Номер 12.49, страница 55 - гдз по алгебре 7-9 класс сборник задач Арефьева, Пирютко

Алгебра, 7-9 класс Сборник задач, авторы: Арефьева Ирина Глебовна, Пирютко Ольга Николаевна, издательство Народная асвета, Минск, 2020

Авторы: Арефьева И. Г., Пирютко О. Н.

Тип: Сборник задач

Издательство: Народная асвета

Год издания: 2020 - 2025

Цвет обложки: синий с графиками

Допущено Министерством образования Республики Беларусь

Популярные ГДЗ в 7 классе

7 класс. Параграф 12. Формулы сокращенного умножения - номер 12.49, страница 55.

№12.49 (с. 55)
Условие. №12.49 (с. 55)
скриншот условия
Алгебра, 7-9 класс Сборник задач, авторы: Арефьева Ирина Глебовна, Пирютко Ольга Николаевна, издательство Народная асвета, Минск, 2020, страница 55, номер 12.49, Условие

12.49*. Найдите значение выражения, применив формулы сокращенного умножения:

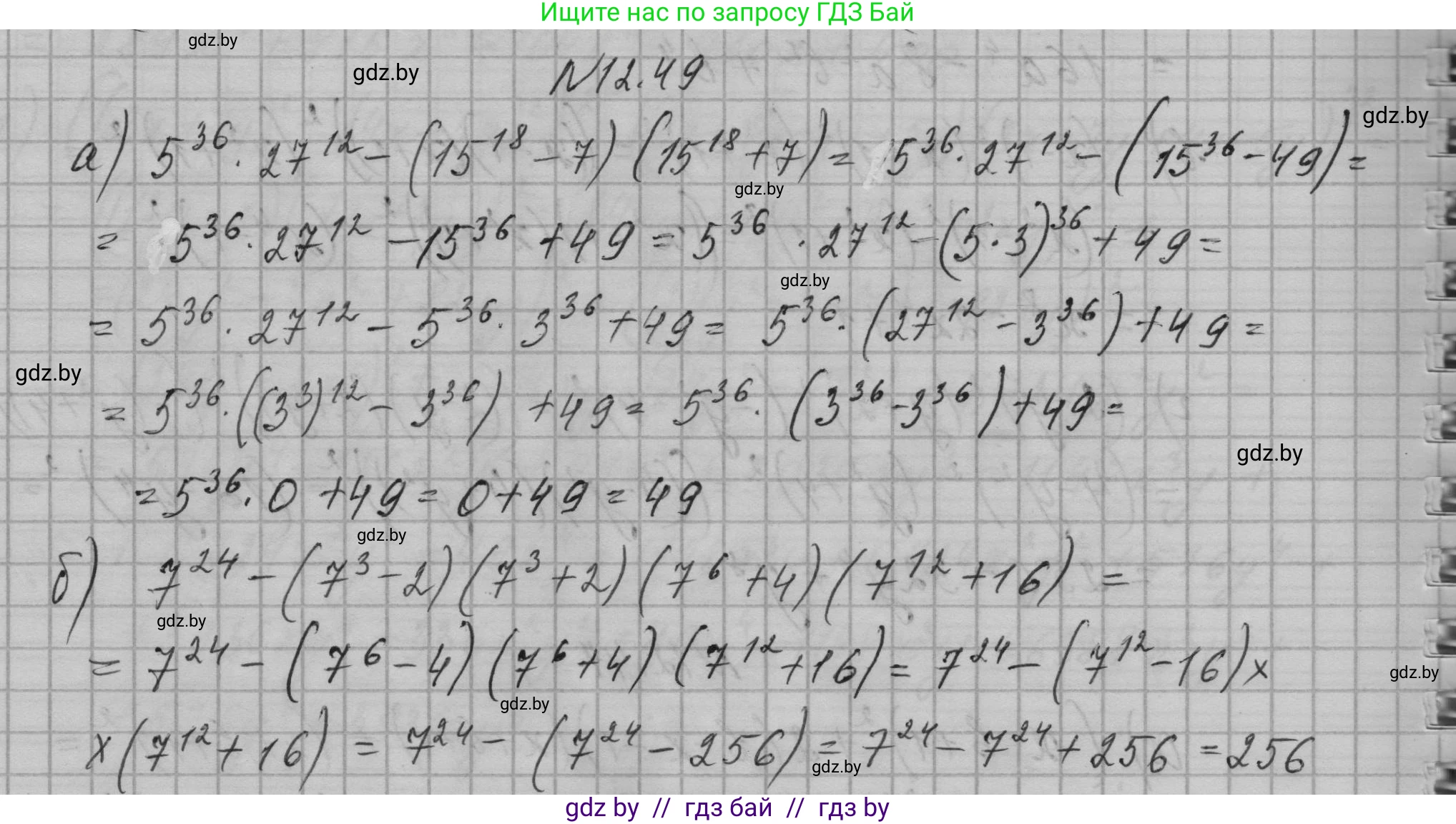
а) $5^{36} \cdot 27^{12} - (15^{18} - 7)(15^{18} + 7);$

