Номер 9.8, страница 38 - гдз по алгебре 7-9 класс сборник задач Арефьева, Пирютко

Алгебра, 7-9 класс Сборник задач, авторы: Арефьева Ирина Глебовна, Пирютко Ольга Николаевна, издательство Народная асвета, Минск, 2020

Авторы: Арефьева И. Г., Пирютко О. Н.

Тип: Сборник задач

Издательство: Народная асвета

Год издания: 2020 - 2025

Цвет обложки: синий с графиками

Допущено Министерством образования Республики Беларусь

Популярные ГДЗ в 7 классе

7 класс. Параграф 9. Сложение и вычитание многочленов - номер 9.8, страница 38.

№9.8 (с. 38)
Условие. №9.8 (с. 38)
скриншот условия
Алгебра, 7-9 класс Сборник задач, авторы: Арефьева Ирина Глебовна, Пирютко Ольга Николаевна, издательство Народная асвета, Минск, 2020, страница 38, номер 9.8, Условие

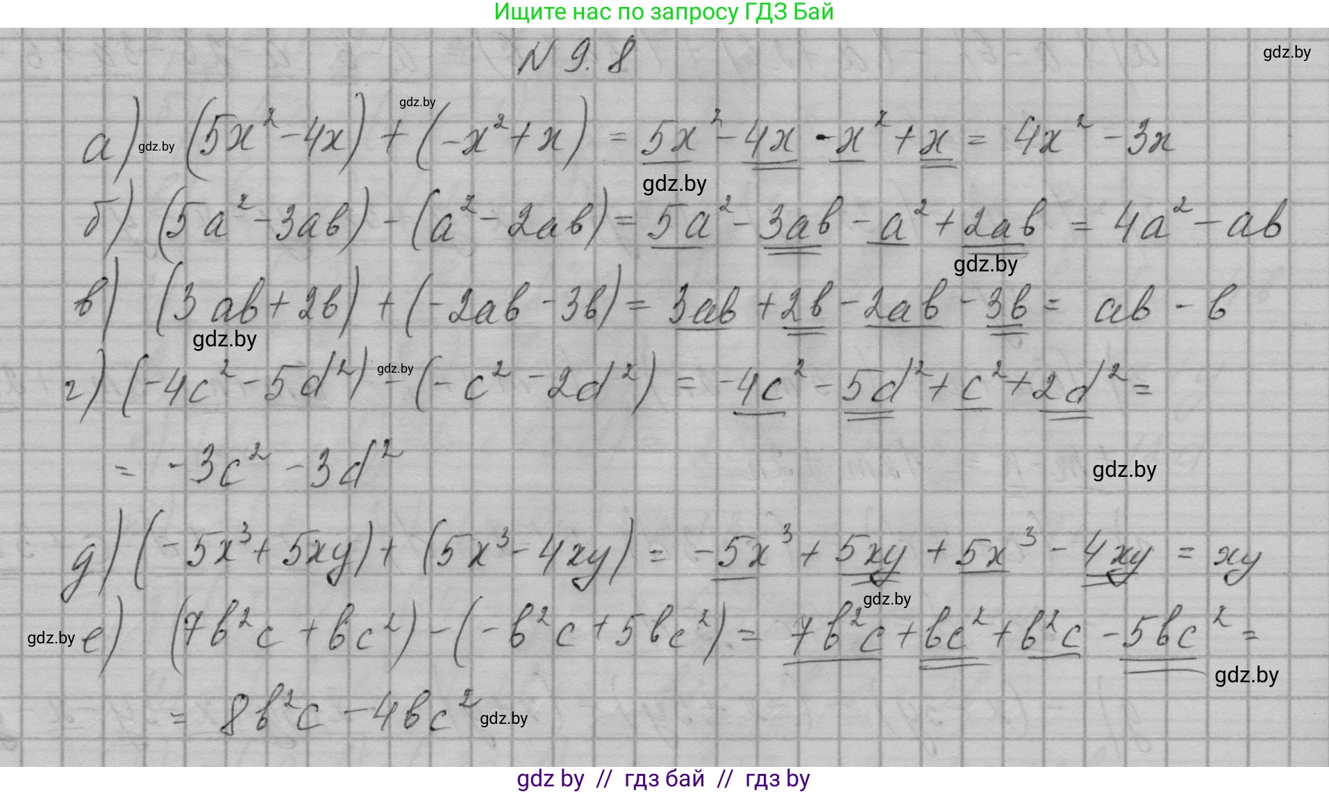
9.8. Выполните сложение или вычитание многочленов:

