Номер 10.11, страница 42 - гдз по алгебре 7-9 класс сборник задач Арефьева, Пирютко

Алгебра, 7-9 класс Сборник задач, авторы: Арефьева Ирина Глебовна, Пирютко Ольга Николаевна, издательство Народная асвета, Минск, 2020

Авторы: Арефьева И. Г., Пирютко О. Н.

Тип: Сборник задач

Издательство: Народная асвета

Год издания: 2020 - 2025

Цвет обложки: синий с графиками

Допущено Министерством образования Республики Беларусь

Популярные ГДЗ в 7 классе

7 класс. Параграф 10. Умножение и деление многочлена на одночлен - номер 10.11, страница 42.

№10.11 (с. 42)
Условие. №10.11 (с. 42)
скриншот условия
Алгебра, 7-9 класс Сборник задач, авторы: Арефьева Ирина Глебовна, Пирютко Ольга Николаевна, издательство Народная асвета, Минск, 2020, страница 42, номер 10.11, Условие

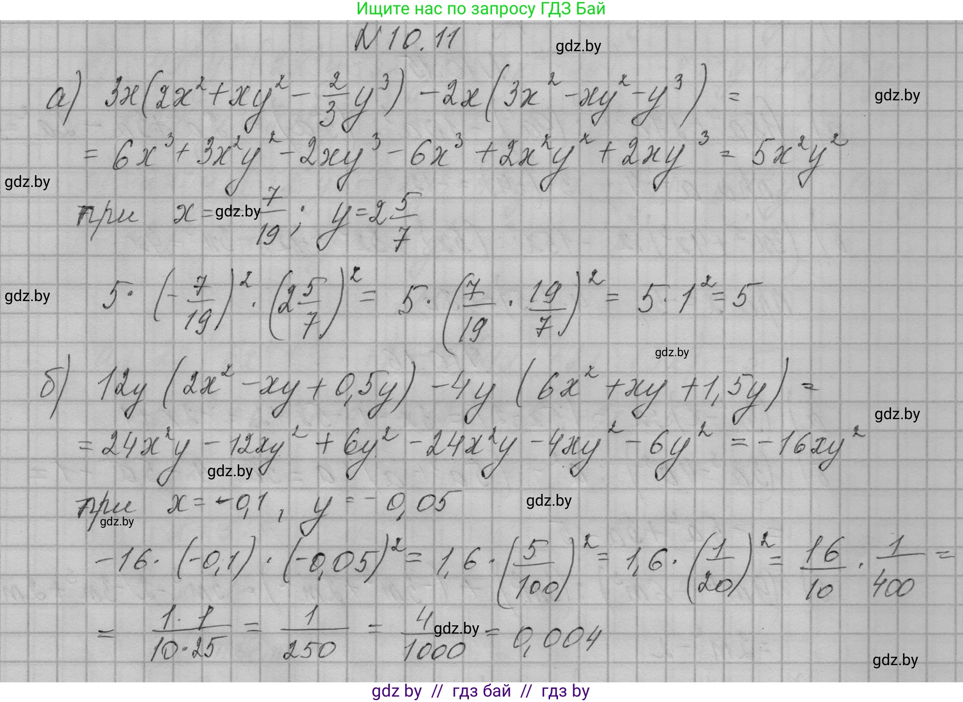
10.11. Упростите выражение:

a) $3x(2x^2 + xy^2 - \frac{2}{3}y^3) - 2x(3x^2 - xy^2 - y^3)$ и найдите его значение при $x = -\frac{7}{19}$, $y = 2\frac{5}{7}$;

б) $12y(2x^2 - xy + 0,5y) - 4y(6x^2 + xy + 1,5y)$ и найдите его значение при $x = -0,1$, $y = -0,05$.

Решение. №10.11 (с. 42)
Алгебра, 7-9 класс Сборник задач, авторы: Арефьева Ирина Глебовна, Пирютко Ольга Николаевна, издательство Народная асвета, Минск, 2020, страница 42, номер 10.11, Решение
Решение 2. №10.11 (с. 42)

а) Сначала упростим данное выражение, раскрыв скобки. Для этого умножим каждый член в скобках на множитель перед ними.

