Номер 37.35, страница 189 - гдз по алгебре 7-9 класс сборник задач Арефьева, Пирютко
Авторы: Арефьева И. Г., Пирютко О. Н.
Тип: Сборник задач
Издательство: Народная асвета
Год издания: 2020 - 2025
Цвет обложки: синий с графиками
Допущено Министерством образования Республики Беларусь
Популярные ГДЗ в 7 классе
9 класс. Параграф 37. Системы нелинейных уравнений - номер 37.35, страница 189.
№37.35 (с. 189)
Условие. №37.35 (с. 189)
скриншот условия
37.35*. Решите систему уравнений $\begin{cases} x^2 + \frac{1}{y} = \frac{1}{y^2} + x, \\ x + \frac{1}{y^2} = 6. \end{cases}$
Решение. №37.35 (с. 189)
Решение 2. №37.35 (с. 189)
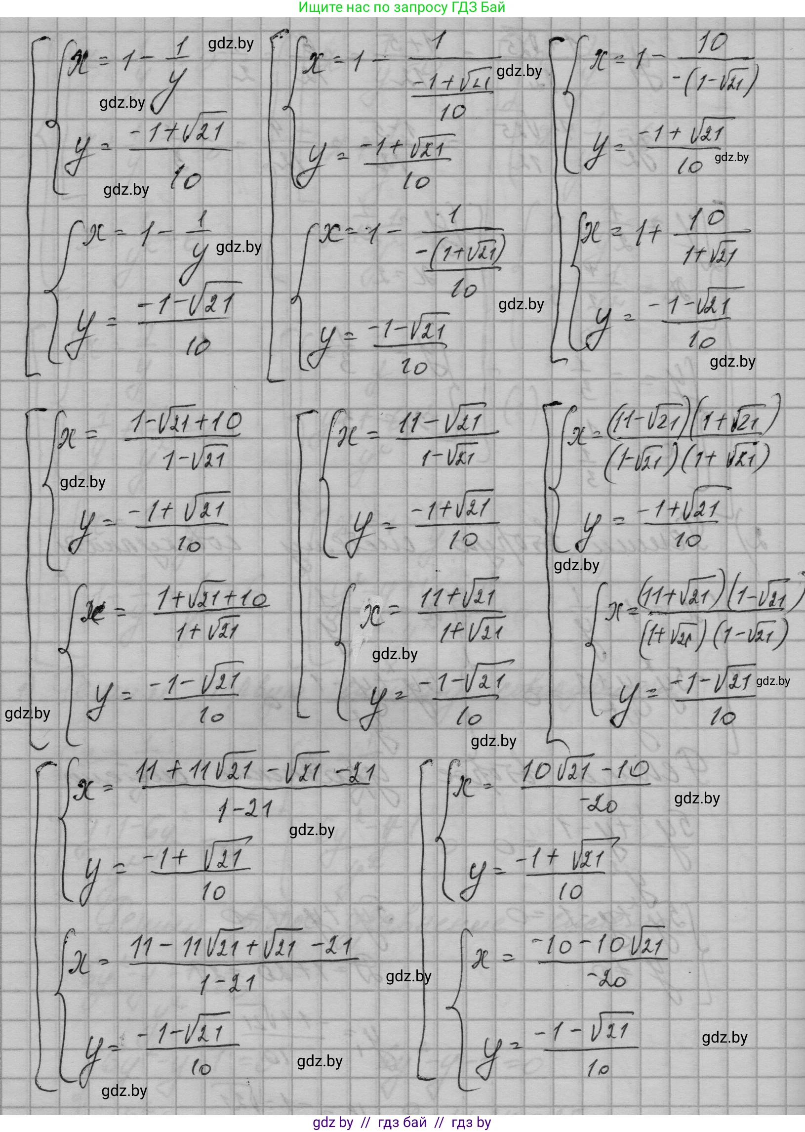
Исходная система уравнений:
$$\begin{cases}x^2 + \frac{1}{y} = \frac{1}{y^2} + x \\x + \frac{1}{y^2} = 6\end{cases}$$
Область допустимых значений для переменных: $y \neq 0$.
Преобразуем первое уравнение системы. Перенесем все члены в левую часть:
$x^2 - x - \frac{1}{y^2} + \frac{1}{y} = 0$
Сгруппируем слагаемые следующим образом:
$(x^2 - \frac{1}{y^2}) - (x - \frac{1}{y}) = 0$
Применим формулу разности квадратов $a^2-b^2=(a-b)(a+b)$ к выражению в первых скобках:
$(x - \frac{1}{y})(x + \frac{1}{y}) - (x - \frac{1}{y}) = 0$
Теперь вынесем общий множитель $(x - \frac{1}{y})$ за скобки:
$(x - \frac{1}{y})(x + \frac{1}{y} - 1) = 0$
Произведение равно нулю, когда хотя бы один из множителей равен нулю. Это приводит к двум независимым случаям:
1) $x - \frac{1}{y} = 0 \implies x = \frac{1}{y}$
2) $x + \frac{1}{y} - 1 = 0 \implies x + \frac{1}{y} = 1$
Рассмотрим каждый случай по отдельности, подставляя полученные соотношения во второе уравнение исходной системы $x + \frac{1}{y^2} = 6$.
