Номер 36.49, страница 184 - гдз по алгебре 7-9 класс сборник задач Арефьева, Пирютко

Алгебра, 7-9 класс Сборник задач, авторы: Арефьева Ирина Глебовна, Пирютко Ольга Николаевна, издательство Народная асвета, Минск, 2020

Авторы: Арефьева И. Г., Пирютко О. Н.

Тип: Сборник задач

Издательство: Народная асвета

Год издания: 2020 - 2025

Цвет обложки: синий с графиками

Допущено Министерством образования Республики Беларусь

Популярные ГДЗ в 7 классе

9 класс. Параграф 36. Дробно-рациональные уравнения - номер 36.49, страница 184.

№36.49 (с. 184)
Условие. №36.49 (с. 184)
скриншот условия
Алгебра, 7-9 класс Сборник задач, авторы: Арефьева Ирина Глебовна, Пирютко Ольга Николаевна, издательство Народная асвета, Минск, 2020, страница 184, номер 36.49, Условие

36.49*. Найдите произведение корней уравнения

$x^2 + \frac{x^2 - 2x + 1}{x^2 - 10x + 25} = \frac{2x - 2x^2}{x - 5}.$

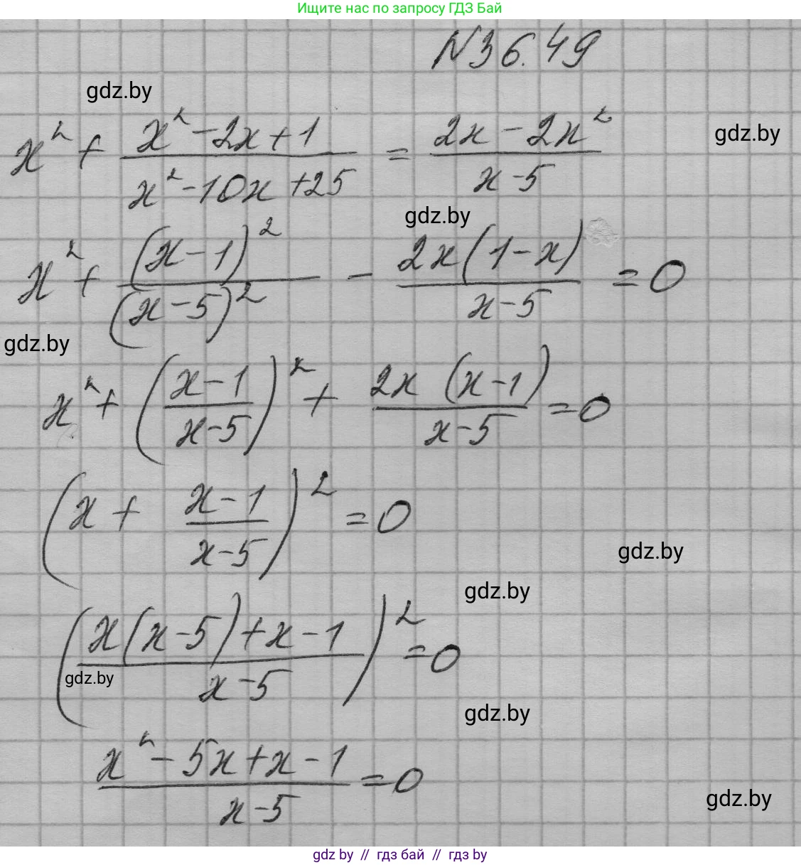
Решение. №36.49 (с. 184)
Алгебра, 7-9 класс Сборник задач, авторы: Арефьева Ирина Глебовна, Пирютко Ольга Николаевна, издательство Народная асвета, Минск, 2020, страница 184, номер 36.49, Решение Алгебра, 7-9 класс Сборник задач, авторы: Арефьева Ирина Глебовна, Пирютко Ольга Николаевна, издательство Народная асвета, Минск, 2020, страница 184, номер 36.49, Решение (продолжение 2)
Решение 2. №36.49 (с. 184)

Для решения данного уравнения сначала определим область допустимых значений (ОДЗ). Знаменатели дробей не могут быть равны нулю.