$3x(2x^2 + xy^2 - \frac{2}{3}y^3) - 2x(3x^2 - xy^2 - y^3) = $

$= (3x \cdot 2x^2 + 3x \cdot xy^2 + 3x \cdot (-\frac{2}{3}y^3)) - (2x \cdot 3x^2 + 2x \cdot (-xy^2) + 2x \cdot (-y^3)) = $

$= (6x^3 + 3x^2y^2 - 2xy^3) - (6x^2 - 2x^2y^2 - 2xy^3) = $

Теперь раскроем вторые скобки, изменив знаки на противоположные:

$= 6x^3 + 3x^2y^2 - 2xy^3 - 6x^3 + 2x^2y^2 + 2xy^3$

Приведем подобные слагаемые:

$= (6x^3 - 6x^3) + (3x^2y^2 + 2x^2y^2) + (-2xy^3 + 2xy^3) = 0 + 5x^2y^2 + 0 = 5x^2y^2$

Теперь подставим значения $x = -\frac{7}{19}$ и $y = 2\frac{5}{7}$ в упрощенное выражение.

Сначала преобразуем смешанное число в неправильную дробь:

$y = 2\frac{5}{7} = \frac{2 \cdot 7 + 5}{7} = \frac{19}{7}$

Подставляем значения в $5x^2y^2$:

$5 \cdot (-\frac{7}{19})^2 \cdot (\frac{19}{7})^2 = 5 \cdot (\frac{7^2}{19^2}) \cdot (\frac{19^2}{7^2}) = 5 \cdot \frac{49}{19^2} \cdot \frac{19^2}{49}$

Сокращаем дроби:

$= 5 \cdot 1 = 5$

Ответ: 5

б) Упростим выражение, раскрыв скобки.

$12y(2x^2 - xy + 0,5y) - 4y(6x^2 + xy + 1,5y) = $

$= (12y \cdot 2x^2 + 12y \cdot (-xy) + 12y \cdot 0,5y) - (4y \cdot 6x^2 + 4y \cdot xy + 4y \cdot 1,5y) = $

$= (24x^2y - 12xy^2 + 6y^2) - (24x^2y + 4xy^2 + 6y^2) = $

Раскроем вторые скобки, изменив знаки:

$= 24x^2y - 12xy^2 + 6y^2 - 24x^2y - 4xy^2 - 6y^2$

Приведем подобные слагаемые:

$= (24x^2y - 24x^2y) + (-12xy^2 - 4xy^2) + (6y^2 - 6y^2) = 0 - 16xy^2 + 0 = -16xy^2$

Теперь подставим значения $x = -0,1$ и $y = -0,05$ в упрощенное выражение $-16xy^2$.

$-16 \cdot (-0,1) \cdot (-0,05)^2 = -16 \cdot (-0,1) \cdot (0,0025) = $

$= 1,6 \cdot 0,0025$

Для удобства вычислений можно представить десятичные дроби в виде обыкновенных:

$1,6 \cdot 0,0025 = \frac{16}{10} \cdot \frac{25}{10000} = \frac{16 \cdot 25}{10 \cdot 10000} = \frac{400}{100000} = \frac{4}{1000} = 0,004$

Ответ: 0,004

Помогло решение? Оставьте отзыв в комментариях ниже.

Присоединяйтесь к Телеграм-группе @gdz_by_belarus

Присоединиться

Мы подготовили для вас ответ c подробным объяснением домашего задания по алгебре за 7-9 класс, для упражнения номер 10.11 расположенного на странице 42 к сборнику задач 2020 года издания для учащихся школ и гимназий.

Теперь на нашем сайте ГДЗ.ТОП вы всегда легко и бесплатно найдёте условие с правильным ответом на вопрос «Как решить ДЗ» и «Как сделать» задание по алгебре к упражнению №10.11 (с. 42), авторов: Арефьева (Ирина Глебовна), Пирютко (Ольга Николаевна), учебного пособия издательства Народная асвета.