а) $(5x^2 - 4x) + (-x^2 + x);$

б) $(5a^2 - 3ab) - (a^2 - 2ab);$

в) $(3ab + 2b) + (-2ab - 3b);$

г) $(-4c^2 - 5d^2) - (-c^2 - 2d^2);$

д) $(-5x^3 + 5xy) + (5x^3 - 4xy);$

е) $(7b^2c + bc^2) - (-b^2c + 5bc^2).$

Решение. №9.8 (с. 38)
Алгебра, 7-9 класс Сборник задач, авторы: Арефьева Ирина Глебовна, Пирютко Ольга Николаевна, издательство Народная асвета, Минск, 2020, страница 38, номер 9.8, Решение
Решение 2. №9.8 (с. 38)

а) Для того чтобы сложить многочлены, раскроем скобки и приведем подобные слагаемые. Если перед скобкой стоит знак плюс, то знаки слагаемых в скобках не меняются.

$(5x^2 - 4x) + (-x^2 + x) = 5x^2 - 4x - x^2 + x$

Сгруппируем подобные слагаемые:

$(5x^2 - x^2) + (-4x + x) = 4x^2 - 3x$

Ответ: $4x^2 - 3x$

б) Для того чтобы вычесть многочлены, раскроем скобки и приведем подобные слагаемые. Если перед скобкой стоит знак минус, то знаки всех слагаемых в скобках меняются на противоположные.

$(5a^2 - 3ab) - (a^2 - 2ab) = 5a^2 - 3ab - a^2 + 2ab$

Сгруппируем подобные слагаемые:

$(5a^2 - a^2) + (-3ab + 2ab) = 4a^2 - ab$

Ответ: $4a^2 - ab$

в) Раскроем скобки и приведем подобные слагаемые:

$(3ab + 2b) + (-2ab - 3b) = 3ab + 2b - 2ab - 3b$

Сгруппируем подобные слагаемые:

$(3ab - 2ab) + (2b - 3b) = ab - b$

Ответ: $ab - b$

г) Раскроем скобки, меняя знаки во втором многочлене, и приведем подобные слагаемые:

$(-4c^2 - 5d^2) - (-c^2 - 2d^2) = -4c^2 - 5d^2 + c^2 + 2d^2$

Сгруппируем подобные слагаемые:

$(-4c^2 + c^2) + (-5d^2 + 2d^2) = -3c^2 - 3d^2$

Ответ: $-3c^2 - 3d^2$

д) Раскроем скобки и приведем подобные слагаемые:

$(-5x^3 + 5xy) + (5x^3 - 4xy) = -5x^3 + 5xy + 5x^3 - 4xy$

Сгруппируем подобные слагаемые:

$(-5x^3 + 5x^3) + (5xy - 4xy) = 0 + xy = xy$

Ответ: $xy$

е) Раскроем скобки, меняя знаки во втором многочлене, и приведем подобные слагаемые:

$(7b^2c + bc^2) - (-b^2c + 5bc^2) = 7b^2c + bc^2 + b^2c - 5bc^2$

Сгруппируем подобные слагаемые:

$(7b^2c + b^2c) + (bc^2 - 5bc^2) = 8b^2c - 4bc^2$

Ответ: $8b^2c - 4bc^2$

Помогло решение? Оставьте отзыв в комментариях ниже.

Присоединяйтесь к Телеграм-группе @gdz_by_belarus

Присоединиться

Мы подготовили для вас ответ c подробным объяснением домашего задания по алгебре за 7-9 класс, для упражнения номер 9.8 расположенного на странице 38 к сборнику задач 2020 года издания для учащихся школ и гимназий.

Теперь на нашем сайте ГДЗ.ТОП вы всегда легко и бесплатно найдёте условие с правильным ответом на вопрос «Как решить ДЗ» и «Как сделать» задание по алгебре к упражнению №9.8 (с. 38), авторов: Арефьева (Ирина Глебовна), Пирютко (Ольга Николаевна), учебного пособия издательства Народная асвета.