1. $x^2 - 10x + 25 \neq 0$

Используя формулу квадрата разности, получаем: $(x-5)^2 \neq 0$, что означает $x \neq 5$.

2. $x - 5 \neq 0$, что также дает $x \neq 5$.

Таким образом, ОДЗ уравнения: $x$ — любое число, кроме 5.

Теперь преобразуем исходное уравнение:

$$x^2 + \frac{x^2 - 2x + 1}{x^2 - 10x + 25} = \frac{2x - 2x^2}{x - 5}$$

Заметим, что числитель и знаменатель первой дроби являются полными квадратами:

$x^2 - 2x + 1 = (x-1)^2$

$x^2 - 10x + 25 = (x-5)^2$

Также преобразуем числитель второй дроби:

$2x - 2x^2 = -2x(x - 1)$

Подставим эти выражения в уравнение:

$$x^2 + \frac{(x-1)^2}{(x-5)^2} = \frac{-2x(x - 1)}{x - 5}$$

Уравнение можно переписать в виде:

$$x^2 + \left(\frac{x-1}{x-5}\right)^2 = -2x\left(\frac{x-1}{x-5}\right)$$

Перенесем все члены в левую часть уравнения:

$$x^2 + 2x\left(\frac{x-1}{x-5}\right) + \left(\frac{x-1}{x-5}\right)^2 = 0$$

Левая часть уравнения представляет собой формулу квадрата суммы $(a+b)^2 = a^2 + 2ab + b^2$, где $a = x$ и $b = \frac{x-1}{x-5}$.

Свернем выражение в левой части:

$$\left(x + \frac{x-1}{x-5}\right)^2 = 0$$

Это уравнение равносильно тому, что выражение в скобках равно нулю:

$$x + \frac{x-1}{x-5} = 0$$

Приведем левую часть к общему знаменателю:

$$\frac{x(x-5) + (x-1)}{x-5} = 0$$

Дробь равна нулю, когда ее числитель равен нулю, а знаменатель не равен нулю (что выполняется согласно ОДЗ).

$x(x-5) + x - 1 = 0$

$x^2 - 5x + x - 1 = 0$

$$x^2 - 4x - 1 = 0$$

Мы получили квадратное уравнение. По условию задачи, нам нужно найти произведение его корней. Воспользуемся теоремой Виета для приведенного квадратного уравнения $x^2 + px + q = 0$, согласно которой произведение корней $x_1 \cdot x_2$ равно свободному члену $q$.

В нашем уравнении $q = -1$.

Следовательно, произведение корней $x_1 \cdot x_2 = -1$.

Необходимо убедиться, что найденные корни удовлетворяют ОДЗ, то есть не равны 5. Для этого подставим $x=5$ в полученное квадратное уравнение:

$5^2 - 4(5) - 1 = 25 - 20 - 1 = 4$.

Так как $4 \neq 0$, то $x=5$ не является корнем этого уравнения. Значит, оба корня удовлетворяют ОДЗ.

Ответ: -1.

Помогло решение? Оставьте отзыв в комментариях ниже.

Присоединяйтесь к Телеграм-группе @gdz_by_belarus

Присоединиться

Мы подготовили для вас ответ c подробным объяснением домашего задания по алгебре за 7-9 класс, для упражнения номер 36.49 расположенного на странице 184 к сборнику задач 2020 года издания для учащихся школ и гимназий.

Теперь на нашем сайте ГДЗ.ТОП вы всегда легко и бесплатно найдёте условие с правильным ответом на вопрос «Как решить ДЗ» и «Как сделать» задание по алгебре к упражнению №36.49 (с. 184), авторов: Арефьева (Ирина Глебовна), Пирютко (Ольга Николаевна), учебного пособия издательства Народная асвета.