Номер 1, страница 123 - гдз по алгебре 11 класс сборник задач Арефьева, Пирютко

Алгебра, 11 класс Сборник задач, авторы: Арефьева Ирина Глебовна, Пирютко Ольга Николаевна, издательство Народная асвета, Минск, 2020, белого цвета

Авторы: Арефьева И. Г., Пирютко О. Н.

Тип: Сборник задач

Издательство: Народная асвета

Год издания: 2020 - 2025

Уровень обучения: базовый и повышенный

Цвет обложки: белый с графиком

Допущено Министерством образования Республики Беларусь

Популярные ГДЗ в 11 классе

Глава 4. Системы уравнений и неравенств. Параграф 13. Системы линейных уравнений с n переменными (n ≥ 2) - номер 1, страница 123.

№1 (с. 123)
Условие. №1 (с. 123)
скриншот условия
Алгебра, 11 класс Сборник задач, авторы: Арефьева Ирина Глебовна, Пирютко Ольга Николаевна, издательство Народная асвета, Минск, 2020, белого цвета, страница 123, номер 1, Условие

13.1. Решите систему уравнений:

а) $\begin{cases} x + y + 2z = -2, \\ -x + y - 3z = -7, \\ 2x + 3y + z = -1; \end{cases}$

б) $\begin{cases} -x + y + z = -5, \\ -2x + y - 3z = -3, \\ -x + 4y + 6z = -7; \end{cases}$

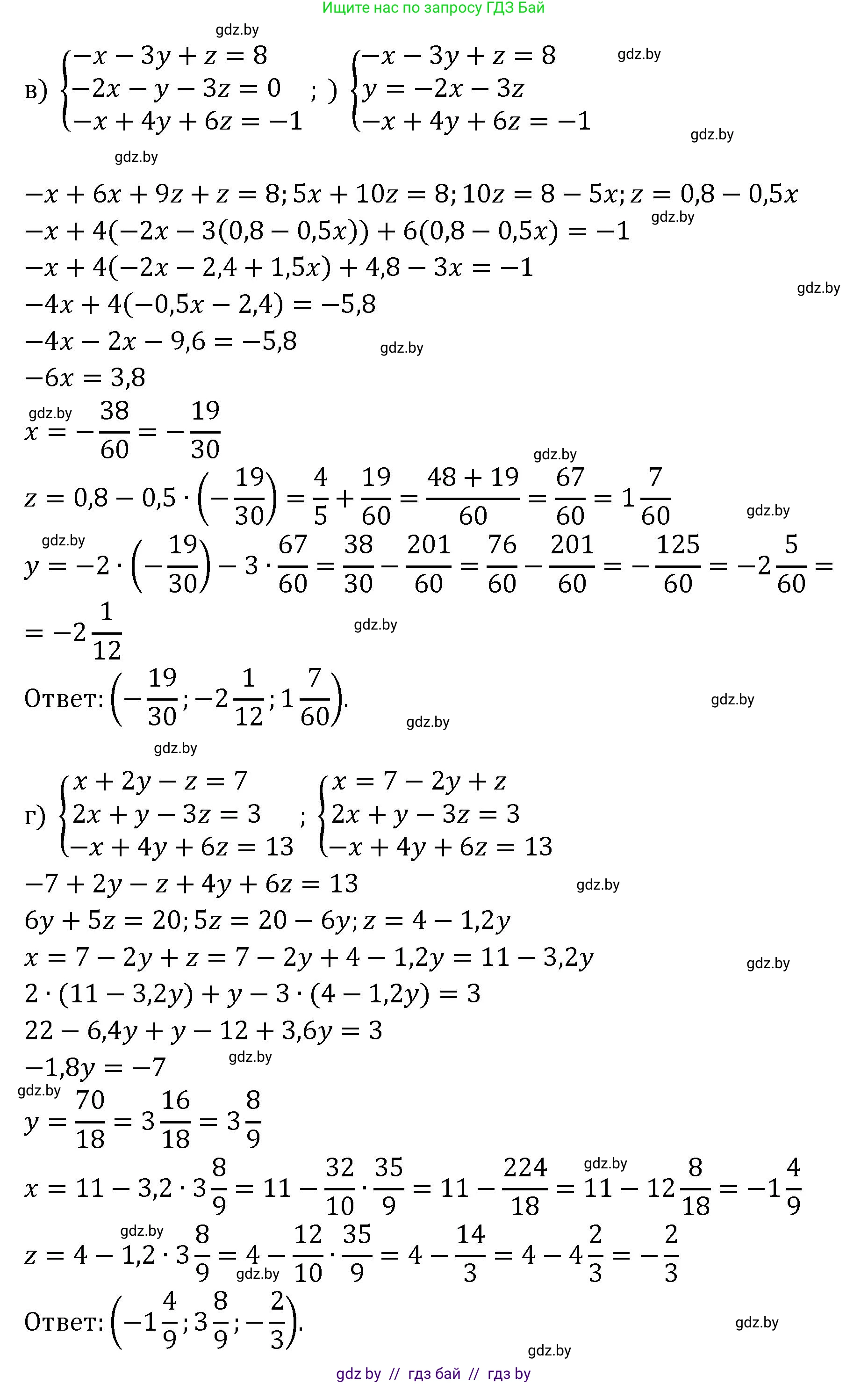
в) $\begin{cases} -x - 3y + z = 8, \\ -2x - y - 3z = 0, \\ -x + 4y + 6z = -1; \end{cases}$

