Номер 1.2, страница 6 - гдз по алгебре 7-9 класс сборник задач Арефьева, Пирютко

Алгебра, 7-9 класс Сборник задач, авторы: Арефьева Ирина Глебовна, Пирютко Ольга Николаевна, издательство Народная асвета, Минск, 2020

Авторы: Арефьева И. Г., Пирютко О. Н.

Тип: Сборник задач

Издательство: Народная асвета

Год издания: 2020 - 2025

Цвет обложки: синий с графиками

Допущено Министерством образования Республики Беларусь

Популярные ГДЗ в 7 классе

7 класс. Параграф 1. Степень с натуральным показателем и ее свойства - номер 1.2, страница 6.

№1.2 (с. 6)
Условие. №1.2 (с. 6)
скриншот условия
Алгебра, 7-9 класс Сборник задач, авторы: Арефьева Ирина Глебовна, Пирютко Ольга Николаевна, издательство Народная асвета, Минск, 2020, страница 6, номер 1.2, Условие

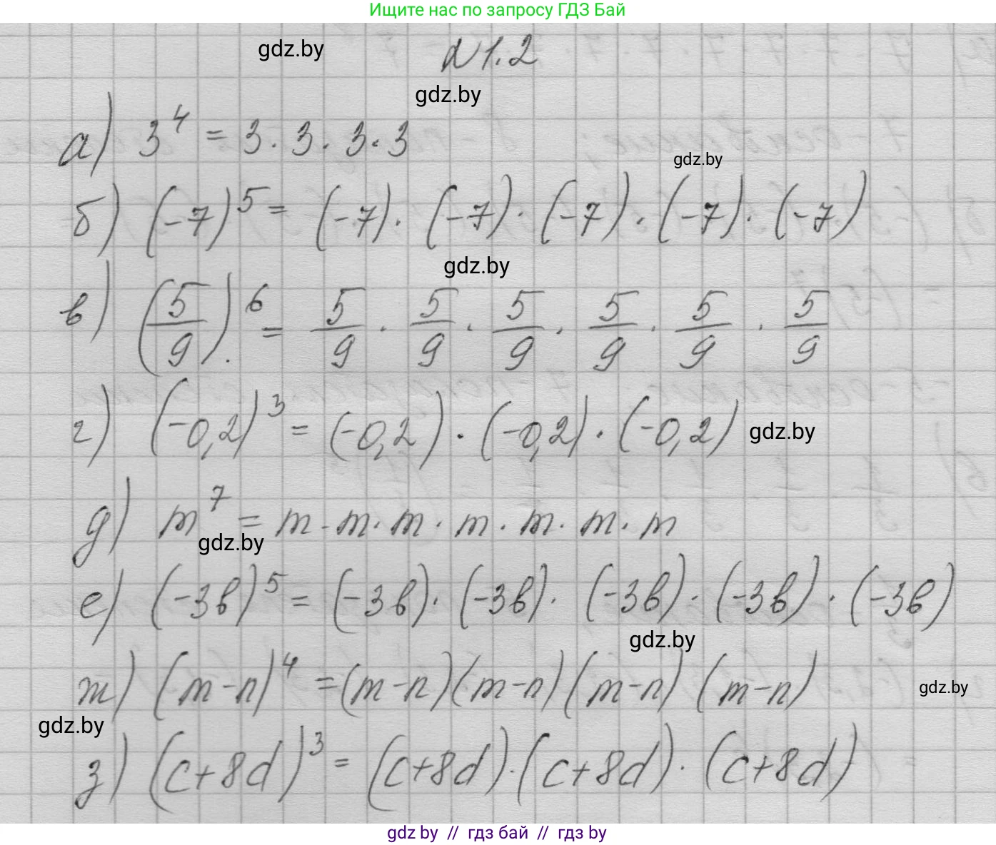
1.2. Запишите в виде произведения степень:

а) $3^4$;

б) $(-7)^5$;

в) $(\frac{5}{9})^6$;

г) $(-0,2)^3$;

д) $m^7$;

е) $(-3b)^5$;

ж) $(m-n)^4$;

з) $(c+8d)^3$.

