Номер 40.31, страница 202 - гдз по алгебре 7-9 класс сборник задач Арефьева, Пирютко

Алгебра, 7-9 класс Сборник задач, авторы: Арефьева Ирина Глебовна, Пирютко Ольга Николаевна, издательство Народная асвета, Минск, 2020

Авторы: Арефьева И. Г., Пирютко О. Н.

Тип: Сборник задач

Издательство: Народная асвета

Год издания: 2020 - 2025

Цвет обложки: синий с графиками

Допущено Министерством образования Республики Беларусь

Популярные ГДЗ в 7 классе

9 класс. Параграф 40. Геометрическая прогрессия - номер 40.31, страница 202.

№40.31 (с. 202)
Условие. №40.31 (с. 202)
скриншот условия
Алгебра, 7-9 класс Сборник задач, авторы: Арефьева Ирина Глебовна, Пирютко Ольга Николаевна, издательство Народная асвета, Минск, 2020, страница 202, номер 40.31, Условие

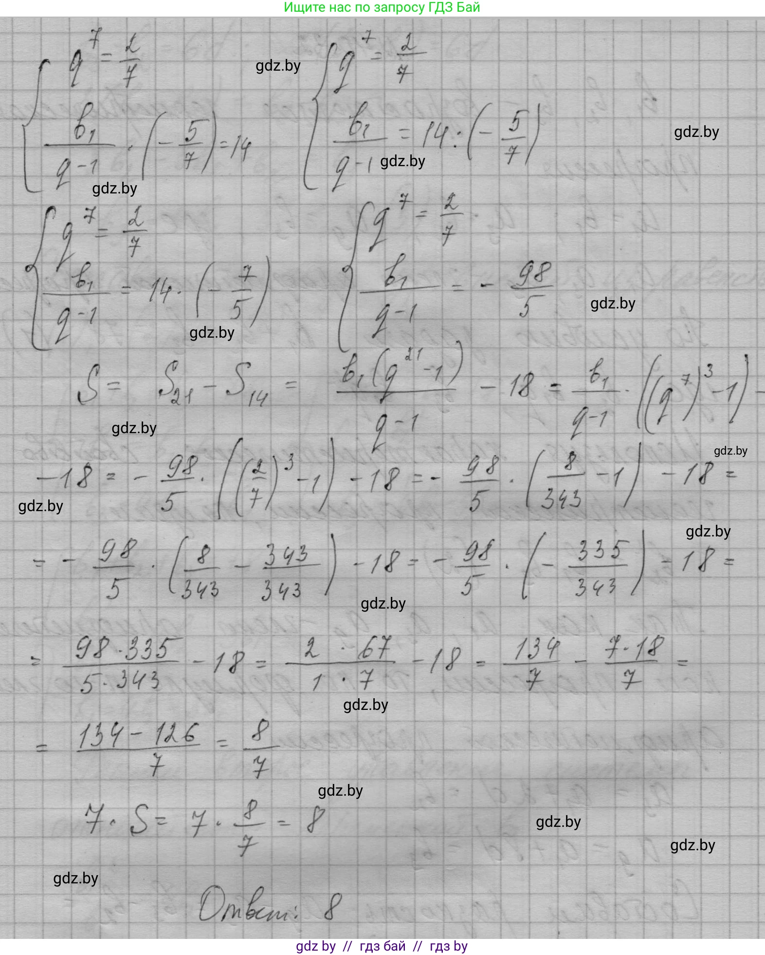
40.31*. Дана геометрическая прогрессия $(b_n)$. Известно, что $S_7=14$, $S_{14}=18$. Найдите значение выражения $7 \cdot S$, где $S$ — сумма всех ее членов с $b_{15}$ по $b_{21}$ включительно.

