Номер 35.4, страница 171 - гдз по алгебре 7-9 класс сборник задач Арефьева, Пирютко

Алгебра, 7-9 класс Сборник задач, авторы: Арефьева Ирина Глебовна, Пирютко Ольга Николаевна, издательство Народная асвета, Минск, 2020

Авторы: Арефьева И. Г., Пирютко О. Н.

Тип: Сборник задач

Издательство: Народная асвета

Год издания: 2020 - 2025

Цвет обложки: синий с графиками

Допущено Министерством образования Республики Беларусь

Популярные ГДЗ в 7 классе

9 класс. Параграф 35. Функции - номер 35.4, страница 171.

№35.4 (с. 171)
Условие. №35.4 (с. 171)
скриншот условия
Алгебра, 7-9 класс Сборник задач, авторы: Арефьева Ирина Глебовна, Пирютко Ольга Николаевна, издательство Народная асвета, Минск, 2020, страница 171, номер 35.4, Условие

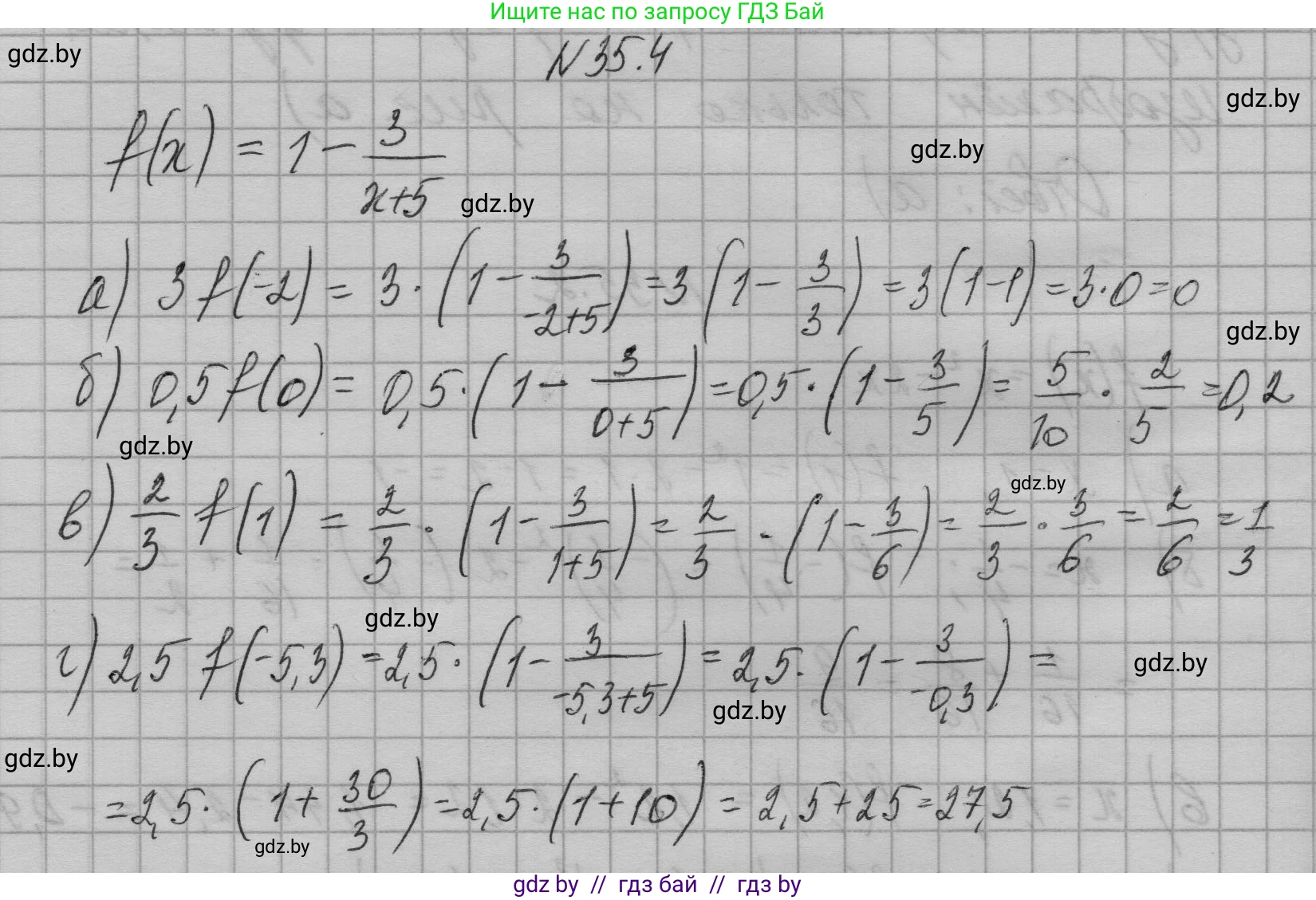
35.4. Функция задана формулой $f(x)=1-\frac{3}{x+5}$. Найдите значение выражения:

