Номер 2, страница 122, часть 2 - гдз по математике 3 класс учебник Муравьева, Урбан

Математика, 3 класс Учебник, авторы: Муравьева Галина Леонидовна, Урбан Мария Анатольевна, издательство Национальный институт образования, Минск, 2021, оранжевого цвета, часть 2

Авторы: Муравьева Г. Л., Урбан М. А.

Тип: Учебник

Издательство: Национальный институт образования

Год издания: 2021 - 2025

Часть: 2

Цвет обложки: оранжевый, жёлтый с учениками

ISBN: 978-985-594-794-4 (общ.), 978-985-594-795-1 (ч. 1), 978-985-594-796-8 (ч. 2)

Допущено Министерством образования Республики Беларусь

Популярные ГДЗ в 3 классе

Часть 2. Трёхзначные числа. Урок 129 - номер 2, страница 122.

№2 (с. 122)
Условие. №2 (с. 122)
скриншот условия
Математика, 3 класс Учебник, авторы: Муравьева Галина Леонидовна, Урбан Мария Анатольевна, издательство Национальный институт образования, Минск, 2021, оранжевого цвета, Часть 2, страница 122, номер 2, Условие

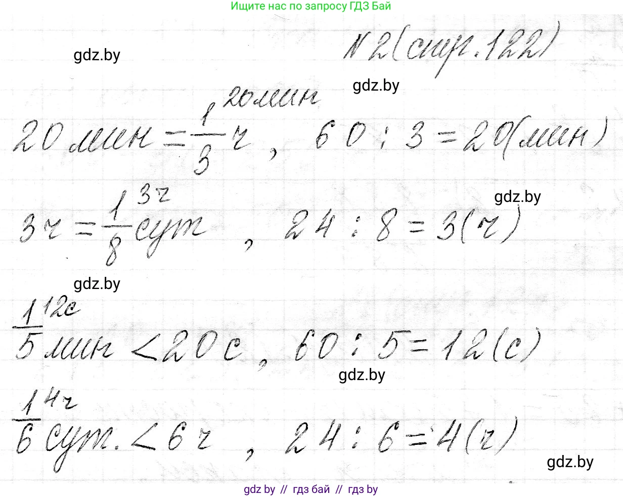
2. Сравни.

20 мин $?$ $\frac{1}{3}$ ч

$\frac{1}{5}$ мин $?$ 20 с

3 ч $?$ $\frac{1}{8}$ сут.

$\frac{1}{6}$ сут. $?$ 6 ч

Решение 1. №2 (с. 122)
Математика, 3 класс Учебник, авторы: Муравьева Галина Леонидовна, Урбан Мария Анатольевна, издательство Национальный институт образования, Минск, 2021, оранжевого цвета, Часть 2, страница 122, номер 2, Решение 1
Решение 2. №2 (с. 122)
Математика, 3 класс Учебник, авторы: Муравьева Галина Леонидовна, Урбан Мария Анатольевна, издательство Национальный институт образования, Минск, 2021, оранжевого цвета, Часть 2, страница 122, номер 2, Решение 2
Решение 3. №2 (с. 122)
Математика, 3 класс Учебник, авторы: Муравьева Галина Леонидовна, Урбан Мария Анатольевна, издательство Национальный институт образования, Минск, 2021, оранжевого цвета, Часть 2, страница 122, номер 2, Решение 3
Решение 4. №2 (с. 122)

20 мин ? $\frac{1}{3}$ ч
Чтобы сравнить эти величины, необходимо привести их к одной единице измерения. Переведем $\frac{1}{3}$ часа в минуты.
В одном часе содержится 60 минут. Чтобы найти $\frac{1}{3}$ от часа, нужно 60 минут умножить на дробь $\frac{1}{3}$.
$60 \cdot \frac{1}{3} = \frac{60}{3} = 20$ мин.
Теперь сравним полученное значение с первой величиной: $20$ мин и $20$ мин.
Эти значения равны.
Ответ: $20 \text{ мин} = \frac{1}{3} \text{ ч}$

$\frac{1}{5}$ мин ? 20 с
Чтобы сравнить эти величины, приведем их к одной единице измерения. Переведем $\frac{1}{5}$ минуты в секунды.
В одной минуте содержится 60 секунд. Чтобы найти $\frac{1}{5}$ от минуты, нужно 60 секунд умножить на дробь $\frac{1}{5}$.
$60 \cdot \frac{1}{5} = \frac{60}{5} = 12$ с.
Теперь сравним полученное значение со второй величиной: $12$ с и $20$ с.
$12$ секунд меньше, чем $20$ секунд.
Ответ: $\frac{1}{5} \text{ мин} < 20 \text{ с}$

3 ч ? $\frac{1}{8}$ сут.
Чтобы сравнить эти величины, приведем их к одной единице измерения. Переведем $\frac{1}{8}$ суток в часы.
В одних сутках содержатся 24 часа. Чтобы найти $\frac{1}{8}$ от суток, нужно 24 часа умножить на дробь $\frac{1}{8}$.
$24 \cdot \frac{1}{8} = \frac{24}{8} = 3$ ч.
Теперь сравним полученное значение с первой величиной: $3$ ч и $3$ ч.
Эти значения равны.
Ответ: $3 \text{ ч} = \frac{1}{8} \text{ сут.}$

$\frac{1}{6}$ сут. ? 6 ч
Чтобы сравнить эти величины, приведем их к одной единице измерения. Переведем $\frac{1}{6}$ суток в часы.
В одних сутках содержатся 24 часа. Чтобы найти $\frac{1}{6}$ от суток, нужно 24 часа умножить на дробь $\frac{1}{6}$.
$24 \cdot \frac{1}{6} = \frac{24}{6} = 4$ ч.
Теперь сравним полученное значение со второй величиной: $4$ ч и $6$ ч.
$4$ часа меньше, чем $6$ часов.
Ответ: $\frac{1}{6} \text{ сут.} < 6 \text{ ч}$

Помогло решение? Оставьте отзыв в комментариях ниже.

Присоединяйтесь к Телеграм-группе @gdz_by_belarus

Присоединиться

Мы подготовили для вас ответ c подробным объяснением домашего задания по математике за 3 класс, для упражнения номер 2 расположенного на странице 122 для 2-й части к учебнику 2021 года издания для учащихся школ и гимназий.

Теперь на нашем сайте ГДЗ.ТОП вы всегда легко и бесплатно найдёте условие с правильным ответом на вопрос «Как решить ДЗ» и «Как сделать» задание по математике к упражнению №2 (с. 122), авторов: Муравьева (Галина Леонидовна), Урбан (Мария Анатольевна), 2-й части учебного пособия издательства Национальный институт образования.