Случай 1: $x = \frac{1}{y}$
Из этого соотношения следует, что $\frac{1}{y^2} = (\frac{1}{y})^2 = x^2$. Подставим это во второе уравнение системы:
$x + x^2 = 6$
Мы получили квадратное уравнение относительно $x$:
$x^2 + x - 6 = 0$
Решим его. Можно использовать теорему Виета: произведение корней равно -6, а сумма равна -1. Корни легко подбираются: $x_1 = 2$ и $x_2 = -3$. Либо через разложение на множители:
$(x+3)(x-2) = 0$
Отсюда $x_1 = 2$ и $x_2 = -3$.
Найдем соответствующие значения $y$ для каждого корня, используя $y = \frac{1}{x}$:
При $x_1 = 2$, $y_1 = \frac{1}{2}$.
При $x_2 = -3$, $y_2 = -\frac{1}{3}$.
Таким образом, в первом случае мы получили две пары решений: $(2, \frac{1}{2})$ и $(-3, -\frac{1}{3})$.
Случай 2: $x + \frac{1}{y} = 1$
Из этого соотношения выразим $\frac{1}{y}$: $\frac{1}{y} = 1 - x$.
Тогда $\frac{1}{y^2} = (\frac{1}{y})^2 = (1-x)^2$. Подставим это выражение во второе уравнение системы:
$x + (1-x)^2 = 6$
Раскроем скобки и упростим полученное уравнение:
$x + 1 - 2x + x^2 = 6$
$x^2 - x + 1 = 6$
$x^2 - x - 5 = 0$
Решим это квадратное уравнение с помощью формулы для корней:
$x = \frac{-(-1) \pm \sqrt{(-1)^2 - 4 \cdot 1 \cdot (-5)}}{2 \cdot 1} = \frac{1 \pm \sqrt{1 + 20}}{2} = \frac{1 \pm \sqrt{21}}{2}$
Мы получили еще два значения для $x$:
$x_3 = \frac{1 + \sqrt{21}}{2}$ и $x_4 = \frac{1 - \sqrt{21}}{2}$.
Найдем соответствующие значения $y$ для каждого корня, используя $y = \frac{1}{1-x}$:
При $x_3 = \frac{1 + \sqrt{21}}{2}$:
$y_3 = \frac{1}{1 - \frac{1 + \sqrt{21}}{2}} = \frac{1}{\frac{2 - (1 + \sqrt{21})}{2}} = \frac{1}{\frac{1 - \sqrt{21}}{2}} = \frac{2}{1 - \sqrt{21}}$
Умножим числитель и знаменатель на сопряженное выражение $(1 + \sqrt{21})$:
$y_3 = \frac{2(1 + \sqrt{21})}{(1 - \sqrt{21})(1 + \sqrt{21})} = \frac{2(1 + \sqrt{21})}{1 - 21} = \frac{2(1 + \sqrt{21})}{-20} = -\frac{1 + \sqrt{21}}{10}$
При $x_4 = \frac{1 - \sqrt{21}}{2}$:
$y_4 = \frac{1}{1 - \frac{1 - \sqrt{21}}{2}} = \frac{1}{\frac{2 - (1 - \sqrt{21})}{2}} = \frac{1}{\frac{1 + \sqrt{21}}{2}} = \frac{2}{1 + \sqrt{21}}$
Умножим числитель и знаменатель на сопряженное выражение $(1 - \sqrt{21})$:
$y_4 = \frac{2(1 - \sqrt{21})}{(1 + \sqrt{21})(1 - \sqrt{21})} = \frac{2(1 - \sqrt{21})}{1 - 21} = \frac{2(1 - \sqrt{21})}{-20} = -\frac{1 - \sqrt{21}}{10} = \frac{\sqrt{21} - 1}{10}$
Таким образом, во втором случае мы получили еще две пары решений: $(\frac{1 + \sqrt{21}}{2}, -\frac{1 + \sqrt{21}}{10})$ и $(\frac{1 - \sqrt{21}}{2}, \frac{\sqrt{21} - 1}{10})$.
Объединяя результаты обоих случаев, получаем четыре решения системы.
Ответ: $(2; \frac{1}{2})$, $(-3; -\frac{1}{3})$, $(\frac{1 + \sqrt{21}}{2}; -\frac{1 + \sqrt{21}}{10})$, $(\frac{1 - \sqrt{21}}{2}; \frac{\sqrt{21} - 1}{10})$.
Другие задания:
Помогло решение? Оставьте отзыв в комментариях ниже.
Присоединяйтесь к Телеграм-группе @gdz_by_belarus
ПрисоединитьсяМы подготовили для вас ответ c подробным объяснением домашего задания по алгебре за 7-9 класс, для упражнения номер 37.35 расположенного на странице 189 к сборнику задач 2020 года издания для учащихся школ и гимназий.
Теперь на нашем сайте ГДЗ.ТОП вы всегда легко и бесплатно найдёте условие с правильным ответом на вопрос «Как решить ДЗ» и «Как сделать» задание по алгебре к упражнению №37.35 (с. 189), авторов: Арефьева (Ирина Глебовна), Пирютко (Ольга Николаевна), учебного пособия издательства Народная асвета.