Номер 11.12, страница 46 - гдз по алгебре 7-9 класс сборник задач Арефьева, Пирютко

Алгебра, 7-9 класс Сборник задач, авторы: Арефьева Ирина Глебовна, Пирютко Ольга Николаевна, издательство Народная асвета, Минск, 2020

Авторы: Арефьева И. Г., Пирютко О. Н.

Тип: Сборник задач

Издательство: Народная асвета

Год издания: 2020 - 2025

Цвет обложки: синий с графиками

Допущено Министерством образования Республики Беларусь

Популярные ГДЗ в 7 классе

7 класс. Параграф 11. Умножение многочленов - номер 11.12, страница 46.

№11.12 (с. 46)
Условие. №11.12 (с. 46)
скриншот условия
Алгебра, 7-9 класс Сборник задач, авторы: Арефьева Ирина Глебовна, Пирютко Ольга Николаевна, издательство Народная асвета, Минск, 2020, страница 46, номер 11.12, Условие

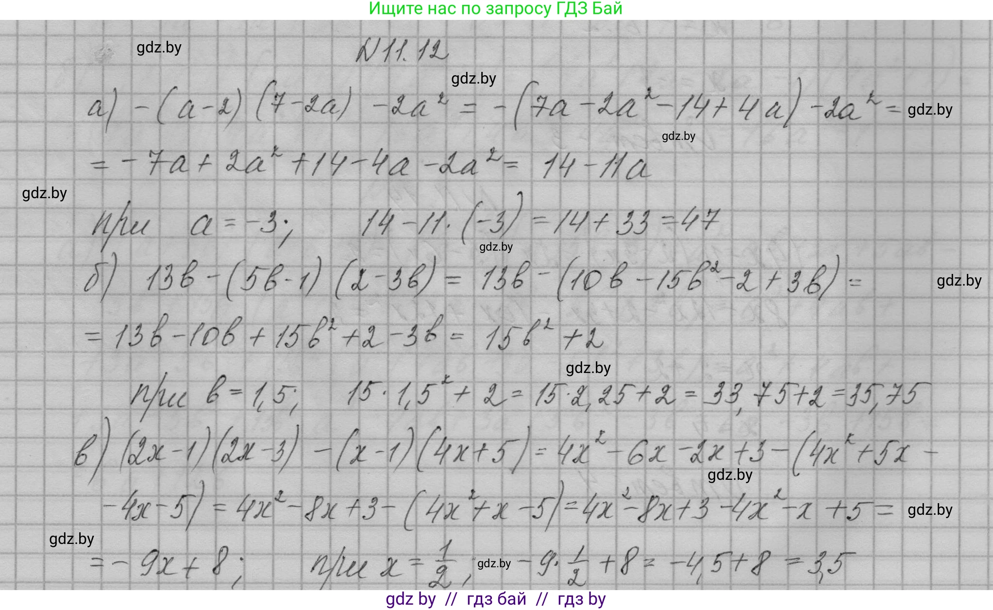
11.12. Упростите выражение и найдите его значение:

а) $-(a - 2)(7 - 2a) - 2a^2$ при $a = -3$;

б) $13b - (5b - 1)(2 - 3b)$ при $b = 1,5$;

в) $(2x - 1)(2x - 3) - (x - 1)(4x + 5)$ при $x = \frac{1}{2}$.

Решение. №11.12 (с. 46)
Алгебра, 7-9 класс Сборник задач, авторы: Арефьева Ирина Глебовна, Пирютко Ольга Николаевна, издательство Народная асвета, Минск, 2020, страница 46, номер 11.12, Решение
Решение 2. №11.12 (с. 46)

а)

Сначала упростим выражение $-(a - 2)(7 - 2a) - 2a^2$.

1. Раскроем скобки, перемножив многочлены $(a - 2)$ и $(7 - 2a)$:

$(a - 2)(7 - 2a) = a \cdot 7 + a \cdot (-2a) - 2 \cdot 7 - 2 \cdot (-2a) = 7a - 2a^2 - 14 + 4a$.