Решение. №40.31 (с. 202)
Алгебра, 7-9 класс Сборник задач, авторы: Арефьева Ирина Глебовна, Пирютко Ольга Николаевна, издательство Народная асвета, Минск, 2020, страница 202, номер 40.31, Решение Алгебра, 7-9 класс Сборник задач, авторы: Арефьева Ирина Глебовна, Пирютко Ольга Николаевна, издательство Народная асвета, Минск, 2020, страница 202, номер 40.31, Решение (продолжение 2)
Решение 2. №40.31 (с. 202)

Пусть $(b_n)$ — данная геометрическая прогрессия с первым членом $b_1$ и знаменателем $q$. Сумма первых $n$ членов прогрессии обозначается как $S_n$. По условию задачи, $S_7=14$ и $S_{14}=18$. Требуется найти значение выражения $7 \cdot S$, где $S$ — сумма членов прогрессии с $b_{15}$ по $b_{21}$ включительно.

Сначала проверим, не равен ли знаменатель прогрессии $q$ единице. Если $q=1$, то все члены прогрессии равны $b_1$. Тогда $S_7 = 7b_1 = 14$, откуда $b_1 = 2$. В этом случае $S_{14} = 14b_1 = 14 \cdot 2 = 28$. Это противоречит условию $S_{14}=18$, следовательно, $q \neq 1$.

Рассмотрим суммы последовательных блоков членов прогрессии.
Сумма первых 7 членов (с 1-го по 7-й):
$S_7 = b_1 + b_2 + \dots + b_7 = 14$.

Найдем сумму следующих 7 членов (с 8-го по 14-й). Эту сумму можно вычислить как разность $S_{14}$ и $S_7$:
$b_8 + b_9 + \dots + b_{14} = S_{14} - S_7 = 18 - 14 = 4$.

Свяжем сумму второго блока членов с суммой первого. Каждый член второго блока получается из соответствующего члена первого блока умножением на $q^7$:
$b_8 = b_1q^7, b_9 = b_2q^7, \dots, b_{14} = b_7q^7$.
Следовательно, сумма второго блока равна:
$b_8 + b_9 + \dots + b_{14} = (b_1 + b_2 + \dots + b_7) \cdot q^7 = S_7 \cdot q^7$.

Теперь мы можем найти значение $q^7$:
$4 = 14 \cdot q^7$
$q^7 = \frac{4}{14} = \frac{2}{7}$.

Нам нужно найти $S$, сумму членов с 15-го по 21-й. Это следующий блок из 7 членов.
$S = b_{15} + b_{16} + \dots + b_{21}$.
Аналогично предыдущему шагу, каждый член этого блока получается из соответствующего члена второго блока (с 8-го по 14-й) умножением на $q^7$:
$b_{15} = b_8q^7, b_{16} = b_9q^7, \dots, b_{21} = b_{14}q^7$.
Таким образом, сумма $S$ равна:
$S = (b_8 + b_9 + \dots + b_{14}) \cdot q^7 = (S_{14} - S_7) \cdot q^7$.

Подставим известные значения:
$S = 4 \cdot \frac{2}{7} = \frac{8}{7}$.

Наконец, найдем значение искомого выражения $7 \cdot S$:
$7 \cdot S = 7 \cdot \frac{8}{7} = 8$.

Ответ: 8

Помогло решение? Оставьте отзыв в комментариях ниже.

Присоединяйтесь к Телеграм-группе @gdz_by_belarus

Присоединиться

Мы подготовили для вас ответ c подробным объяснением домашего задания по алгебре за 7-9 класс, для упражнения номер 40.31 расположенного на странице 202 к сборнику задач 2020 года издания для учащихся школ и гимназий.

Теперь на нашем сайте ГДЗ.ТОП вы всегда легко и бесплатно найдёте условие с правильным ответом на вопрос «Как решить ДЗ» и «Как сделать» задание по алгебре к упражнению №40.31 (с. 202), авторов: Арефьева (Ирина Глебовна), Пирютко (Ольга Николаевна), учебного пособия издательства Народная асвета.