Решение. №1.2 (с. 6)
Алгебра, 7-9 класс Сборник задач, авторы: Арефьева Ирина Глебовна, Пирютко Ольга Николаевна, издательство Народная асвета, Минск, 2020, страница 6, номер 1.2, Решение
Решение 2. №1.2 (с. 6)

Чтобы записать степень в виде произведения, нужно основание степени умножить само на себя столько раз, сколько показывает показатель степени. Общая формула: $a^n = \underbrace{a \cdot a \cdot \ldots \cdot a}_{n \text{ раз}}$.

а) Степень $3^4$ означает, что число 3 (основание) нужно умножить само на себя 4 раза (показатель степени).
$3^4 = 3 \cdot 3 \cdot 3 \cdot 3$.
Ответ: $3 \cdot 3 \cdot 3 \cdot 3$.

б) Степень $(-7)^5$ означает, что число -7 нужно умножить само на себя 5 раз.
$(-7)^5 = (-7) \cdot (-7) \cdot (-7) \cdot (-7) \cdot (-7)$.
Ответ: $(-7) \cdot (-7) \cdot (-7) \cdot (-7) \cdot (-7)$.

в) Степень $(\frac{5}{9})^6$ означает, что дробь $\frac{5}{9}$ нужно умножить саму на себя 6 раз.
$(\frac{5}{9})^6 = \frac{5}{9} \cdot \frac{5}{9} \cdot \frac{5}{9} \cdot \frac{5}{9} \cdot \frac{5}{9} \cdot \frac{5}{9}$.
Ответ: $\frac{5}{9} \cdot \frac{5}{9} \cdot \frac{5}{9} \cdot \frac{5}{9} \cdot \frac{5}{9} \cdot \frac{5}{9}$.

г) Степень $(-0,2)^3$ означает, что число -0,2 нужно умножить само на себя 3 раза.
$(-0,2)^3 = (-0,2) \cdot (-0,2) \cdot (-0,2)$.
Ответ: $(-0,2) \cdot (-0,2) \cdot (-0,2)$.

д) Степень $m^7$ означает, что переменную $m$ нужно умножить саму на себя 7 раз.
$m^7 = m \cdot m \cdot m \cdot m \cdot m \cdot m \cdot m$.
Ответ: $m \cdot m \cdot m \cdot m \cdot m \cdot m \cdot m$.

е) Степень $(-3b)^5$ означает, что выражение $(-3b)$ нужно умножить само на себя 5 раз.
$(-3b)^5 = (-3b) \cdot (-3b) \cdot (-3b) \cdot (-3b) \cdot (-3b)$.
Ответ: $(-3b) \cdot (-3b) \cdot (-3b) \cdot (-3b) \cdot (-3b)$.

ж) Степень $(m - n)^4$ означает, что выражение $(m - n)$ нужно умножить само на себя 4 раза.
$(m - n)^4 = (m - n) \cdot (m - n) \cdot (m - n) \cdot (m - n)$.
Ответ: $(m - n) \cdot (m - n) \cdot (m - n) \cdot (m - n)$.

з) Степень $(c + 8d)^3$ означает, что выражение $(c + 8d)$ нужно умножить само на себя 3 раза.
$(c + 8d)^3 = (c + 8d) \cdot (c + 8d) \cdot (c + 8d)$.
Ответ: $(c + 8d) \cdot (c + 8d) \cdot (c + 8d)$.

Помогло решение? Оставьте отзыв в комментариях ниже.

Присоединяйтесь к Телеграм-группе @gdz_by_belarus

Присоединиться

Мы подготовили для вас ответ c подробным объяснением домашего задания по алгебре за 7-9 класс, для упражнения номер 1.2 расположенного на странице 6 к сборнику задач 2020 года издания для учащихся школ и гимназий.

Теперь на нашем сайте ГДЗ.ТОП вы всегда легко и бесплатно найдёте условие с правильным ответом на вопрос «Как решить ДЗ» и «Как сделать» задание по алгебре к упражнению №1.2 (с. 6), авторов: Арефьева (Ирина Глебовна), Пирютко (Ольга Николаевна), учебного пособия издательства Народная асвета.