9}\right)^2 = (\log_3 x - \log_3 9)^2 = (\log_3 x - 2)^2 $$

Так как выражение $(\log_3 x - 2)^2$ всегда неотрицательно, его модуль равен самому выражению: $|(\log_3 x - 2)^2| = (\log_3 x - 2)^2$.
Неравенство принимает вид: $$ |\log_3 x| < (\log_3 x - 2)^2 $$

Сделаем замену переменной. Пусть $t = \log_3 x$. Тогда неравенство станет: $$ |t| < (t - 2)^2 $$

Поскольку обе части неравенства неотрицательны, мы можем возвести их в квадрат, сохранив знак неравенства: $$ |t|^2 < ((t-2)^2)^2 $$ $$ t^2 < (t-2)^4 $$ $$ (t-2)^4 - t^2 > 0 $$ Разложим левую часть как разность квадратов $a^2-b^2 = (a-b)(a+b)$: $$ ((t-2)^2 - t) \cdot ((t-2)^2 + t) > 0 $$ $$ (t^2 - 4t + 4 - t) \cdot (t^2 - 4t + 4 + t) > 0 $$ $$ (t^2 - 5t + 4) \cdot (t^2 - 3t + 4) > 0 $$

Рассмотрим второй множитель $t^2 - 3t + 4$. Его дискриминант $D = (-3)^2 - 4 \cdot 1 \cdot 4 = 9 - 16 = -7$. Так как $D < 0$ и коэффициент при $t^2$ положителен ($1 > 0$), то выражение $t^2 - 3t + 4$ всегда положительно.

Следовательно, мы можем разделить обе части неравенства на положительное выражение $t^2 - 3t + 4$, не меняя знака: $$ t^2 - 5t + 4 > 0 $$ Найдем корни уравнения $t^2 - 5t + 4 = 0$. По теореме Виета, корни $t_1 = 1$ и $t_2 = 4$.
Парабола $y = t^2 - 5t + 4$ ветвями вверх, значит, неравенство выполняется при $t < 1$ или $t > 4$. $$ t \in (-\infty, 1) \cup (4, \infty) $$

Вернемся к переменной $x$, выполнив обратную замену $t = \log_3 x$: $$ \log_3 x < 1 \quad \text{или} \quad \log_3 x > 4 $$ Решаем эти два логарифмических неравенства: $$ \log_3 x < 1 \implies x < 3^1 \implies x < 3 $$ $$ \log_3 x > 4 \implies x > 3^4 \implies x > 81 $$

Объединяем полученные решения и учитываем ОДЗ ($x > 0$).

Ответ: $x \in (0, 3) \cup (81, \infty)$.

Помогло решение? Оставьте отзыв в комментариях ниже.

Присоединяйтесь к Телеграм-группе @gdz_by_belarus

Присоединиться

Мы подготовили для вас ответ c подробным объяснением домашего задания по алгебре за 11 класс, для упражнения номер 46 расположенного на странице 95 к сборнику задач 2020 года издания для учащихся школ и гимназий.

Теперь на нашем сайте ГДЗ.ТОП вы всегда легко и бесплатно найдёте условие с правильным ответом на вопрос «Как решить ДЗ» и «Как сделать» задание по алгебре к упражнению №46 (с. 95), авторов: Арефьева (Ирина Глебовна), Пирютко (Ольга Николаевна), базовый и повышенный уровень обучения учебного пособия издательства Народная асвета.