Номер 7.10, страница 32 - гдз по алгебре 7-9 класс сборник задач Арефьева, Пирютко

Алгебра, 7-9 класс Сборник задач, авторы: Арефьева Ирина Глебовна, Пирютко Ольга Николаевна, издательство Народная асвета, Минск, 2020

Авторы: Арефьева И. Г., Пирютко О. Н.

Тип: Сборник задач

Издательство: Народная асвета

Год издания: 2020 - 2025

Цвет обложки: синий с графиками

Допущено Министерством образования Республики Беларусь

Популярные ГДЗ в 7 классе

7 класс. Параграф 7. Действия с одночленами - номер 7.10, страница 32.

№7.10 (с. 32)
Условие. №7.10 (с. 32)
скриншот условия
Алгебра, 7-9 класс Сборник задач, авторы: Арефьева Ирина Глебовна, Пирютко Ольга Николаевна, издательство Народная асвета, Минск, 2020, страница 32, номер 7.10, Условие

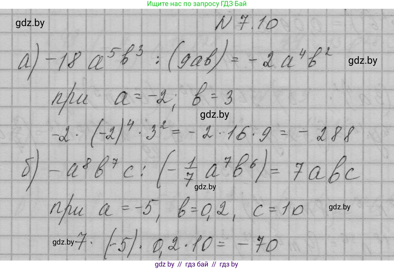
7.10. Выполните деление одночленов и найдите значение полученного выражения:

а) $-18a^5b^3 : (9ab)$ при $a = -2, b = 3;$

б) $-a^8b^7c : (-\frac{1}{7}a^7b^6)$ при $a = -5, b = 0,2, c = 10.$

Решение. №7.10 (с. 32)
Алгебра, 7-9 класс Сборник задач, авторы: Арефьева Ирина Глебовна, Пирютко Ольга Николаевна, издательство Народная асвета, Минск, 2020, страница 32, номер 7.10, Решение
Решение 2. №7.10 (с. 32)

а)

Сначала выполним деление одночленов $-18a^5b^3$ на $(9ab)$. Для этого разделим коэффициенты и переменные с одинаковыми основаниями по отдельности, используя правило деления степеней $x^m : x^n = x^{m-n}$.

$(-18a^5b^3) : (9ab) = (\frac{-18}{9}) \cdot (\frac{a^5}{a^1}) \cdot (\frac{b^3}{b^1}) = -2 \cdot a^{5-1} \cdot b^{3-1} = -2a^4b^2$.

Теперь подставим в полученное выражение значения $a = -2$ и $b = 3$:

$-2a^4b^2 = -2 \cdot (-2)^4 \cdot 3^2$.

Вычислим значение выражения:

$-2 \cdot 16 \cdot 9 = -32 \cdot 9 = -288$.

Ответ: -288

б)

Выполним деление одночленов $-a^8b^7c$ на $(-\frac{1}{7}a^7b^6)$.

$(-a^8b^7c) : (-\frac{1}{7}a^7b^6) = (\frac{-1}{-1/7}) \cdot (\frac{a^8}{a^7}) \cdot (\frac{b^7}{b^6}) \cdot c$.

Упростим выражение:

$7 \cdot a^{8-7} \cdot b^{7-6} \cdot c = 7a^1b^1c = 7abc$.

Теперь подставим в полученное выражение значения $a = -5$, $b = 0,2$ и $c = 10$:

$7abc = 7 \cdot (-5) \cdot 0,2 \cdot 10$.

Вычислим значение выражения:

$7 \cdot (-5) \cdot (0,2 \cdot 10) = 7 \cdot (-5) \cdot 2 = -35 \cdot 2 = -70$.

Ответ: -70

Помогло решение? Оставьте отзыв в комментариях ниже.

Присоединяйтесь к Телеграм-группе @gdz_by_belarus

Присоединиться

Мы подготовили для вас ответ c подробным объяснением домашего задания по алгебре за 7-9 класс, для упражнения номер 7.10 расположенного на странице 32 к сборнику задач 2020 года издания для учащихся школ и гимназий.

Теперь на нашем сайте ГДЗ.ТОП вы всегда легко и бесплатно найдёте условие с правильным ответом на вопрос «Как решить ДЗ» и «Как сделать» задание по алгебре к упражнению №7.10 (с. 32), авторов: Арефьева (Ирина Глебовна), Пирютко (Ольга Николаевна), учебного пособия издательства Народная асвета.