Номер 39.31, страница 197 - гдз по алгебре 7-9 класс сборник задач Арефьева, Пирютко

Алгебра, 7-9 класс Сборник задач, авторы: Арефьева Ирина Глебовна, Пирютко Ольга Николаевна, издательство Народная асвета, Минск, 2020

Авторы: Арефьева И. Г., Пирютко О. Н.

Тип: Сборник задач

Издательство: Народная асвета

Год издания: 2020 - 2025

Цвет обложки: синий с графиками

Допущено Министерством образования Республики Беларусь

Популярные ГДЗ в 7 классе

9 класс. Параграф 39. Арифметическая прогрессия - номер 39.31, страница 197.

№39.31 (с. 197)
Условие. №39.31 (с. 197)
скриншот условия
Алгебра, 7-9 класс Сборник задач, авторы: Арефьева Ирина Глебовна, Пирютко Ольга Николаевна, издательство Народная асвета, Минск, 2020, страница 197, номер 39.31, Условие

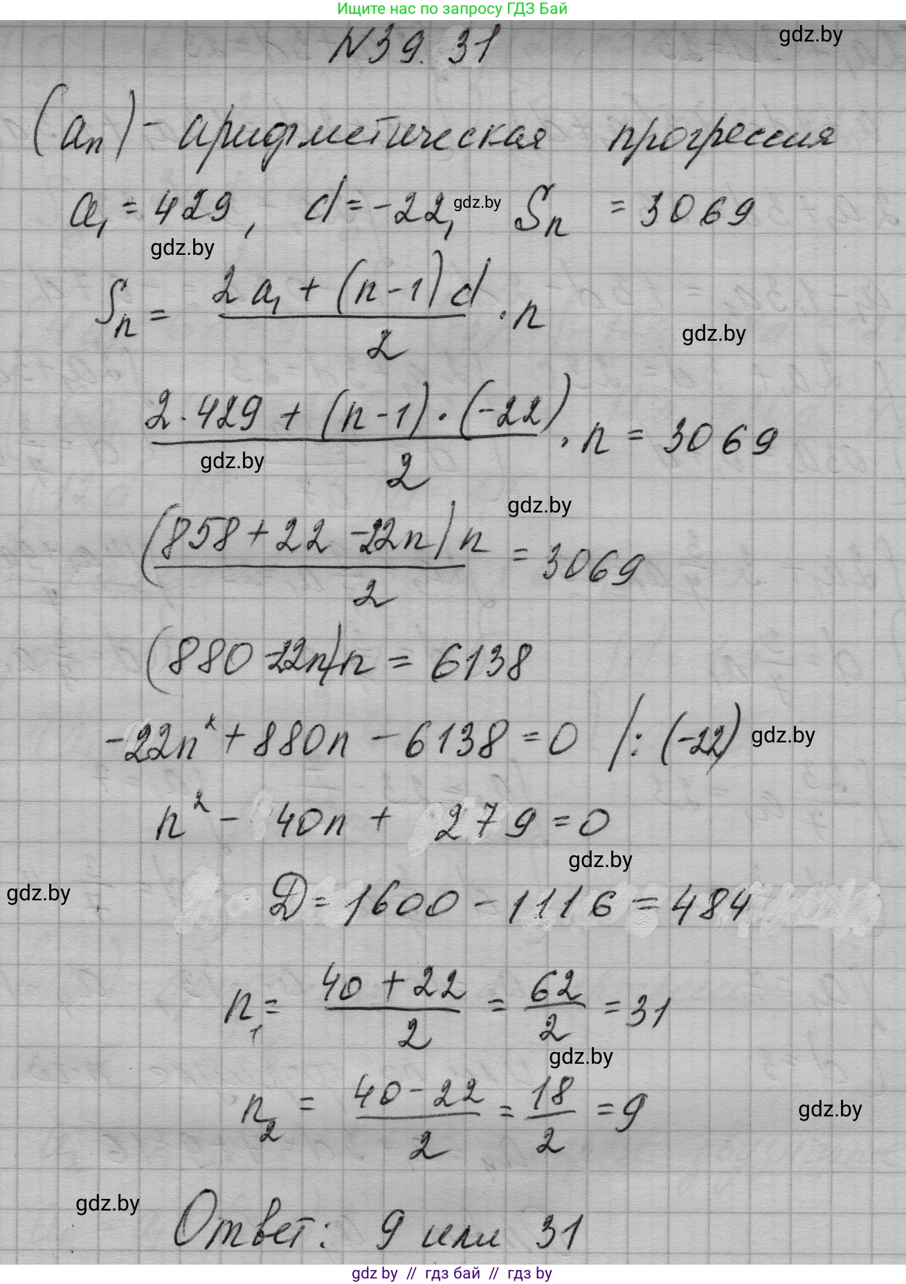
39.31. Первый член арифметической прогрессии ($a_n$) равен $429$, ее разность равна $-22$, $S_n = 3069$. Найдите $n$.