а) $3f(-2)$;

б) $0,5f(0)$;

в) $\frac{2}{3}f(1)$;

г) $2,5f(-5,3)$.

Решение. №35.4 (с. 171)
Алгебра, 7-9 класс Сборник задач, авторы: Арефьева Ирина Глебовна, Пирютко Ольга Николаевна, издательство Народная асвета, Минск, 2020, страница 171, номер 35.4, Решение
Решение 2. №35.4 (с. 171)

Дана функция $f(x) = 1 - \frac{3}{x+5}$. Для нахождения значений выражений необходимо сначала вычислить значение функции $f(x)$ для заданного аргумента $x$, а затем умножить результат на соответствующий коэффициент.

а) $3f(-2)$
Сначала найдем значение $f(-2)$:
$f(-2) = 1 - \frac{3}{-2+5} = 1 - \frac{3}{3} = 1 - 1 = 0$.
Теперь умножим результат на 3:
$3f(-2) = 3 \cdot 0 = 0$.
Ответ: 0.

б) $0,5f(0)$
Сначала найдем значение $f(0)$:
$f(0) = 1 - \frac{3}{0+5} = 1 - \frac{3}{5} = \frac{5}{5} - \frac{3}{5} = \frac{2}{5}$.
Теперь умножим результат на 0,5:
$0,5f(0) = 0,5 \cdot \frac{2}{5} = \frac{1}{2} \cdot \frac{2}{5} = \frac{1}{5} = 0,2$.
Ответ: 0,2.

в) $\frac{2}{3}f(1)$
Сначала найдем значение $f(1)$:
$f(1) = 1 - \frac{3}{1+5} = 1 - \frac{3}{6} = 1 - \frac{1}{2} = \frac{1}{2}$.
Теперь умножим результат на $\frac{2}{3}$:
$\frac{2}{3}f(1) = \frac{2}{3} \cdot \frac{1}{2} = \frac{2 \cdot 1}{3 \cdot 2} = \frac{1}{3}$.
Ответ: $\frac{1}{3}$.

г) $2,5f(-5,3)$
Сначала найдем значение $f(-5,3)$:
$f(-5,3) = 1 - \frac{3}{-5,3+5} = 1 - \frac{3}{-0,3}$.
Так как $\frac{3}{-0,3} = -\frac{30}{3} = -10$, получаем:
$f(-5,3) = 1 - (-10) = 1 + 10 = 11$.
Теперь умножим результат на 2,5:
$2,5f(-5,3) = 2,5 \cdot 11 = 27,5$.
Ответ: 27,5.

Помогло решение? Оставьте отзыв в комментариях ниже.

Присоединяйтесь к Телеграм-группе @gdz_by_belarus

Присоединиться

Мы подготовили для вас ответ c подробным объяснением домашего задания по алгебре за 7-9 класс, для упражнения номер 35.4 расположенного на странице 171 к сборнику задач 2020 года издания для учащихся школ и гимназий.

Теперь на нашем сайте ГДЗ.ТОП вы всегда легко и бесплатно найдёте условие с правильным ответом на вопрос «Как решить ДЗ» и «Как сделать» задание по алгебре к упражнению №35.4 (с. 171), авторов: Арефьева (Ирина Глебовна), Пирютко (Ольга Николаевна), учебного пособия издательства Народная асвета.