Номер 68, страница 141 - гдз по алгебре 11 класс сборник задач Арефьева, Пирютко

Алгебра, 11 класс Сборник задач, авторы: Арефьева Ирина Глебовна, Пирютко Ольга Николаевна, издательство Народная асвета, Минск, 2020, белого цвета

Авторы: Арефьева И. Г., Пирютко О. Н.

Тип: Сборник задач

Издательство: Народная асвета

Год издания: 2020 - 2025

Уровень обучения: базовый и повышенный

Цвет обложки: белый с графиком

Допущено Министерством образования Республики Беларусь

Популярные ГДЗ в 11 классе

Глава 4. Системы уравнений и неравенств. Параграф 14. Задачи с параметрами. Линейные уравнения с параметрами - номер 68, страница 141.

№68 (с. 141)
Условие. №68 (с. 141)
скриншот условия
Алгебра, 11 класс Сборник задач, авторы: Арефьева Ирина Глебовна, Пирютко Ольга Николаевна, издательство Народная асвета, Минск, 2020, белого цвета, страница 141, номер 68, Условие

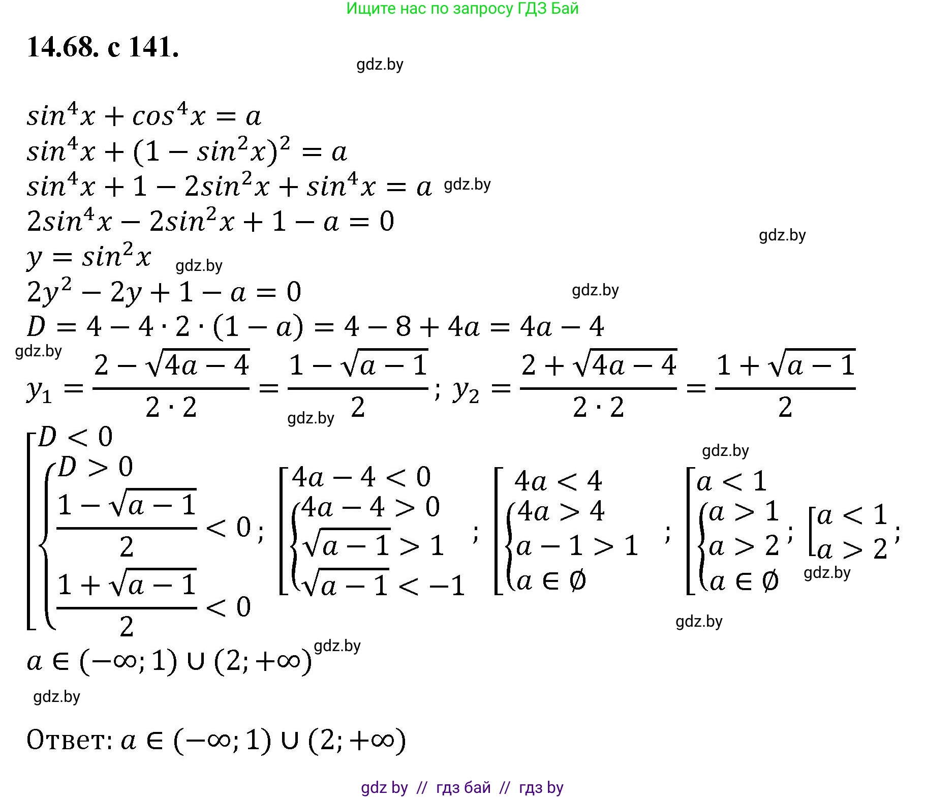
14.68. При каких значениях параметра $a$ уравнение $\sin^4 x + \cos^4 x = a$ не имеет корней?

