Номер 39.42, страница 198 - гдз по алгебре 7-9 класс сборник задач Арефьева, Пирютко

Алгебра, 7-9 класс Сборник задач, авторы: Арефьева Ирина Глебовна, Пирютко Ольга Николаевна, издательство Народная асвета, Минск, 2020

Авторы: Арефьева И. Г., Пирютко О. Н.

Тип: Сборник задач

Издательство: Народная асвета

Год издания: 2020 - 2025

Цвет обложки: синий с графиками

Допущено Министерством образования Республики Беларусь

Популярные ГДЗ в 7 классе

9 класс. Параграф 39. Арифметическая прогрессия - номер 39.42, страница 198.

№39.42 (с. 198)
Условие. №39.42 (с. 198)
скриншот условия
Алгебра, 7-9 класс Сборник задач, авторы: Арефьева Ирина Глебовна, Пирютко Ольга Николаевна, издательство Народная асвета, Минск, 2020, страница 198, номер 39.42, Условие

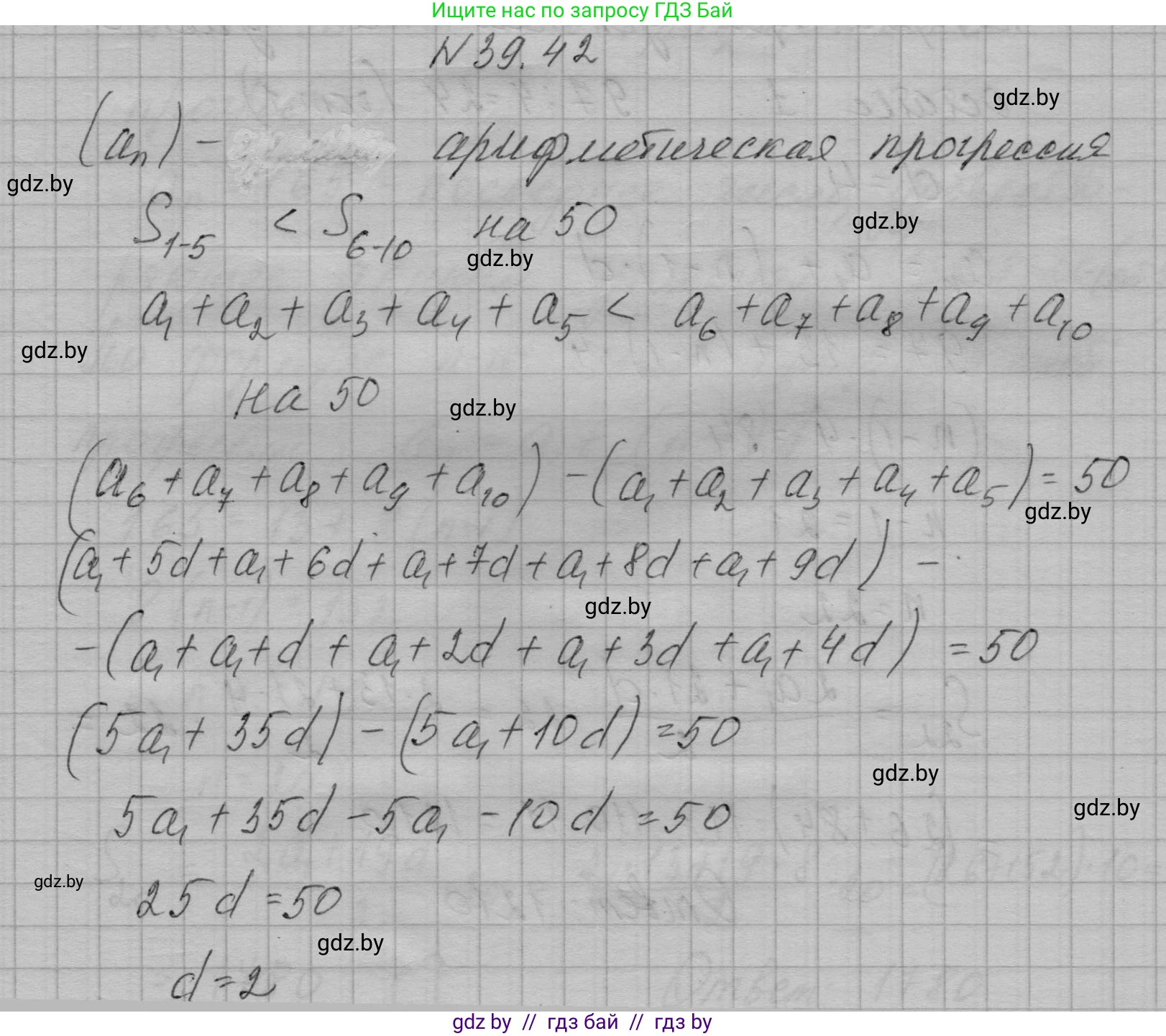
39.42. В арифметической прогрессии $(a_n)$ сумма первых 5 членов меньше суммы последующих 5 членов на 50. Найдите, на сколько пятый член прогрессии больше второго.