г) $\begin{cases} x + 2y - z = 7, \\ 2x + y - 3z = 3, \\ -x + 4y + 6z = 13. \end{cases}$

Решение. №1 (с. 123)
Алгебра, 11 класс Сборник задач, авторы: Арефьева Ирина Глебовна, Пирютко Ольга Николаевна, издательство Народная асвета, Минск, 2020, белого цвета, страница 123, номер 1, Решение Алгебра, 11 класс Сборник задач, авторы: Арефьева Ирина Глебовна, Пирютко Ольга Николаевна, издательство Народная асвета, Минск, 2020, белого цвета, страница 123, номер 1, Решение (продолжение 2)
Решение 2. №1 (с. 123)

а) Дана система уравнений:

$\begin{cases} x + y + 2z = -2 \quad (1) \\ -x + y - 3z = -7 \quad (2) \\ 2x + 3y + z = -1 \quad (3) \end{cases}$

Для решения системы используем метод алгебраического сложения (метод Гаусса).

Шаг 1: Исключим переменную $x$.

Сложим уравнение (1) и уравнение (2):
$(x + y + 2z) + (-x + y - 3z) = -2 - 7$
$2y - z = -9 \quad (4)$

Умножим уравнение (1) на -2 и сложим с уравнением (3):
$-2(x + y + 2z) + (2x + 3y + z) = -2(-2) - 1$
$-2x - 2y - 4z + 2x + 3y + z = 4 - 1$
$y - 3z = 3 \quad (5)$

Шаг 2: Решим полученную систему из двух уравнений.

$\begin{cases} 2y - z = -9 \quad (4) \\ y - 3z = 3 \quad (5) \end{cases}$

Из уравнения (5) выразим $y$: $y = 3z + 3$.

Подставим это выражение в уравнение (4):
$2(3z + 3) - z = -9$
$6z + 6 - z = -9$
$5z = -15$
$z = -3$

Теперь найдем $y$:
$y = 3(-3) + 3 = -9 + 3 = -6$

Шаг 3: Найдем $x$.

Подставим найденные значения $y=-6$ и $z=-3$ в уравнение (1):
$x + (-6) + 2(-3) = -2$
$x - 6 - 6 = -2$
$x - 12 = -2$
$x = 10$

Ответ: $x = 10, y = -6, z = -3$.


б) Дана система уравнений:

$\begin{cases} -x + y + z = -5 \quad (1) \\ -2x + y - 3z = -3 \quad (2) \\ -x + 4y + 6z = -7 \quad (3) \end{cases}$

Шаг 1: Исключим переменную $x$.

Умножим уравнение (1) на -2 и сложим с уравнением (2):
$-2(-x + y + z) + (-2x + y - 3z) = -2(-5) - 3$
$2x - 2y - 2z - 2x + y - 3z = 10 - 3$
$-y - 5z = 7 \quad (4)$

Вычтем уравнение (1) из уравнения (3):
$(-x + 4y + 6z) - (-x + y + z) = -7 - (-5)$
$3y + 5z = -2 \quad (5)$

Шаг 2: Решим систему из уравнений (4) и (5).

$\begin{cases} -y - 5z = 7 \quad (4) \\ 3y + 5z = -2 \quad (5) \end{cases}$

Сложим уравнения (4) и (5):
$(-y - 5z) + (3y + 5z) = 7 - 2$
$2y = 5 \implies y = \frac{5}{2}$

Подставим $y$ в уравнение (4):
$-\frac{5}{2} - 5z = 7$
$-5z = 7 + \frac{5}{2} = \frac{19}{2}$
$z = -\frac{19}{10}$

Шаг 3: Найдем $x$ из уравнения (1).

$-x + \frac{5}{2} - \frac{19}{10} = -5$
$-x + \frac{25}{10} - \frac{19}{10} = -5$
$-x + \frac{6}{10} = -5 \implies -x = -5 - \frac{3}{5} = -\frac{28}{5}$
$x = \frac{28}{5}$

Ответ: $x = \frac{28}{5} = 5\frac{3}{5}, y = \frac{5}{2} = 2\frac{1}{2}, z = -\frac{19}{10} = -1\frac{9}{10}$.