Решение. №68 (с. 141)
Алгебра, 11 класс Сборник задач, авторы: Арефьева Ирина Глебовна, Пирютко Ольга Николаевна, издательство Народная асвета, Минск, 2020, белого цвета, страница 141, номер 68, Решение
Решение 2. №68 (с. 141)

Для того чтобы определить, при каких значениях параметра $a$ данное уравнение не имеет корней, необходимо найти область значений функции $f(x) = \sin^4 x + \cos^4 x$. Уравнение будет иметь решения только в том случае, если параметр $a$ принадлежит этой области значений. Если $a$ находится вне этой области, уравнение не имеет корней.

14.68.

Преобразуем левую часть уравнения. Для этого воспользуемся основным тригонометрическим тождеством $\sin^2 x + \cos^2 x = 1$ и формулой квадрата суммы $(a+b)^2 = a^2+2ab+b^2$.

Выражение $\sin^4 x + \cos^4 x$ можно представить в виде суммы квадратов:

$\sin^4 x + \cos^4 x = (\sin^2 x)^2 + (\cos^2 x)^2$

Дополним это выражение до полного квадрата суммы:

$(\sin^2 x)^2 + (\cos^2 x)^2 = (\sin^2 x + \cos^2 x)^2 - 2\sin^2 x \cos^2 x$

Так как $\sin^2 x + \cos^2 x = 1$, получаем:

$1^2 - 2\sin^2 x \cos^2 x = 1 - 2\sin^2 x \cos^2 x$

Теперь используем формулу синуса двойного угла: $\sin(2x) = 2\sin x \cos x$. Возведем обе части в квадрат: $\sin^2(2x) = 4\sin^2 x \cos^2 x$. Отсюда можно выразить $2\sin^2 x \cos^2 x = \frac{1}{2}\sin^2(2x)$.

Подставим это в наше преобразованное выражение:

$\sin^4 x + \cos^4 x = 1 - \frac{1}{2}\sin^2(2x)$

Теперь найдем область значений для полученной функции $f(x) = 1 - \frac{1}{2}\sin^2(2x)$.

Область значений функции синус: $-1 \le \sin(2x) \le 1$.

При возведении в квадрат, область значений для $\sin^2(2x)$ становится: $0 \le \sin^2(2x) \le 1$.

Далее, определим границы для всего выражения:

  1. Если $\sin^2(2x) = 0$ (минимальное значение), то $f(x) = 1 - \frac{1}{2} \cdot 0 = 1$. Это максимальное значение функции.
  2. Если $\sin^2(2x) = 1$ (максимальное значение), то $f(x) = 1 - \frac{1}{2} \cdot 1 = 1 - \frac{1}{2} = \frac{1}{2}$. Это минимальное значение функции.

Таким образом, область значений функции $f(x) = \sin^4 x + \cos^4 x$ — это отрезок $[\frac{1}{2}, 1]$.

Уравнение $\sin^4 x + \cos^4 x = a$ имеет корни тогда и только тогда, когда $a$ принадлежит области значений левой части, то есть при $a \in [\frac{1}{2}, 1]$.

Следовательно, уравнение не имеет корней, если значение параметра $a$ находится вне этого отрезка.

Ответ: Уравнение не имеет корней при $a < \frac{1}{2}$ или $a > 1$, что в виде интервалов записывается как $a \in (-\infty; \frac{1}{2}) \cup (1; +\infty)$.

Помогло решение? Оставьте отзыв в комментариях ниже.

Присоединяйтесь к Телеграм-группе @gdz_by_belarus

Присоединиться

Мы подготовили для вас ответ c подробным объяснением домашего задания по алгебре за 11 класс, для упражнения номер 68 расположенного на странице 141 к сборнику задач 2020 года издания для учащихся школ и гимназий.

Теперь на нашем сайте ГДЗ.ТОП вы всегда легко и бесплатно найдёте условие с правильным ответом на вопрос «Как решить ДЗ» и «Как сделать» задание по алгебре к упражнению №68 (с. 141), авторов: Арефьева (Ирина Глебовна), Пирютко (Ольга Николаевна), базовый и повышенный уровень обучения учебного пособия издательства Народная асвета.