б) $7^{24} - (7^3 - 2)(7^3 + 2)(7^6 + 4)(7^{12} + 16).$

Решение. №12.49 (с. 55)
Алгебра, 7-9 класс Сборник задач, авторы: Арефьева Ирина Глебовна, Пирютко Ольга Николаевна, издательство Народная асвета, Минск, 2020, страница 55, номер 12.49, Решение
Решение 2. №12.49 (с. 55)

а) $5^{36} \cdot 27^{12} - (15^{18} - 7)(15^{18} + 7)$

Для решения данного выражения применим свойства степеней и формулу сокращенного умножения "разность квадратов": $(a - b)(a + b) = a^2 - b^2$.

1. Сначала упростим произведение $5^{36} \cdot 27^{12}$. Для этого представим число $27$ в виде степени числа $3$:

$27 = 3^3$

Тогда $27^{12} = (3^3)^{12}$. По свойству степени $(a^m)^n = a^{m \cdot n}$, получаем:

$27^{12} = 3^{3 \cdot 12} = 3^{36}$.

Теперь первое слагаемое можно записать так: $5^{36} \cdot 3^{36}$. По свойству степени $a^n \cdot b^n = (a \cdot b)^n$, получаем:

$5^{36} \cdot 3^{36} = (5 \cdot 3)^{36} = 15^{36}$.

2. Теперь рассмотрим вторую часть выражения: $(15^{18} - 7)(15^{18} + 7)$. Применим формулу разности квадратов, где $a = 15^{18}$ и $b = 7$:

$(15^{18} - 7)(15^{18} + 7) = (15^{18})^2 - 7^2$.

Упростим полученное выражение:

$(15^{18})^2 = 15^{18 \cdot 2} = 15^{36}$.

$7^2 = 49$.

Таким образом, $(15^{18} - 7)(15^{18} + 7) = 15^{36} - 49$.

3. Подставим полученные значения в исходное выражение:

$15^{36} - (15^{36} - 49) = 15^{36} - 15^{36} + 49 = 49$.

Ответ: 49

б) $7^{24} - (7^3 - 2)(7^3 + 2)(7^6 + 4)(7^{12} + 16)$

Для решения этого примера необходимо последовательно применить формулу разности квадратов $(a - b)(a + b) = a^2 - b^2$.

1. Начнем с произведения первых двух скобок: $(7^3 - 2)(7^3 + 2)$. Здесь $a = 7^3$ и $b = 2$.

$(7^3 - 2)(7^3 + 2) = (7^3)^2 - 2^2 = 7^{3 \cdot 2} - 4 = 7^6 - 4$.

2. Теперь выражение выглядит следующим образом: $7^{24} - (7^6 - 4)(7^6 + 4)(7^{12} + 16)$. Снова применяем формулу разности квадратов для произведения $(7^6 - 4)(7^6 + 4)$. Здесь $a = 7^6$ и $b = 4$.

$(7^6 - 4)(7^6 + 4) = (7^6)^2 - 4^2 = 7^{6 \cdot 2} - 16 = 7^{12} - 16$.

3. Выражение упрощается до: $7^{24} - (7^{12} - 16)(7^{12} + 16)$. И снова применяем ту же формулу для оставшегося произведения $(7^{12} - 16)(7^{12} + 16)$. Здесь $a = 7^{12}$ и $b = 16$.

$(7^{12} - 16)(7^{12} + 16) = (7^{12})^2 - 16^2 = 7^{12 \cdot 2} - 256 = 7^{24} - 256$.

4. Наконец, подставим результат в исходное выражение:

$7^{24} - (7^{24} - 256) = 7^{24} - 7^{24} + 256 = 256$.

Ответ: 256

Помогло решение? Оставьте отзыв в комментариях ниже.

Присоединяйтесь к Телеграм-группе @gdz_by_belarus

Присоединиться

Мы подготовили для вас ответ c подробным объяснением домашего задания по алгебре за 7-9 класс, для упражнения номер 12.49 расположенного на странице 55 к сборнику задач 2020 года издания для учащихся школ и гимназий.

Теперь на нашем сайте ГДЗ.ТОП вы всегда легко и бесплатно найдёте условие с правильным ответом на вопрос «Как решить ДЗ» и «Как сделать» задание по алгебре к упражнению №12.49 (с. 55), авторов: Арефьева (Ирина Глебовна), Пирютко (Ольга Николаевна), учебного пособия издательства Народная асвета.