Решение. №39.31 (с. 197)
Алгебра, 7-9 класс Сборник задач, авторы: Арефьева Ирина Глебовна, Пирютко Ольга Николаевна, издательство Народная асвета, Минск, 2020, страница 197, номер 39.31, Решение
Решение 2. №39.31 (с. 197)

По условию задачи, нам дана арифметическая прогрессия $(a_n)$, для которой известны:

  • Первый член прогрессии: $a_1 = 429$
  • Разность прогрессии: $d = -22$
  • Сумма первых $n$ членов прогрессии: $S_n = 3069$

Требуется найти количество членов прогрессии $n$.

Для нахождения $n$ используется формула суммы первых $n$ членов арифметической прогрессии:

$S_n = \frac{2a_1 + d(n-1)}{2} \cdot n$

Подставим в эту формулу известные нам значения $a_1$, $d$ и $S_n$:

$3069 = \frac{2 \cdot 429 + (-22)(n-1)}{2} \cdot n$

Теперь необходимо решить это уравнение относительно $n$. Выполним преобразования:

$3069 = \frac{858 - 22(n-1)}{2} \cdot n$

$3069 = \frac{858 - 22n + 22}{2} \cdot n$

$3069 = \frac{880 - 22n}{2} \cdot n$

Разделим выражение в скобках на 2:

$3069 = (440 - 11n)n$

Раскроем скобки и приведём уравнение к стандартному квадратному виду $an^2 + bn + c = 0$:

$3069 = 440n - 11n^2$

$11n^2 - 440n + 3069 = 0$

Мы получили квадратное уравнение. Решим его с помощью дискриминанта $D = b^2 - 4ac$:

$D = (-440)^2 - 4 \cdot 11 \cdot 3069 = 193600 - 135036 = 58564$

Теперь найдем корень из дискриминанта:

$\sqrt{D} = \sqrt{58564} = 242$

Найдем корни уравнения по формуле $n_{1,2} = \frac{-b \pm \sqrt{D}}{2a}$:

$n_1 = \frac{440 + 242}{2 \cdot 11} = \frac{682}{22} = 31$

$n_2 = \frac{440 - 242}{2 \cdot 11} = \frac{198}{22} = 9$

Оба полученных значения, $n=9$ и $n=31$, являются натуральными числами, следовательно, оба являются корректными решениями задачи. Наличие двух решений объясняется тем, что прогрессия является убывающей, и сумма её членов с 10-го по 31-й включительно равна нулю, поэтому $S_9 = S_{31}$.

Ответ: 9 или 31.

Помогло решение? Оставьте отзыв в комментариях ниже.

Присоединяйтесь к Телеграм-группе @gdz_by_belarus

Присоединиться

Мы подготовили для вас ответ c подробным объяснением домашего задания по алгебре за 7-9 класс, для упражнения номер 39.31 расположенного на странице 197 к сборнику задач 2020 года издания для учащихся школ и гимназий.

Теперь на нашем сайте ГДЗ.ТОП вы всегда легко и бесплатно найдёте условие с правильным ответом на вопрос «Как решить ДЗ» и «Как сделать» задание по алгебре к упражнению №39.31 (с. 197), авторов: Арефьева (Ирина Глебовна), Пирютко (Ольга Николаевна), учебного пособия издательства Народная асвета.