2. Приведем подобные слагаемые в полученном выражении:

$-2a^2 + (7a + 4a) - 14 = -2a^2 + 11a - 14$.

3. Подставим результат в исходное выражение:

$-( -2a^2 + 11a - 14 ) - 2a^2$.

4. Раскроем скобки, изменив знаки на противоположные, и приведем подобные слагаемые:

$2a^2 - 11a + 14 - 2a^2 = (2a^2 - 2a^2) - 11a + 14 = -11a + 14$.

Теперь найдем значение упрощенного выражения $-11a + 14$ при $a = -3$:

$-11 \cdot (-3) + 14 = 33 + 14 = 47$.

Ответ: 47.

б)

Сначала упростим выражение $13b - (5b - 1)(2 - 3b)$.

1. Раскроем скобки, перемножив многочлены $(5b - 1)$ и $(2 - 3b)$:

$(5b - 1)(2 - 3b) = 5b \cdot 2 + 5b \cdot (-3b) - 1 \cdot 2 - 1 \cdot (-3b) = 10b - 15b^2 - 2 + 3b$.

2. Приведем подобные слагаемые в полученном выражении:

$-15b^2 + (10b + 3b) - 2 = -15b^2 + 13b - 2$.

3. Подставим результат в исходное выражение:

$13b - (-15b^2 + 13b - 2)$.

4. Раскроем скобки, изменив знаки на противоположные, и приведем подобные слагаемые:

$13b + 15b^2 - 13b + 2 = 15b^2 + (13b - 13b) + 2 = 15b^2 + 2$.

Теперь найдем значение упрощенного выражения $15b^2 + 2$ при $b = 1,5$:

$15 \cdot (1,5)^2 + 2 = 15 \cdot 2,25 + 2 = 33,75 + 2 = 35,75$.

Ответ: 35,75.

в)

Сначала упростим выражение $(2x - 1)(2x - 3) - (x - 1)(4x + 5)$.

1. Раскроем первую пару скобок:

$(2x - 1)(2x - 3) = 2x \cdot 2x + 2x \cdot (-3) - 1 \cdot 2x - 1 \cdot (-3) = 4x^2 - 6x - 2x + 3 = 4x^2 - 8x + 3$.

2. Раскроем вторую пару скобок:

$(x - 1)(4x + 5) = x \cdot 4x + x \cdot 5 - 1 \cdot 4x - 1 \cdot 5 = 4x^2 + 5x - 4x - 5 = 4x^2 + x - 5$.

3. Подставим результаты в исходное выражение:

$(4x^2 - 8x + 3) - (4x^2 + x - 5)$.

4. Раскроем скобки, изменив знаки второго многочлена на противоположные, и приведем подобные слагаемые:

$4x^2 - 8x + 3 - 4x^2 - x + 5 = (4x^2 - 4x^2) + (-8x - x) + (3 + 5) = -9x + 8$.

Теперь найдем значение упрощенного выражения $-9x + 8$ при $x = \frac{1}{2}$:

$-9 \cdot \frac{1}{2} + 8 = -\frac{9}{2} + 8 = -4,5 + 8 = 3,5$.

Ответ: 3,5.

Помогло решение? Оставьте отзыв в комментариях ниже.

Присоединяйтесь к Телеграм-группе @gdz_by_belarus

Присоединиться

Мы подготовили для вас ответ c подробным объяснением домашего задания по алгебре за 7-9 класс, для упражнения номер 11.12 расположенного на странице 46 к сборнику задач 2020 года издания для учащихся школ и гимназий.

Теперь на нашем сайте ГДЗ.ТОП вы всегда легко и бесплатно найдёте условие с правильным ответом на вопрос «Как решить ДЗ» и «Как сделать» задание по алгебре к упражнению №11.12 (с. 46), авторов: Арефьева (Ирина Глебовна), Пирютко (Ольга Николаевна), учебного пособия издательства Народная асвета.