Номер 9, страница 116 - гдз по алгебре 11 класс сборник задач Арефьева, Пирютко

Алгебра, 11 класс Сборник задач, авторы: Арефьева Ирина Глебовна, Пирютко Ольга Николаевна, издательство Народная асвета, Минск, 2020, белого цвета

Авторы: Арефьева И. Г., Пирютко О. Н.

Тип: Сборник задач

Издательство: Народная асвета

Год издания: 2020 - 2025

Уровень обучения: базовый и повышенный

Цвет обложки: белый с графиком

Допущено Министерством образования Республики Беларусь

Популярные ГДЗ в 11 классе

Глава 4. Системы уравнений и неравенств. Параграф 11. Методы решения систем уравнений - номер 9, страница 116.

№9 (с. 116)
Условие. №9 (с. 116)
скриншот условия
Алгебра, 11 класс Сборник задач, авторы: Арефьева Ирина Глебовна, Пирютко Ольга Николаевна, издательство Народная асвета, Минск, 2020, белого цвета, страница 116, номер 9, Условие

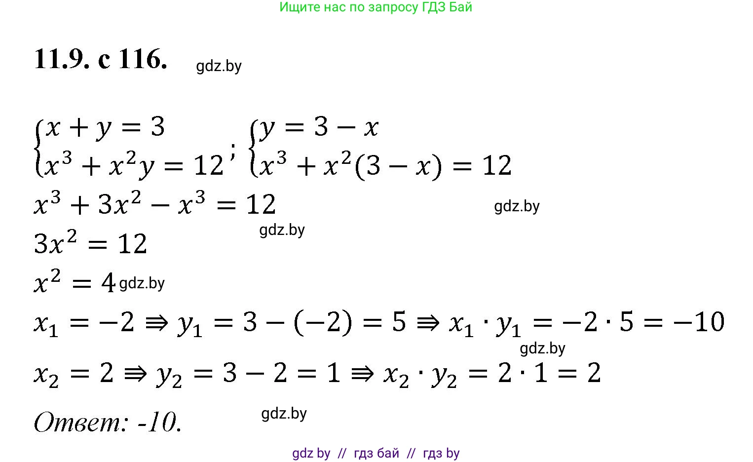
11.9. Найдите наименьшее из произведений $x_0 \cdot y_0$, где $(x_0; y_0)$ — решение системы уравнений

$$\begin{cases} x + y = 3, \\ x^3 + x^2 y = 12. \end{cases}$$

Решение. №9 (с. 116)
Алгебра, 11 класс Сборник задач, авторы: Арефьева Ирина Глебовна, Пирютко Ольга Николаевна, издательство Народная асвета, Минск, 2020, белого цвета, страница 116, номер 9, Решение
Решение 2. №9 (с. 116)

Для решения данной системы уравнений преобразуем второе уравнение, а затем воспользуемся методом подстановки.

Исходная система уравнений:

$ \begin{cases} x + y = 3 \\ x^3 + x^2y = 12 \end{cases} $

Во втором уравнении системы вынесем общий множитель $x^2$ за скобки:

$x^2(x + y) = 12$

Из первого уравнения системы нам известно, что $x + y = 3$. Подставим это значение в преобразованное второе уравнение:

$x^2 \cdot 3 = 12$

Теперь решим полученное уравнение относительно $x$:

$x^2 = \frac{12}{3}$

$x^2 = 4$

Это уравнение имеет два корня:

$x_1 = 2$ и $x_2 = -2$.

Найдем соответствующие значения $y$ для каждого найденного $x$, используя первое уравнение $y = 3 - x$.

1. Если $x_1 = 2$:

$y_1 = 3 - 2 = 1$

Получили первое решение системы $(x_0; y_0) = (2; 1)$.

2. Если $x_2 = -2$:

$y_2 = 3 - (-2) = 3 + 2 = 5$

Получили второе решение системы $(x_0; y_0) = (-2; 5)$.

Теперь, согласно условию задачи, найдем произведения $x_0 \cdot y_0$ для каждого решения:

Для решения $(2; 1)$ произведение равно: $2 \cdot 1 = 2$.

Для решения $(-2; 5)$ произведение равно: $(-2) \cdot 5 = -10$.

Сравнивая полученные значения $2$ и $-10$, выбираем наименьшее.

11.9. Наименьшее из произведений равно -10. Ответ: -10.

Помогло решение? Оставьте отзыв в комментариях ниже.

Присоединяйтесь к Телеграм-группе @gdz_by_belarus

Присоединиться

Мы подготовили для вас ответ c подробным объяснением домашего задания по алгебре за 11 класс, для упражнения номер 9 расположенного на странице 116 к сборнику задач 2020 года издания для учащихся школ и гимназий.

Теперь на нашем сайте ГДЗ.ТОП вы всегда легко и бесплатно найдёте условие с правильным ответом на вопрос «Как решить ДЗ» и «Как сделать» задание по алгебре к упражнению №9 (с. 116), авторов: Арефьева (Ирина Глебовна), Пирютко (Ольга Николаевна), базовый и повышенный уровень обучения учебного пособия издательства Народная асвета.