в) Дана система уравнений:

$\begin{cases} -x - 3y + z = 8 \quad (1) \\ -2x - y - 3z = 0 \quad (2) \\ -x + 4y + 6z = -1 \quad (3) \end{cases}$

Шаг 1: Исключим переменную $x$.

Умножим уравнение (1) на -2 и сложим с уравнением (2):
$-2(-x - 3y + z) + (-2x - y - 3z) = -2(8) + 0$
$2x + 6y - 2z - 2x - y - 3z = -16$
$5y - 5z = -16 \quad (4)$

Вычтем уравнение (1) из уравнения (3):
$(-x + 4y + 6z) - (-x - 3y + z) = -1 - 8$
$7y + 5z = -9 \quad (5)$

Шаг 2: Решим систему из уравнений (4) и (5).

$\begin{cases} 5y - 5z = -16 \quad (4) \\ 7y + 5z = -9 \quad (5) \end{cases}$

Сложим уравнения (4) и (5):
$(5y - 5z) + (7y + 5z) = -16 - 9$
$12y = -25 \implies y = -\frac{25}{12}$

Разделим уравнение (4) на 5: $y - z = -\frac{16}{5}$.
Выразим $z$: $z = y + \frac{16}{5} = -\frac{25}{12} + \frac{16}{5} = \frac{-125 + 192}{60} = \frac{67}{60}$.

Шаг 3: Найдем $x$ из уравнения (1).

$-x - 3(-\frac{25}{12}) + \frac{67}{60} = 8$
$-x + \frac{25}{4} + \frac{67}{60} = 8$
$-x + \frac{375}{60} + \frac{67}{60} = 8$
$-x + \frac{442}{60} = 8 \implies -x = 8 - \frac{221}{30} = \frac{240-221}{30} = \frac{19}{30}$
$x = -\frac{19}{30}$

Ответ: $x = -\frac{19}{30}, y = -\frac{25}{12} = -2\frac{1}{12}, z = \frac{67}{60} = 1\frac{7}{60}$.


г) Дана система уравнений:

$\begin{cases} x + 2y - z = 7 \quad (1) \\ 2x + y - 3z = 3 \quad (2) \\ -x + 4y + 6z = 13 \quad (3) \end{cases}$

Шаг 1: Исключим переменную $x$.

Умножим уравнение (1) на -2 и сложим с уравнением (2):
$-2(x + 2y - z) + (2x + y - 3z) = -2(7) + 3$
$-2x - 4y + 2z + 2x + y - 3z = -14 + 3$
$-3y - z = -11 \quad (4)$

Сложим уравнение (1) и (3):
$(x + 2y - z) + (-x + 4y + 6z) = 7 + 13$
$6y + 5z = 20 \quad (5)$

Шаг 2: Решим систему из уравнений (4) и (5).

$\begin{cases} -3y - z = -11 \quad (4) \\ 6y + 5z = 20 \quad (5) \end{cases}$

Из уравнения (4) выразим $z$: $z = -3y + 11$.

Подставим в уравнение (5):
$6y + 5(-3y + 11) = 20$
$6y - 15y + 55 = 20$
$-9y = -35 \implies y = \frac{35}{9}$

Найдем $z$:
$z = -3(\frac{35}{9}) + 11 = -\frac{35}{3} + \frac{33}{3} = -\frac{2}{3}$

Шаг 3: Найдем $x$ из уравнения (1).

$x + 2(\frac{35}{9}) - (-\frac{2}{3}) = 7$
$x + \frac{70}{9} + \frac{2}{3} = 7$
$x + \frac{70}{9} + \frac{6}{9} = 7$
$x + \frac{76}{9} = 7 \implies x = 7 - \frac{76}{9} = \frac{63-76}{9} = -\frac{13}{9}$

Ответ: $x = -\frac{13}{9} = -1\frac{4}{9}, y = \frac{35}{9} = 3\frac{8}{9}, z = -\frac{2}{3}$.

Помогло решение? Оставьте отзыв в комментариях ниже.

Присоединяйтесь к Телеграм-группе @gdz_by_belarus

Присоединиться

Мы подготовили для вас ответ c подробным объяснением домашего задания по алгебре за 11 класс, для упражнения номер 1 расположенного на странице 123 к сборнику задач 2020 года издания для учащихся школ и гимназий.

Теперь на нашем сайте ГДЗ.ТОП вы всегда легко и бесплатно найдёте условие с правильным ответом на вопрос «Как решить ДЗ» и «Как сделать» задание по алгебре к упражнению №1 (с. 123), авторов: Арефьева (Ирина Глебовна), Пирютко (Ольга Николаевна), базовый и повышенный уровень обучения учебного пособия издательства Народная асвета.