Решение. №39.42 (с. 198)
Алгебра, 7-9 класс Сборник задач, авторы: Арефьева Ирина Глебовна, Пирютко Ольга Николаевна, издательство Народная асвета, Минск, 2020, страница 198, номер 39.42, Решение Алгебра, 7-9 класс Сборник задач, авторы: Арефьева Ирина Глебовна, Пирютко Ольга Николаевна, издательство Народная асвета, Минск, 2020, страница 198, номер 39.42, Решение (продолжение 2)
Решение 2. №39.42 (с. 198)

Пусть $(a_n)$ — данная арифметическая прогрессия, а $d$ — её разность.

Сумма первых 5 членов прогрессии: $S_5 = a_1 + a_2 + a_3 + a_4 + a_5$.

Сумма последующих 5 членов (с 6-го по 10-й): $S_{6-10} = a_6 + a_7 + a_8 + a_9 + a_{10}$.

По условию задачи, сумма первых 5 членов меньше суммы последующих 5 членов на 50. Это можно записать в виде уравнения:
$S_{6-10} - S_5 = 50$.

Для любого члена арифметической прогрессии $a_k$ верно, что $a_{k+5} = a_k + 5d$. Применим это свойство к каждому из членов суммы $S_{6-10}$:
$a_6 = a_1 + 5d$
$a_7 = a_2 + 5d$
$a_8 = a_3 + 5d$
$a_9 = a_4 + 5d$
$a_{10} = a_5 + 5d$

Теперь выразим сумму $S_{6-10}$ через $S_5$ и $d$, сложив эти равенства:
$S_{6-10} = (a_1 + 5d) + (a_2 + 5d) + (a_3 + 5d) + (a_4 + 5d) + (a_5 + 5d)$
$S_{6-10} = (a_1 + a_2 + a_3 + a_4 + a_5) + 5 \cdot (5d)$
$S_{6-10} = S_5 + 25d$

Подставим это выражение в уравнение из условия задачи:
$(S_5 + 25d) - S_5 = 50$
$25d = 50$
$d = \frac{50}{25} = 2$

Таким образом, разность арифметической прогрессии равна 2.

Теперь найдем, на сколько пятый член прогрессии больше второго. Нам нужно вычислить разность $a_5 - a_2$.
Используя формулу $n$-го члена арифметической прогрессии $a_n = a_1 + (n-1)d$:
$a_5 = a_1 + (5-1)d = a_1 + 4d$
$a_2 = a_1 + (2-1)d = a_1 + d$
$a_5 - a_2 = (a_1 + 4d) - (a_1 + d) = 3d$

Подставим найденное значение $d=2$:
$a_5 - a_2 = 3 \cdot 2 = 6$

Ответ: 6

Помогло решение? Оставьте отзыв в комментариях ниже.

Присоединяйтесь к Телеграм-группе @gdz_by_belarus

Присоединиться

Мы подготовили для вас ответ c подробным объяснением домашего задания по алгебре за 7-9 класс, для упражнения номер 39.42 расположенного на странице 198 к сборнику задач 2020 года издания для учащихся школ и гимназий.

Теперь на нашем сайте ГДЗ.ТОП вы всегда легко и бесплатно найдёте условие с правильным ответом на вопрос «Как решить ДЗ» и «Как сделать» задание по алгебре к упражнению №39.42 (с. 198), авторов: Арефьева (Ирина Глебовна), Пирютко (Ольга Николаевна), учебного пособия издательства Народная асвета.